Cefazaflur
![]() | |
| Clinical data | |
|---|---|
| ATC code |
|
| Identifiers | |
| |
| CAS Number |
|
| PubChem CID | |
| ChemSpider | |
| UNII |
|
| KEGG | |
| ChEMBL | |
| CompTox Dashboard (EPA) | |
| Chemical and physical data | |
| Formula | C13H13F3N6O4S3 |
| Molar mass | 470.46 g·mol−1 |
| 3D model (JSmol) | |
| |
| |
| (verify) | |
Cefazaflur (INN) is a first-generation cephalosporin antibiotic.
Synthesis
Cefazaflur stands out among this group of analogues because it lacks an arylamide C-7 side chain (see cephacetrile for another example).

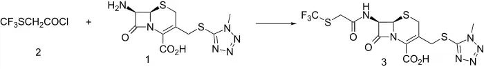
Cefazaflur is synthesized by reaction of 3-(1-methyl-1H-tetrazol-5-ylthiomethylene)-7-amino-cephem-4-carboxylic acid (1) with trifluoromethylthioacetyl chloride (2).
References
- ^ DeMarinis RM, Boehm JC, Dunn GL, Hoover JR, Uri JV, Guarini JR, et al. (January 1977). "Semisynthetic cephalosporins. Synthesis and structure-activity relationships of analogues with 7-acyl groups derived from 2-(cyanomethylthio)acetic acid or 2-[(2,2,2-trifluoroethyl)thio]acetic acid and their sulfoxides and sulfones". Journal of Medicinal Chemistry. 20 (1): 30–5. doi:10.1021/jm00211a006. PMID 319233.
