GLPG0974
![]() | |
| Identifiers | |
|---|---|
| |
| CAS Number | |
| PubChem CID | |
| DrugBank | |
| ChemSpider | |
| UNII | |
| ChEMBL | |
| Chemical and physical data | |
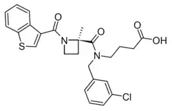
| Formula | C25H25ClN2O4S |
| Molar mass | 485.00 g·mol−1 |
| 3D model (JSmol) | |
| |
| |
GLPG0974 is an experimental drug which acts as a reasonably potent and selective antagonist for the free fatty acid receptor FFAR2 (GPR43). It was originally developed as a potential medication for ulcerative colitis, and while it was not developed as a medicine for this application it has remained widely used as a pharmacological tool compound for research into the FFAR2 receptor, as one of the relatively few selective FFAR2 antagonists available.[1][2][3][4][5] Despite its antagonist action, it can also act as a positive allosteric modulator of FFAR2 under some conditions, which can complicate interpretation of results obtained using GLPG0974 in the presence of other FFAR2 ligands.[6]
References
- ^ Pizzonero M, Dupont S, Babel M, Beaumont S, Bienvenu N, Blanqué R, et al. (December 2014). "Discovery and optimization of an azetidine chemical series as a free fatty acid receptor 2 (FFA2) antagonist: from hit to clinic". Journal of Medicinal Chemistry. 57 (23): 10044–10057. doi:10.1021/jm5012885. PMID 25380412.
- ^ Namour F, Galien R, Van Kaem T, Van der Aa A, Vanhoutte F, Beetens J, et al. (July 2016). "Safety, pharmacokinetics and pharmacodynamics of GLPG0974, a potent and selective FFA2 antagonist, in healthy male subjects". British Journal of Clinical Pharmacology. 82 (1): 139–148. doi:10.1111/bcp.12900. PMC 4917808. PMID 26852904.
- ^ Akiba Y, Maruta K, Narimatsu K, Said H, Kaji I, Kuri A, et al. (August 2017). "FFA2 activation combined with ulcerogenic COX inhibition induces duodenal mucosal injury via the 5-HT pathway in rats". American Journal of Physiology. Gastrointestinal and Liver Physiology. 313 (2): G117 – G128. doi:10.1152/ajpgi.00041.2017. PMC 5582879. PMID 28526687.
- ^ Miyasato S, Iwata K, Mura R, Nakamura S, Yanagida K, Shindou H, et al. (January 2023). "Constitutively active GPR43 is crucial for proper leukocyte differentiation". FASEB Journal. 37 (1): e22676. doi:10.1096/fj.202201591R. PMID 36468834.
- ^ Kugawa M, Kawakami K, Kise R, Suomivuori CM, Tsujimura M, Kobayashi K, et al. (March 2025). "Structural insights into lipid chain-length selectivity and allosteric regulation of FFA2". Nature Communications. 16 (1) 2809. Bibcode:2025NatCo..16.2809K. doi:10.1038/s41467-025-57983-4. PMC 11947310. PMID 40140663.
- ^ Lind S, Hoffmann DO, Forsman H, Dahlgren C (February 2022). "Allosteric receptor modulation uncovers an FFA2R antagonist as a positive orthosteric modulator/agonist in disguise". Cellular Signalling. 90 110208. doi:10.1016/j.cellsig.2021.110208. PMID 34856356.
