Stork enamine alkylation

The Stork enamine alkylation involves the addition of an enamine to a Michael acceptor (e.g., an α,β -unsaturated carbonyl compound) or another electrophilic alkylation reagent to give an alkylated iminium product, which is hydrolyzed by dilute aqueous acid to give the alkylated ketone or aldehyde.[1] Since enamines are generally produced from ketones or aldehydes, this overall process (known as the Stork enamine synthesis) constitutes a selective monoalkylation of a ketone or aldehyde, a process that may be difficult to achieve directly.

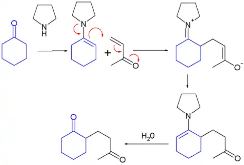
The Stork enamine synthesis:

  1. formation of an enamine from a ketone
  2. addition of the enamine to an alpha, beta-unsaturated aldehyde or ketone
  3. hydrolysis of the enamine back to a ketone
The Stork enamine reaction
The Stork enamine reaction

The reaction also applies to acyl halides as electrophiles, which results in the formation of 1,3-diketones (Stork acylation).[2]

It is also effective for activated sp3 alkyl electrophiles, including benzylic, allylic/propargylic, α-carbonyl (e.g., bromoacetone), and α-alkoxy (e.g., methoxymethyl chloride) alkyl halides. However, nonactivated alkyl halides, including methyl and other primary alkyl halides, generally only give low to moderate yields of the desired alkylation product (see below).[3]

The reaction is named after its inventor, Gilbert Stork (Columbia University).

Variations

By using an anionic version of an enamine, known as an azaenolate or metalloenamine, it is also possible to alkylate ketones or aldehydes with alkyl halides as less reactive electrophiles:[4]

Stork enamine reaction with alkyl halides
Stork enamine reaction with alkyl halides

In this method a carbonyl compound is condensed to a Schiff base. The imine then reacts with a Grignard reagent to the corresponding Hauser base. This species' negative charge enables displacing a less reactive alkyl halide, including methyl, ethyl, and other nonactivated halides. Hydrolysis then yields the alkylated ketone.

In the Enders SAMP/RAMP hydrazone-alkylation reaction, a hydrazone replaces the amine for enantioselection.

References

  1. ^ McMurry, John (21 March 2003). Organic Chemistry (Hardcover) (6th ed.). Belmont, CA: Thomson-Brooks/Cole. ISBN 0-534-38999-6.
  2. ^ March, Jerry (1985). Advanced Organic Chemistry: Reactions, Mechanisms, and Structure (3rd ed.). New York: Wiley. ISBN 9780471854722. OCLC 642506595.
  3. ^ Stork, Gilbert.; Brizzolara, A.; Landesman, H.; Szmuszkovicz, J.; Terrell, R. (January 1963). "The Enamine Alkylation and Acylation of Carbonyl Compounds". Journal of the American Chemical Society. 85 (2): 207–222. Bibcode:1963JAChS..85..207S. doi:10.1021/ja00885a021. ISSN 0002-7863.
  4. ^ A New Method for the Alkylation of Ketones and Aldehydes: the C-Alkylation of the Magnesium Salts of N-Substituted Imines Gilbert Stork and Susan R. Dowd J. Am. Chem. Soc.; 1963; 85(14) pp 2178–80; doi:10.1021/ja00897a040