Ácido γ-hidroxibutírico
| Ácido γ-hidroxibutírico | ||
|---|---|---|
![]() | ||
![]() | ||
| Nombre (IUPAC) sistemático | ||
|
Ácido 4-hidroxibutanoico o Ácido γ-hidroxibutírico | ||
| Identificadores | ||
| Número CAS | 591-81-1 | |
| Código ATC | N01AX11 | |
| PubChem | 3037032 | |
| ChEBI | 16724 | |
| Datos químicos | ||
| Fórmula | C4H8O3 | |
| Peso mol. | 104,10 g/mol | |
| Farmacocinética | ||
| Biodisponibilidad | 25 % (oral) | |
| Metabolismo | 95 % hepático, también en resto de tejidos | |
| Vida media | 30–60 minutos | |
| Excreción | 1 % vía renal | |
| Datos clínicos | ||
| Estado legal |
S3 (AU) Lista III (CA) Lista I y III (EE. UU.) Lista IV (UE) Sustancia controlada en numerosos países | |
| Vías de adm. | Principalmente oral; parenteral. | |
El ácido γ-hidroxibutírico o ácido gamma-hidroxibutírico, también conocido como ácido 4-hidroxibutanoico o ácido oxíbico y, conocido generalmente por sus siglas en inglés, GHB (gamma-hydroxybutyric acid), es una sustancia que se produce de forma natural en pequeñas cantidades en las células del sistema nervioso central de mamíferos, incluidos los humanos,[1] en las bayas ácidas y como producto de la fermentación en el vino y la cerveza.[2]
Como sal sódica o potásica tiene usos terapéuticos como medicamento para controlar los síntomas de la narcolepsia,[3] el insomnio o la excesiva somnolencia diurna y como suplemento alimenticio neuroprotector. Históricamente, se ha usado como anestésico, para tratar el síndrome de abstinencia del alcohol y para mejorar el rendimiento atlético.[4][5] Nacer con deficiencia de la enzima que metaboliza esta molécula causa su acumulación en el cuerpo produciendo retraso mental en los lactantes.[6]
El GHB también se usa como droga psicotrópica sedante, por lo que es una sustancia controlada en varios países.[7] Como fácilmente produce pérdida de la consciencia, se ha usado también como droga de violación. También se le atribuyen fuertes propiedades afrodisíacas en numerosos ambientes de vida nocturna.[8]
Historia
Alexander Saytzeff sintetizó el ácido γ-hidroxibutírico por primera vez en 1874,[9] pero este no se introdujo en la terapéutica sino hasta los años 60, cuando Henri Laborit buscaba un análogo al neurotransmisor ácido γ-aminobutírico humano que fuese capaz de atravesar la barrera hematoencefálica.[10] En principio, se sintetizó el ácido a partir de una solución acuosa o etanólica de gamma-butirolactona (GBL) a la que se añadía hidróxido sódico. Después, se han encontrado rutas sintéticas a partir del tetrahidrofurano (THF).
Pronto se le encontró varios usos debido a sus pocos efectos secundarios y a la corta duración de su acción, siendo las únicas dificultades el estrecho margen de su dosis terapéutica (a pesar de tener una alta DL50) y los posibles daños si se combina con alcohol y otros depresores del sistema nervioso central. Recientemente, se ha descubierto que su consumo a largo plazo produce neurotoxicidad,[11]aunque otros estudios afirman que da neuroprotección, sobre todo en infartos cerebrales o falta de oxígeno.[12]
El GHB fue ampliamente usado en Francia, Italia y otros países europeos durante décadas como somnífero y como anestésico en los partos, pero debido a su potencial abuso, el riesgo de crisis de ausencia y al desarrollo de fármacos más nuevos que no necesitan la acción conjunta de otros ha hecho que caiga en desuso. El único uso terapéutico común que tiene actualmente es en el tratamiento de la narcolepsia y más raramente el alcoholismo.
Un popular juguete, Bindeez (también llamado Aqua Dots), fabricado por la compañía Moose, fue prohibido en Australia en noviembre del 2007 cuando se descubrió que su plástico con 1,4-butanodiol se metabolizaba al ser ingerido en GHB, sustituyéndose por un plástico no tóxico, el 1,5-pentanodiol. Tres niños fueron hospitalizados a consecuencia de la ingestión de gran número de abalorios cuando el juguete fue retirado.[13]
Descripción
El ácido γ-hidroxibutírico es un ácido carboxílico de cuatro carbonos con una función alcohol en el extremo contrario a la función ácido (posición 4 o gamma). La forma más sencilla de sintetizarlo en el laboratorio es por hidrólisis básica de la γ-butirolactona (GBL):

En el organismo se sintetiza principalmente por desaminación a partir del neurotransmisor ácido γ-aminobutírico (GABA).[14] El GHB mismo cumple los principales criterios para ser considerado un neurotransmisor,[15] fundamentalmente inhibitorio de acciones neuronales.[16] Estructuralmente está relacionado con el ácido graso ácido betahidroxibutírico. Los valores normales en el plasma sanguíneo del ácido γ-hidroxibutírico deben ser menores de 4,4 mg/dL (<422,6 μmol/L).[17]
Farmacocinética
La principal forma de administración del GHB es por vía oral, en forma de solución acuosa, aunque también se puede administrar parenteralmente. Se absorbe muy rápidamente en el tracto intestinal y alcanza su máxima concentración en sangre a la media hora. Presenta poca unión con las proteínas plasmáticas y su distribución es independiente de la dosis.
Su biodisponibilidad se reduce considerablemente cuando es consumido junto con alimentos, así que se aconseja consumir la dosis al menos dos horas después de las comidas.
La vida media en el organismo es corta, alrededor de una hora, por lo que sus efectos son breves. Se elimina principalmente en el hígado, aunque 1 % por ciento se elimina en la orina.[18] La eliminación al igual que la absorción es muy rápida. A las 6 horas no se detecta concentración sanguínea y a las doce no aparece ya en la orina.[19]
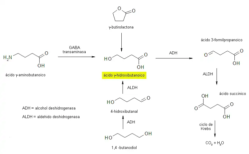
Se metaboliza a nivel del citoplasma y las mitocondrias, rápidamente se convierte por transaminación en semialdehído succínico (SSA) que pasa luego a ácido succínico degradándose totalmente en el ciclo de Krebs a CO2 y agua, que se eliminarán por vía respiratoria. El semialdehído succínico se reduce en GHB: GABA → SSA → GHB.[16] El GHB puede ser sintetizado directamente del GABA sin el intermediario SSA y, en una reacción inversa, el SSA puede ser sintetizado del GHB: GABA → GHB → SSA.
La variación de la concentración de las sustancias en el organismo influye en la dirección de la ruta metabólica, pudiéndose formar GHB del GABA, del ácido succínico o del ácido formilpropanoico. En condiciones fisiológicas normales la concentración de GHB en el sistema nervioso central es bastante baja, de 1 a 4 [mol|mM], y se va produciendo poco a poco, pero si se toma GHB con fines médicos o lúdicos su concentración en el cuerpo aumenta y cambia la cinética de las enzimas para metabolizar el exceso en lugar de producir más.
Si se consume GBL o 1,4-butanediol, que son dos precursores del GHB, se producen los mismos efectos que si se administrara GHB, ya que el organismo los transforma en este.[16]
Farmacodinámica
El GHB es una sustancia endógena presente en concentraciones micromolares en el sistema nervioso central y ciertos tejidos periféricos de los mamíferos.[16][20] A diferencia de otros neurotransmisores el GHB puede atravesar la barrera hematoencefálica, por lo que se puede subir su concentración por administración exógena.[21] La función precisa del GHB en el organismo no está del todo clara. Tiene propiedades neuroprotectoras protegiendo a las células de la hipoxia, al reducir el consumo de glucosa de las neuronas.[22] Se sabe que hay en el cerebro una gran cantidad de receptores que son activados específicamente por el GHB, para lo que necesita estar protonado.[23] Se encuentran principalmente en el hipocampo y sus regiones adyacentes, la sustancia negra, el cuerpo estriado, el tálamo, la amígdala y la corteza central. Se almacena en las vesículas neuronales y su liberación está regulada por el calcio.[24]
El GHB se acopla a al menos dos clases de receptores en el espacio sináptico, entre las neuronas,[25] Uno específico, el receptor del GHB, que es excitador (por lo que no es responsable de sus propiedades sedantes),[26][27] y una conexión más débil en el receptor GABAB asociado a proteínas G, que es inhibitorio.[27] En estos receptores compite con el GABA. Como el GHB se sintetiza a partir del ácido γ-aminobutírico (GABA) su concentración natural en las neuronas GABAérgicas dependerá de la concentración de GABA, que es mucho mayor.[27] Existe un mecanismo de recaptación del GHB en el espacio sináptico, dependiente del sodio y potasio, competitivo con el GABA. Si se toma GHB, en dosis farmacológicas, se alcanzan mayores concentraciones en el cerebro y activa los receptores GABAB, que son los responsables primarios de los efectos sedantes.[28] Los efectos sedantes del GHB pueden bloquearse con los antagonistas del GABAB.
El efecto del GHB sobre los receptores del GHB en el comportamiento es más complejo, y estos son los receptores por los que el GHB tiene mayor afinidad. La investigación sobre estos receptores ha sido un tanto limitada, pero hay pruebas de que la activación de los receptores de GHB en algunas áreas cerebrales tiene como resultado la liberación de glutamato, el principal neurotransmisor excitante.[29] Las drogas que activan los receptores del GHB causan pérdida de conciencia en dosis altas, como lo hacen el GHB y los antagonistas del GABAB.[30]
Efectos
La activación de ambos tipos de receptores, el específico del GHB y el del GABAB es responsable de sus efectos sedantes, somníferos y placenteros. Los efectos en el organismo dependerán de la dosis, ya que dependiendo de la concentración se activarán distintos receptores.
Los efectos del GHB sobre la liberación de dopamina es bifásica,[31] concentraciones bajas de GHB estimulan el receptor específico estimulándose la liberación de dopamina.[32] Concentraciones más altas activan los receptores GABAB que inhiben la liberación de dopamina como hacen otras sustancias que sustituyen al GABA como el baclofeno y fenibut.[33] Tras la fase inicial de inhibición, cuando se va metabolizando el GHB y disminuye la concentración, entonces la dopamina vuelve a liberarse al volver a activarse los receptores del GHB, regresando sus efectos estimulantes y placenteros. Tanto la inhibición como el incremento de la liberación de la dopamina se pueden bloquear con los antagonistas de los opioides tales como la naloxona y naltrexona. Esta paradójica mezcla de los efectos del GHB, sedante primero y estimulante después, denominado efecto rebote, es experimentado por los individuos consumidores de GHB como somnífero varias horas después de haber conseguido un sueño profundo inducido por el GHB. La aparición de esa baja concentración de GHB en el sistema provoca el estado de vigilia, por lo que suelen tener que tomar una segunda dosis en ese momento para permanecer dormidos.
| A concentraciones altas: sedante. Predomina la activación de los receptores del GABA. |
A concentraciones bajas: excitante. Predomina la activación de los receptores específicos del GHB. |
| Reducción de la ansiedad. Inductor del sueño. Anestésico general, asociado a otros anestésicos. Sedación en tratamientos de desintoxicación del alcoholismo y opiáceos. Reducción de los síntomas narcolépticos. |
Estado de vigilia Euforia. Embriaguez. Pérdida control emocional. Potencia la sensualidad y el calor emocional |
| Anabolizante. Incrementa los niveles de la hormona del crecimiento, la prolactina y la corticosterona, aumentando la masa muscular. | |
Otros análogos del GHB como el ácido 4-hidroxi-4 metilpentanoico,[38] el 3-metil-GHB, 4-metil-GHB y 4-fenil-GHB han demostrado efectos similares al, el GHB en estudios con animales, aunque se sabe menos de ellos que del propio GHB. De estos análogos solo se ha registrado el consumo como droga de abuso humano del 4-metil-GHB (ácido γ-hidroxivalérico, GHV) y su precursor la γ-valerolactona (GVL) resultando menos potentes en su efecto positivo y con más efectos secundarios como causar náuseas y vómitos.
Interacciones
El GHB interactúa con otras sustancias depresoras del sistema nervioso central como el alcohol, los somníferos y los sedantes, potenciándose sus efectos mutuamente.
Uso clínico
El GHB ha sido utilizado como anestésico, como somnífero en el tratamiento del insomnio, para tratar la depresión y sirve para reducir el síndrome de abstinencia de los opiáceos y el alcohol.[39] En Italia, bajo el nombre comercial de Alcover (Cód. ATC N07BB), el GHB se ha usado en el tratamiento del alcoholismo (50-100 miligramos por kilogramo al día, dividido en tres o más dosis), para evitar el síndrome de abstinencia agudo y también para la desintoxicación a medio y largo plazo.[40]

El único uso habitual del GHB en la actualidad es en el tratamiento de la narcolepsia para reducir el número de ataques de cataplexia y la somnolencia, bajo el nombre comercial de Xyrem en los Estados Unidos.[41][42] Los ensayos clínicos del Xyrem muestran una reducción significativa de los ataques de cataplexia usando una dosis de 6000–9000 mg por noche. Esta es aproximadamente el triple de la dosis usada con fines recreativos, pero además todos los pacientes con narcolepsia del ensayo clínico eran estabilizados con estimulantes del sistema nervioso como el modafinil; en pacientes a los que no se les ha prescrito el modafinil esta dosis puede resultar peligrosa y hay que reducirla proporcionalmente. También se prescribe en este caso en la información de modo de empleo del Xyrem que debe tomarse una dosis inmediatamente antes de ir a la cama, y después una segunda dosis tres o cuatro horas más tarde. La dosis máxima diaria no debe exceder de 4500 mg. Los pacientes con insuficiencia hepática que metabolizan peor el GHB requieren una dosis menor, generalmente la mitad. La solución oral de Xyrem está estandarizada en una concentración de 500 mg Na.GHB / 1 mL de agua, tamponada a pH 7.5 con ácido málico.[43]
El GHB también se ha indicado para el alivio de los síntomas causados por la distonía mioclónica, una enfermedad hereditaria muy infrecuente que causa trastornos musculares y psiquiátricos.[4]
Efectos adversos
En las dosis terapéuticas indicadas, el GHB puede producir los siguientes efectos secundarios:
| Sistema implicado. | Grupo CIOSM. | Tipo de reacción. |
| Trastornos gastrointestinales. | Frecuentes | Náuseas, vómitos. |
| Poco frecuentes | Dolor de estómago, diarrea. | |
| Trastornos del sistema nervioso. | Frecuentes | Dolor de cabeza, mareos. |
| Poco frecuentes | Somnolencia, hipoestesia, parestesia. | |
| Trastornos del sueño. | Poco frecuentes | Insomnio, pesadillas, sueños anormales, sonambulismo. |
| Otros trastornos psiquiátricos. | Poco frecuentes | Desorientación, depresión, agitación, pérdida de memoria. |
| Trastornos respiratorios. | Frecuentes | Apnea del sueño. |
| Poco frecuentes | Disnea. | |
| Trastornos urinarios. | Poco frecuentes | Enuresis nocturna. |
| Varios. | Poco frecuentes | Irritación nasofaríngea, visión borrosa, hipertensión. |
El consumo a largo plazo causa neurotoxicidad. Lo que se ha constatado en ratones de laboratorio consumidores al registrarse reducción de su capacidad para resolver problemas y reducción de sus reflejos.[11][44] Otros estudios, sin embargo, han comprobado la acción contraria, sobre todo a dosis que producen efecto sedante, mostrando neuroprotección.[12][45] El consumo continuado puede producir tolerancia, dependencia psíquica,[46] Durante el consumo de prueba del medicamento para casos de cataplexia, el 3,2 % tuvo síntomas depresivos mientras lo consumió, aunque menos del 1 % lo abandonaron por tales causas. El 2,6 % tuvieron síntomas como confusión aunque igualmente menos del 1 % abandonaron por tal causa.[34] Cuando su consumo se interrumpe después de un consumo prolongado puede generar el síndrome de abstinencia muy similar al causado por otros depresores del sistema nervioso central.[4]
La toxicidad del GHB suele ser proporcional a la dosis administrada.[4] El principal riesgo de la sobredosis es la pérdida súbita de conciencia. La muerte por sobredosis por consumir solamente GHB es rara, en Europa para 1998 se habían registrado una decena de casos de intoxicaciones agudas asociadas a usos recreativos y en Estados Unidos cerca de cien casos.[10] El GHB tiene una dosis letal media, DL50, en los ensayos con roedores de entre 1100 mg/kg y 2000 mg/kg,[47] que es alta, lo que lo hace poco tóxico en el hombre. Sin embargo, si se mezcla su consumo con otras sustancias depresoras del sistema nervioso central, tales como el alcohol, la ketamina, opioides, sedantes o somníferos, sí se han registrado muertes por sobredosis, debido a su acción sinérgica y potenciación mutua de sus efectos. De este modo, la administración de GHB junto con otras sustancias depresoras del sistema nervioso central está contraindicada porque se corre peligro de muerte. La muerte puede ser consecuencia de una crisis respiratoria causada por la inhibición de los centros de la respiración de la médula o por asfixia causada por un vómito durante el desvanecimiento. Otros posibles efectos de una dosis excesiva son las náuseas, somnolencia, mareo, pérdida de memoria, desorientación, agitación, distorsiones visuales y bradicardia.
En recién nacidos con deficiencia de la enzima semialdehído succínico deshidrogenasa conlleva a una notable elevación del GHB[14]—hasta 1200 veces el valor normal— en el plasma sanguíneo, líquido cefalorraquídeo y orina. Antes de los dos años de edad, los lactantes comienzan a mostrar retraso mental, retraso del lenguaje, debilidad muscular y crisis convulsivas, entre otras alteraciones. La enfermedad conocida como aciduria hidroxibutírica se hereda de manera autosómica y recesiva por deficiencia de un gen localizado en el cromosoma 6p22.[6]
Como el GHB se usa en forma de sal sódica o potásica, se está tomando un importante exceso de sales que deben ser tenidas en cuenta en personas con hipertensión, pacientes con enfermedades cardíacas o renales que tendrán que reducir de forma equivalente el consumo de sal en las comidas. A causa de sus fuertes efectos sedantes, los pacientes no deben conducir ni manejar maquinaria peligrosa al menos hasta seis horas después del consumo del GHB.
Otros usos
Uso recreativo

-es.svg.png)
El GHB y sus metabolitos la γ-butirolactona (GBL) y el 1,4-butanediol (BD) producen deterioro del estado mental y alteraciones sensoriales. Son sustancias psicotrópicas depresoras del sistema nervioso central que como tales se usan como una drogas lúdicas.[48] En la cultura popular el GHB también se conoce como éxtasis líquido (sin que tenga relación con el éxtasis u otras sustancias anfetamínicas),[10] líquido G o simplemente G.
La mezcla de efectos sedantes y excitantes del GHB producen una sensación de embriaguez, euforia, reducción de la ansiedad, somnolencia, pérdida del control motor, incrementa el calor emocional y la libido, afectando a las sensaciones táctiles y desinhibe socialmente al consumidor.[4][35] Los efectos del GHB suelen durar entre hora y media y tres horas, algo más si la dosis es alta o se ha mezclado con alcohol. Un estudio durante un brote de sífilis demostró que 61 % de hombres homosexuales infectados reportaron el uso de GHB alegando que la droga les permitía olvidar sus inhibiciones cuando tenían sexo con extraños, permitiéndoles disfrutar sin preocupaciones un gran número de parejas sexuales. Así, los veintitrés individuos estudiados lograron tener cerca de mil quinientas parejas sexuales, casi todas anónimas, en el transcurso de doce meses.[8]
El consumo conjunto o después de tomar alcohol, o cualquier otra sustancia depresora o de metabolización hepática aumenta el riesgo de efectos adversos y sobredosis. Al estar el hígado ocupado metabolizando el alcohol se disminuye la capacidad de este de metabolizar el GHB aumentando la concentración en sangre y además se potencian mutuamente sus efectos depresores sobre el sistema nervioso.
Generalmente la dosis con fines lúdicos es entre 500 mg y 3000 mg, correspondiente a aproximadamente 0,5 y 3 mL de líquido, si la concentración es de 1 gramo por 1 mL de H2O (que no siempre es el caso). Esta concentración de 1 g/mL del oxibato sódico o potásico es el doble de la de la solución de Xyrem (500 mg/mL) que se usa con fines médicos. Esta solución de GHB es incolora e inodora y con un sabor ligeramente salado y amargo. Las disoluciones del mercado ilegal son potencialmente peligrosas porque nunca se sabe la concentración que llevan.
El GHB también se puede consumir indirectamente tomando sus precursores químicos como la gamma-butirolactona (GBL) y el 1,4-butanediol siendo el organismo el que los transforma en GHB.[49] Estos dos compuestos son líquidos y se pueden encontrar puros o disueltos con otras sustancias que pueden aumentar su toxicidad. Con esta forma de consumo al tener que formarse el GHB se retrasa la aparición de sus efectos y también se dilata su duración. Se ha registrado también el consumo de ésteres precursores de GHB en zonas donde este es ilegal como el 1,4-diacetoxibutano, metil-4-acetoxibutanoato y etil-4-acetoxibutanoato. El 4-hidroxibutanal es el precursor natural del GHB, aunque como todos los aldehídos es un compuesto cáustico y de fuerte olor y sabor repugnante, por lo que su consumo es muy desagradable y produce fuertes náuseas y vómitos
Droga de violación
Algunos países han registrado el uso del GHB como droga de violación,[50] al igual que el alcohol y el flunitrazepam.[51] Al ser incoloro, inodoro y de sabor suave puede ser fácilmente enmascarado mezclado con cualquier bebida, generalmente alcohólica que potencia su acción.[52] El propósito del delincuente sexual es sedar a la víctima para disminuir su resistencia o provocarle la sobredosis que produce la pérdida total de conciencia de la víctima.[53] Es difícil establecer la frecuencia exacta de los asaltos producidos así, ya que el GHB tiene una vida corta y es difícil encontrarlo en una muestra de orina si ha pasado más de un día.[54][55]
Anabolizante

Algunos atletas y culturistas utilizan el GHB como suplemento dietético,[6] con el objetivo de aumentar los niveles de hormona del crecimiento, que aumenta la masa muscular.[56] Tanto el GHB como el GBL son especialmente comunes porque son fáciles y baratos de preparar.[49] Ciertas sales de ácido succínico elevan los niveles de hormona del crecimiento in vitro,[57] y como el GHB se metaboliza en ácido succínico se cree que podría elevar estos niveles hormonales, aunque no hay ninguna prueba científica que demuestre el aumento hormonal in vivo ni que sea efectiva como anabolizante.[49] La influencia podría venir por medio de la activación de los receptores muscáricos de la acetilcolina.[58] Todas las formas naturales vendidas como suplementos, incluyendo la butirolactona y el dihidrato de 2(3H)-furanona, entre otras formas tienen el potencial de ser tóxicas o producir efectos adversos.[49]
Detección
Las reacciones cualitativas más sencillas para detectar la presencia de GHB son:
- Identificación por formación de microcristales usando una solución acuosa de nitrato cúprico y nitrato de plata.[59]
- Analizando su precursor, la lactona cerrada o sea, la butirolacona, que tiene un aspecto oleoso, de color claro y que es el precursor del GHB. La determinación es por cromatografía de gases a temperatura de 75 °C.[60]
- Reacciones colorimétricas con rojo de clorofenol y reactivo de Schweppes (anilina en medio alcohólico).[61]
Véase también
Referencias
- ↑ Weil, Andrew; Winifred Rosen (1993). «Depressants». From Chocolate to Morphine (2nd edition edición). Boston/New York: Houghton Mifflin Company. p. 77. ISBN 0-395-66079-3.
- ↑ Elliott S, Burgess V. The presence of gamma-hydroxybutyric acid (GHB) and gamma-butyrolactone (GBL) in alcoholic and non-alcoholic beverages. Forensic Science International. 2005 July 16;151(2-3):289-92.
- ↑ «Jazz Pharmaceuticals Inc (JAZZ.O) Full Description | Stocks | Reuters.com». Archivado desde el original el 22 de mayo de 2008. Consultado el 18 de noviembre de 2008.
- ↑ a b c d e Comité de expertos de la OMS en farmacodependencia: 34o. Informe (en español). Escrito por Comité de Expertos de la OMS en Farmacodependencia, Organización Mundial de la Salud (Ginebra, Suiza). Publicado por World Health Organization, 2007; pág 14-15. ISBN 92-4-320942-6
- ↑ Theodore I Benzer (8 de enero de 2007). «Toxicity, Gamma-Hydroxybutyrate». eMedicine.
- ↑ a b c Richard E. Behrman, Robert M. Kliegman, Hal B. Jenson. Nelson Tratado de Pediatría (en español). Publicado por Elsevier España, 2004. ISBN 84-8174-747-5.
- ↑ Erowid GHB Vault : Legal Status
- ↑ a b MARK A. BELLIS, KAREN HUGHES. Pociones sexuales. Relación entre alcohol, drogas y sexo (artículo completo disponible en español). ADICCIONES, 2004 Vol. 16(4); pág 251-260.
- ↑ Alexander Saytzeff (1874). «Über die Reduction des Succinylchlorids». Liebigs Annalen der Chemie 171: 258-290. doi:10.1002/jlac.18741710216.
- ↑ a b c Antonio Dueñas Laita. Unidad Regional de Toxicología Clínica. Hospital Universitario del Río Hortega. Med Clin (Barc)1998; 111: 458-460. Citado por la Sociedad Española de Pediatría Extrahospitalaria y Atención Primaria Archivado el 4 de marzo de 2016 en Wayback Machine.. Último acceso 20 de diciembre, 2008.
- ↑ a b Dávila G, García F, Pedraza C, Luna G, Martín M, Navarro JF. Effects of γ -hydroxybutyric acid (GHB) on memory tested in the hole-board in female mice. 4º Forum of European Neuroscience, Lisboa, julio 2004.
- ↑ a b γ-Hydroxybutyrate (GHB), γ-Butyrolactone (GBL), and 1,4-Butanediol (1,4-BD) Reduce the Volume of Cerebral Infarction in Rodent Transient Middle Cerebral Artery Occlusion http://www.ncbi.nlm.nih.gov/pubmed/17105951
- ↑ Michael Perry, James Pomfret, Roger Crabb (7 de noviembre de 2007). Australia bans China-made toy on toxic drug risk. Reuter.
- ↑ a b Dorland Diccionario enciclopédico ilustrado de Medicina (en español). Escrito por Dorland colaboradores. Publicado por Elsevier España, 2005; pág 932. ISBN 84-8174-790-4.
- ↑ Maitre M, Andrianmampandry C, Kemmel V, Schmdit C, Hodé Y, Hechler V, Gobaille S. γ -hydroxybutyric acid as signaling molecule in Brain. Alcohol 2000; 20: 277-83.
- ↑ a b c d Tunnicliff, Godfrey; Christopher D. Cash (2002). Gamma-hydroxybutyrate (en inglés). Publicado por CRC Press. ISBN 0415284996. Consultado el 29 de diciembre de 2008.
- ↑ Vives i Cororrons, Joan Lluis; Josep Lluís Aguilar Bascompte (2006). «Capítulo 1. La sangre: características generales». Manual de técnicas de laboratorio en Hematología. Publicado por Elsevier España. pp. pág 3. ISBN 8445815814. Consultado el 29 de diciembre de 2008.
- ↑ Li J, Stokes SA, Woeckener A. A tale of novel intoxication: a review of the effects of γ -hydroxybutyric acid with recommendations for management. Ann Emerg Med 1998; 31: 729-36.
- ↑ Dueñas A. Ácido γ -hidroxibutírico o ‘éxtasis líquido’, ¿la intoxicación que viene? Med Clin 1998; 111: 24-6.
- ↑ Waszkielewicz A, Bojarski J (2004). «Gamma-hydrobutyric acid (GHB) and its chemical modifications: a review of the GHBergic system» (PDF). Pol J Pharmacol 56 (1): 43-9. PMID 15047976.
- ↑ Laborit H. Sodium 4-hydroxybutyrate. Int J Neuropharmacol 1964; 3: 433-52. :
- ↑ Ottani A, Saltini S, Bartiromo M, et al (octubre de 2003). «Effect of gamma-hydroxybutyrate in two rat models of focal cerebral damage». Brain Res. 986 (1-2): 181-90. PMID 12965243.
- ↑ C. Andriamampandry, O. Taleb, S. Viry, C. Muller, J. P. Humbert, S. Gobaille, D. Aunis and M. Maitre (2003). «Cloning and characterization of a rat brain receptor that binds the endogenous neuromodulator γ-hydroxybutyrate». The FASEB Journal (Issue). PMID 12958178. doi:10.1096/fj.02-0846fje.
- ↑ Maitre M. The γ -hydroxybutyrate signaling system in brain: organization and functional implications. Prog Neurobiol 1997; 51: 337-61.
- ↑ Wu Y, Ali S, Ahmadian G, et al (diciembre de 2004). «Gamma-hydroxybutyric acid (GHB) and gamma-aminobutyric acidB receptor (GABABR) binding sites are distinctive from one another: molecular evidence». Neuropharmacology 47 (8): 1146-56. PMID 15567424. doi:10.1016/j.neuropharm.2004.08.019.
- ↑ Cash, C (1999). «γ-hydroxybutyrate receptor function studied by the modulation of nitric oxide synthase activity in rat frontal cortex punches». Biochemical Pharmacology 58: 1815. doi:10.1016/S0006-2952(99)00265-8.
- ↑ a b c Maitre M, Humbert JP, Kemmel V, Aunis D, Andriamampandry C (marzo de 2005). «[A mechanism for gamma-hydroxybutyrate (GHB) as a drug and a substance of abuse]». Med Sci (Paris) (en francés) 21 (3): 284-9. PMID 15745703. Archivado desde el original el 15 de julio de 2009.
- ↑ Dimitrijevic N, Dzitoyeva S, Satta R, Imbesi M, Yildiz S, Manev H (septiembre de 2005). «Drosophila GABA(B) receptors are involved in behavioral effects of gamma-hydroxybutyric acid (GHB)». Eur. J. Pharmacol. 519 (3): 246-52. PMID 16129424. doi:10.1016/j.ejphar.2005.07.016.
- ↑ Castelli MP, Ferraro L, Mocci I, et al (noviembre de 2003). «Selective gamma-hydroxybutyric acid receptor ligands increase extracellular glutamate in the hippocampus, but fail to activate G protein and to produce the sedative/hypnotic effect of gamma-hydroxybutyric acid». J. Neurochem. 87 (3): 722-32. PMID 14535954.
- ↑ Banerjee PK, Snead OC (junio de 1995). «Presynaptic gamma-hydroxybutyric acid (GHB) and gamma-aminobutyric acidB (GABAB) receptor-mediated release of GABA and glutamate (GLU) in rat thalamic ventrobasal nucleus (VB): a possible mechanism for the generation of absence-like seizures induced by GHB». J. Pharmacol. Exp. Ther. 273 (3): 1534-43. PMID 7791129.
- ↑ Hechler V, Gobaille S, Bourguignon JJ, Maitre M (marzo de 1991). «Extracellular events induced by gamma-hydroxybutyrate in striatum: a microdialysis study». J. Neurochem. 56 (3): 938-44. PMID 1847191.
- ↑ Maitre M, Hechler V, Vayer P, et al (noviembre de 1990). «A specific gamma-hydroxybutyrate receptor ligand possesses both antagonistic and anticonvulsant properties». J. Pharmacol. Exp. Ther. 255 (2): 657-63. PMID 2173754.
- ↑ Smolders I, De Klippel N, Sarre S, Ebinger G, Michotte Y (septiembre de 1995). «Tonic GABA-ergic modulation of striatal dopamine release studied by in vivo microdialysis in the freely moving rat». Eur. J. Pharmacol. 284 (1-2): 83-91. PMID 8549640.
- ↑ a b c Jazz Pharmaceuticals (18 de noviembre de 2005). «Características del Xyrem para la FDA». Consultado el 25 de diciembre de 2008.
- ↑ a b
- ↑ Vergoni AV, Ottani A, Botticeli AR, Zaffe D, Guano L, Loche A, et al. Neuroprotective effect of γ-hydroxybutyrate in the transient global cerebral ischemia in the rat. Eur J Pharmacol 2000; 397: 75-84.
- ↑ Meerlo P,Westerveld P, Turek FW, Koehl M. Effects of γ –hydroxybutyrate (GHB) on vigilance states and EEG in mice. Sleep 2004; 27: 899-904.
- ↑ Wu, H. (2003). «A Tertiary Alcohol Analog of gamma-Hydroxybutyric Acid as a Specific gamma -Hydroxybutyric Acid Receptor Ligand». Journal of Pharmacology and Experimental Therapeutics 305: 675. PMID 12606613. doi:10.1124/jpet.102.046797.
- ↑ Gallimberti L, Spella MR, Sloncini CA, Gessa GL. γ-hydroxybutyric acid in the treatment of alcohol and heroin dependence. Alcohol 2000; 20: 257-62.
- ↑ Gian Luigi Gessa en sus estudios sobre alcoholismo afirma que el GHB se muestra más efectivo en la ayuda a la desintoxicación que otras medicamentos como el disulfiram.
- ↑ Xyrem:Home
- ↑ Marián Carretero Colomer (Diciembre). «Oxibato sódico. Tratamiento de los síntomas de la cataplejía». OFFARM. VOL 26 NÚM 11. Consultado el 25 de diciembre de 2008.
- ↑ European Medicines Agency (2007). «Informe público europeo de evaluación (EPAR) Xyrem». Archivado desde el original el 22 de noviembre de 2006. Consultado el 25 de diciembre de 2008.
- ↑ García F, Pedraza C, Luna G, Navarro JF. Neurobehavioural evaluation of γ -hydroxybutyric acid (GHB), a new drug with abuse potential, in male rats. Eur Neuropsychopharmacol 2002; 11 (Suppl 3): S389.
- ↑ Gamma-hydroxybutyrate accelerates functional recovery after focal cerebral ischemia. http://www.ncbi.nlm.nih.gov/pubmed/18753748?access_num=18753748&link_type=MED&dopt=Abstract
- ↑ Denis Richard, Jean-Louis Senon, Marc Valleur, (2004) Dictionnaire des drogues et des dépendances, Larousse. ISBN 2-03-505431-1
- ↑ Galloway, Frederick, Gonzales, et al. "Gamma-hydroxybutyrate: an emerging drug of abuse that causes physical dependence". Addiction. 1997. 92(1):98-96.
- ↑ Feldman N, Croquette-Krokar M. (2002). «New Drugs: Ectasy and Gamma-Hydroxy-Butyrate (GHB)». Division d'abus de substances, Departament. de Psychiatrie, HUG, Genéve, Suisse.
- ↑ a b c d Autores Varios, Cynthia Kuhn, Scott Swartzwelder, Wilkie Wilson. Anabolizantes, estimulantes y calmantes en la práctica deportiva: Información fidedigna sobre medicamentos, suplementos y entrenamiento dirigida a los deportistas (en español). Publicado por Editorial Paidotribo, 2003; pág 184-185. ISBN 84-8019-681-5
- ↑ Departamento de estado de EEUU. «GHB, GBL and 1,4BD as Date Rape Drugs» (en inglés). Consultado el 25 de diciembre de 2008.
- ↑ Página oficial de la Oficina Nacional Antidrogas de Venezuela. «Trago mortal: Ahora el Éxtasis es líquido». Noticias ONA. Archivado desde el original el 7 de octubre de 2008. Consultado el 5 de enero de 2009. «Conocida también como el éxtasis líquido (GHB), tiene efectos impredecibles en cada persona y por lo general son eufóricos y sedativos, que la hacen sumamente peligrosa porque es utilizada para llevar a cabo agresiones y violaciones sexuales, al igual que el Rohypnol o el clonacepam.»
- ↑ Jones, C. (2001). "Suspicious death related to gamma-hydroxybutyrate (GHB) toxicity (2001)". Journal of Clinical Forensic Medicine 8: 74
- ↑ ElSohly MA, Salamone SJ (1999). «Prevalence of drugs used in cases of alleged sexual assault». J Anal Toxicol 23 (3): 141-6. PMID 10369321.
- ↑ Universidad de Delaware. «S.O.S. - Date Rape Drugs» (en inglés). Consultado el 25 de diciembre de 2008.
- ↑ Labs making date-rape drug raided, The Independent World, 10 July 2008
- ↑ Riccardo Volpi, Paolo Chiodera, Paolo Caffarra, Augusto Scaglioni, Antonella Saccani and Vittorio Coiro (1997). «Different control mechanisms of growth hormone (GH) secretion between γ-amino- and γ-hydroxy-butyric acid: neuroendocrine evidence in parkinson's disease». Psychoneuroendocrinology 22 (7): 531-538. doi:10.1016/S0306-4530(97)00055-3.
- ↑ Badamchian, M (1995). «Alpha-Tocopherol Succinate, But Not Alpha-Tocopherol Or Other Vitamin E Analogs Stimulates Prolactin And Growth Hormone Release From Rat Anterior Pituitary Cells in vitro». The Journal of Nutritional Biochemistry 6: 340. doi:10.1016/0955-2863(95)00044-Z.
- ↑ Volpi, R (2000). «Muscarinic cholinergic mediation of the GH response to gamma-hydroxybutyric acid: neuroendocrine evidence in normal and parkinsonian subjects». Psychoneuroendocrinology 25: 179. doi:10.1016/S0306-4530(99)00048-7.
- ↑ Andera K, Evans H, Wojcik C. "Microchemical identification of Gamma-Hydroxybutyrate" Journal of Forensi Sciences. (2000) 45(3):665-668.
- ↑ The Merck Index 11 Edition pag 243,155596.; Mills, T et al. "Instrumental data for Drug Analysis" Butyrolactone. Vol. 6, page 40-41.
- ↑ Pamela R. Smith DEA Special testing Reaserach laboratory.
Enlaces externos
Wikimedia Commons alberga una categoría multimedia sobre Ácido γ-hidroxibutírico.- (enlace roto disponible en Internet Archive; véase el historial, la primera versión y la última).
- «GHB». Cienciaforense.com. Consultado el 25 de diciembre de 2008.
- «Nuevas sustancias psicoactivas asociadas a prácticas sexuales de riesgo: GHB». Dosieres informativos PNSD. Consultado el 19 de septiembre de 2024.
- «Proyecto GHB». Archivado desde el original el 24 de abril de 2009. Consultado el 25 de diciembre de 2008.
- Ecstasy and Other Club Drugs Oficina de nacional de control de drogas de Estados Unidos (inglés)

