Acetal

.svg.png)
En química, un acetal es una molécula con dos grupos alcoxi, unidos a un mismo átomo de carbono. Se suele diferenciar a los acetales de los cetales. Mientras que el átomo de carbono funcional de los cetales está unido necesariamente a dos átomos de carbono, en los acetales al menos una de las valencias la ocupa un átomo de hidrógeno. Sin embargo, las definiciones actuales consideran a los cetales como un subgrupo de los acetales.
Nomenclatura IUPAC
La IUPAC admite dos tipos de nomenclatura para los acetales y cetales. Una, basada en la construcción sistemática de nombres, utilizando prefijos: alcoxi, hidroxi, etc. La otra, más común, consiste en la construcción del nombre del aducto utilizando el nombre del compuesto carbonílico original y los nombres de los radicales que conforman el sistema acetálico. Por ejemplo: el aducto cetálico de la reacción de acetona con etanol en condiciones adecuadas puede llamarse cetal dietílico de la acetona.
Propiedades químicas
Los acetales y cetales son altamente inertes a la acción de las bases o de reactivos nucleófilos. Son también resistentes a los ácidos en ausencia de nucleófilos moderadamente fuertes. En cambio, reaccionan con nucleófilos en presencia de cantidades catalíticas de ácidos minerales, produciendo la ruptura del enlace acetálico. Por ejemplo, el cetal dietílico de la acetona, disuelto en agua (nucleófilo) y en cantidades pequeñas de ácido clorhídrico, se disocia en acetona y etanol.
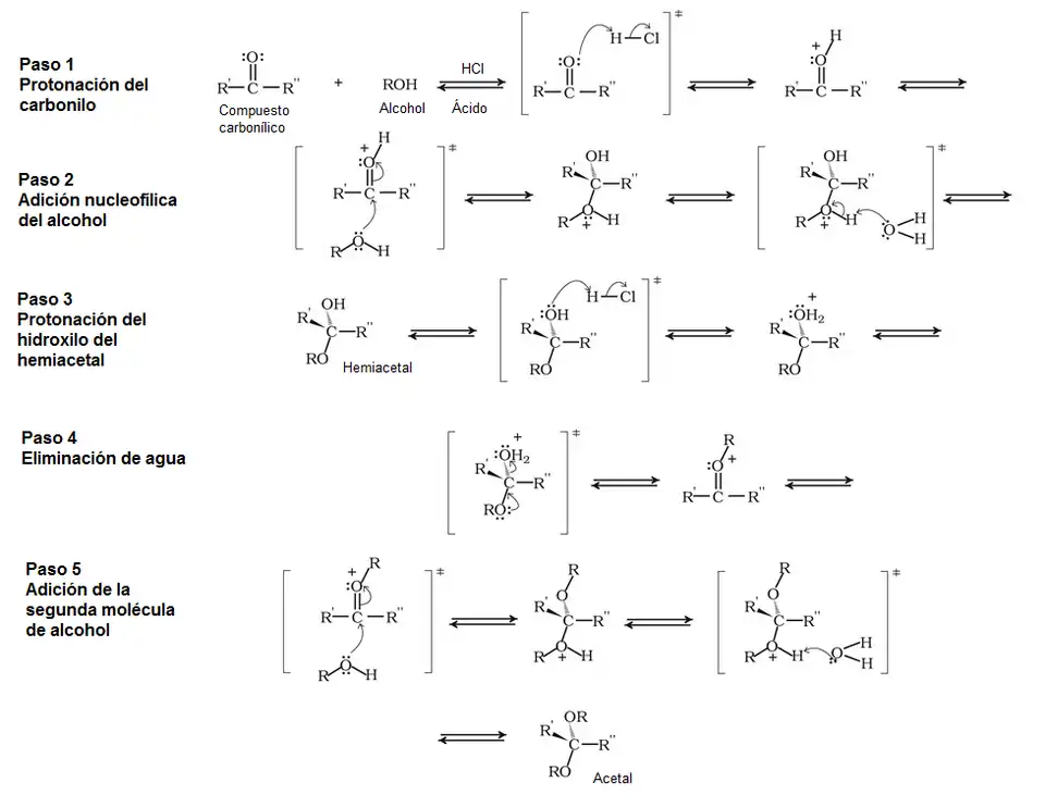
Preparación
Los acetales y cetales se preparan a partir de un aldehído y una cetona correspondiente, y un alcohol, en presencia de ácido mineral.
La reacción está en equilibrio marcado, así que se utilizan condiciones que favorezcan la formación del producto acetálico, por ejemplo, haciendo uso de la ley de acción de masas. El mecanismo de formación de acetales se cataliza con medio ácido. Esta reacción es en dos etapas, llevadas a cabo en el mismo reactor. En la primera, el compuesto carbonílico reacciona con una cantidad equivalente de alcohol, en un equilibrio ácido-base por un mecanismo de adición-eliminación para formar un hemiacetal (o hemicetal, según sea aldehído o cetona). El hemiacetal se protona posteriormente para formar el acetal otra vez por un mecanismo adición-eliminación.

En los compuestos orgánicos más sencillos, el equilibrio cetona + alcohol y hemicetal + agua suele estar desplazado hacia la izquierda. Sin embargo, en compuestos más complejos (carbohidratos), donde otros factores pueden estabilizar al hemiacetal (por ejemplo, la formación de un anillo de 4 o 5 miembros), predomina el hemiacetal. La glucosa en solución acuosa se encuentra principalmente en forma cíclica hemiacetálica.

La formación de acetales reduce el número total de moléculas presentes y, en consecuencia, no es favorable en términos de la entropía. Una forma de mejorar esto es con el uso de un ortoéster como fuente de alcohol. Los aldehídos y cetonas pueden sufrir un proceso denominado intercambio acetálico con los ortoésteres para producir acetales. El agua producida junto con el producto acetálico es utilizada en hidrolizar el ortoéster y producir más alcohol para ser usado en la reacción.
Aplicaciones
El acetal dietílico del acetaldehído es un compuesto saborizante importante en los destilados alcohólicos.[1] La transformación de un aldehído, cetona o alcohol a acetal, denominada acetalización, constituye un método para introducir un grupo protector de dichos grupos funcionales a los reactivos básicos.

Los acetales también son utilizados para preparar polímeros plásticos.
Plásticos
Ventajas de los plásticos basados en acetales:
- Resistentes químicamente
- Absorción de agua muy baja
- Resistente a la hidrólisis por bases.
Desventajas de los plásticos basados en acetales:
- Poca resistencia al impacto
- Bajo punto de fusión
- Más rígidos que los nylons
- Sus vapores son sumamente tóxicos, causan irritación a la mucosa nasal.
- A temperaturas más allá de su punto de fusión es autoignífugo.
Ejemplos
- Dimetoximetano, un solvente
- Dioxolano
- Grupo metilendioxi
- Metaldehído
- Paraldehído
- 1,3,5-Trioxano
- 3,4-metilendioximetanfetamina
Referencias
- ↑ Volatile Compounds in Foods and Beverages, 0-8247-8390-5, http://books.google.com/books?id=_OvXjhLUz-oC, p.554