Acoplamiento de Glaser
El acoplamiento de Glaser es una reacción orgánica, el más antiguo de los acoplamientos acetilénicos, que consiste en la reacción de sales del ion cuproso, tales como bromuro de cobre (I), y un oxidante, por ejemplo el oxígeno triplete. La base utilizada en la reacción original es amoniaco.[1][2]

La reacción fue descubierta en 1869 por el químico alemán Carl Andreas Glaser (1841-1935).
Mecanismo
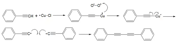
El mecanismo comienza con la desprotonación del extremo alquilacetilénico por acción del ion cuproso, dando como resultado el alquilacetiluro cuproso. Este intermediario se oxida al ion cúprico (Cu III) con el oxígeno triplete, por lo que da inicio a una reacción de radicales libres:[3]
- Iniciación: se rompe el enlace Carbono-Cobre, recuperando el catión cuproso.
- Propagación: el catión cuproso formado puede reaccionar con otra molécula de alquino.
- Terminación: dos radicales alquilalquinilo se unen formando un enlace σ.

Acoplamiento de Eglinton
El Acoplamiento de Eglinton[4] es una modificación del acoplamiento de Glaser en donde dos alquinos terminales se acoplan directamente, empleando una sal de cobre (II), como por ejemplo acetato de cobre, y piridina como base.

La reacción de Eglinton[5] se ha utilizado para sintetizar una serie de antibióticos fúngicos y es importante para la formación de enlaces carbono-carbono a través del acoplamiento oxidativo de alquinos.[6]
Este procedimiento ha sido utilizado en la síntesis de ciclooctadecenona.[7] Otro ejemplo es la síntesis de difenildiacetileno a partir de fenilacetileno.[8]
Referencias
- ↑ Carl Glaser (1870). «Untersuchungen über einige Derivate der Zimmtsäure». Annalen der Chemie und Pharmacie 154: 137. doi:10.1002/jlac.18701540202.
- ↑ Carl Glaser (1869). «Beiträge zur Kenntniss des Acetenylbenzols». Berichte der deutschen chemischen Gesellschaft 2: 422-424. doi:10.1002/cber.186900201183.
- ↑ Jie Jack Li (2009). Name Reactions. A Collection of Detailed Reaction Mechanisms 4th Edition. Berlin, De: Springer. ISBN 978-3-642-01052-1.
- ↑ G. Eglinton and A. R. Galbraith, J. Chem. Soc., 889 (1959).
- ↑ Eglinton, G.; Galbraith, A. R.; Chem. Ind. 1956, 737.
- ↑ Eglinton, G.; McRae, W. Adv. Org. Chem. 1963, 4, 225.
- ↑ K. Stöckel and F. Sondheimer (1988). "[18]Annulene". Org. Synth.; Coll. Vol. 6: 68.
- ↑ I. D. Campbell and G. Eglinton (1973). "Diphenyldiacetylene". Org. Synth.; Coll. Vol. 5: 517.