Alcaloides del cornezuelo de centeno

Los alcaloides del cornezuelo de centeno son el primer grupo de fármacos de bloqueo adrenérgico que se descubrieron y su farmacología general se describió en estudios clásicos. Estos alcaloides del cornezuelo manifiestan una variedad compleja de propiedades farmacológicas. En grados variables, los agentes mencionados actúan como agonistas o antagonistas parciales a nivel de receptores α, receptores dopamínicos y de serotonina.[1]
Historia
El cornezuelo de centeno es el hongo Claviceps purpurea que crece sobre diversos granos y cereales. La muerte cundió durante siglos debido a la contaminación de los granos comestibles por este hongo parásito venenoso.
Es conocido desde hace más de dos mil años el efecto que el cornezuelo de centeno provoca en las mujeres embarazadas que lo ingieren. Hace cerca de 500 años que los médicos lo empezaron a emplear como agente oxitócico. En los primeros años del siglo pasado, quedaron establecidos los procesos de aislamiento e identificación química de los primeros principios activos de este hongo.[2]
Las esporas del hongo son transportadas por viento o insectos hacia los ovarios del centeno joven. Posteriormente germinan y se forman unos filamentos conocidos como hifas. A medida que estas penetran profundamente en el ovario del centeno se forma un tejido denso que poco a poco consume toda la sustancia del grano. Después se hace duro formando un cuerpo curvado de color morado (de ahí lo de "purpuerea") que se conoce como sclerotium o cornezuelo.[1]
En 1808, el médico John Stearns envió una carta al Medical Repository de Nueva York, con el título "Pulvis parturiens, un remedio para acelerar el parto", donde declara que el "polvo para parturientas" acelera el parto y ahorra mucho tiempo. Y esa fue la introducción oficial del cornezuelo en la medicina.[3]
Desafortunadamente, cuando se generalizó el uso del polvo, el resultado para el feto fue con frecuencia desfavorable. Hubo muchos informes de muerte fetal intrauterina y muerte neonatal temprana. La causa de la muerte en estos casos se ha atribuido generalmente a la asfixia intraparto relacionada con la contracción uterina tónica y la obliteración de la circulación placentaria, sin embargo, existe evidencia de que en realidad pudo haber sido intoxicación por la ergonovina del hongo, también llamada ergometrina (aislada en 1932).[4]
En 1920 se aisló el primer alcaloide puro del cornezuelo de centeno, la ergotamina, que aún se sigue empleando en medicamentos recetados para las cefaleas intensas, muchas veces en combinación con otros fármacos, como la cafeína.[5]
Química

Los alcaloides del cornezuelo de centeno pueden considerarse derivados del compuesto tetracíclico 6-metilergolina. Los alcaloides naturales contienen un sustituyente en la configuración beta en la posición 8 y una unión doble en el anillo D. Los alcaloides de interés terapéutico son derivados amídicos del Ácido lisérgico; estos compuestos tienen una doble unión entre el carbono 9 y el carbono 10, y por esa razón pertenecen a la familia de los compuestos 9-ergoleno. Muchos alcaloides que contienen un grupo metilo o hidroximetilo en laposición 8 están presentes en el cornezuelo en cantidades mínimas. Se les denomina alcaloides de clavina y consisten primordialmente en 9-ergolenos (lisergol) y 8-ergolenos (elimoclavina, el isómero 8-ergoleno del lisergol).[1]
Biosíntesis[6]
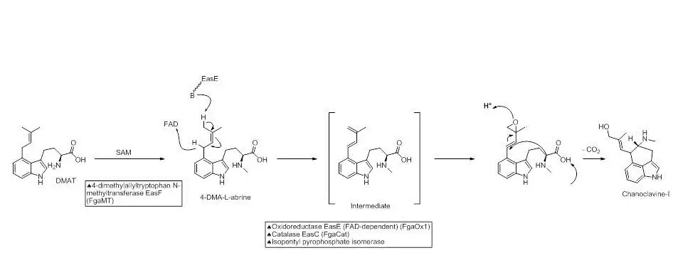
Los alcaloides del cornezuelo de centeno son el primer grupo de fármacos de bloqueo adrenérgico que se descubrieron y su farmacología general se describió en estudios clásicos. Estos alcaloides del cornezuelo manifiestan una variedad compleja de propiedades farmacológicas. En grados variables, los agentes mencionados actúan como agonistas o antagonistas parciales a nivel de receptores α, receptores dopamínicos y de serotonina.[1] Los alcaloides del cornezuelo de centeno pueden considerarse derivados del compuesto tetracíclico 6-metilergolina. Los alcaloides naturales contienen un sustituyente en la configuración beta en la posición 8 y una unión doble en el anillo D. Los alcaloides de interés terapéutico son derivados amídicos del Ácido lisérgico; estos compuestos tienen una doble unión entre el carbono 9 y el carbono 10, y por esa razón pertenecen a la familia de los compuestos 9-ergoleno. Muchos alcaloides que contienen un grupo metilo o hidroximetilo en laposición 8 están presentes en el cornezuelo en cantidades mínimas. Se les denomina alcaloides de clavina y consisten primordialmente en 9-ergolenos (lisergol) y 8-ergolenos (elimoclavina, el isómero 8-ergoleno del lisergol).[1] El triptófano puede ser prenilado en el anillo aromático por una reacción enzimática tipo Friedel-Crafts:

Este triptófano prenilado puede oxidarse para formar un anillo de seis miembros adicional fusionado, como en la chanoclavina I.

La chanoclavina da una heterociclización para formar un anillo adicional de piperidina fusionada al de la chanoclavina. Por ejemplo, la agroclavina:

La oxidación del metilo terminal de la agroclavina forma el ácido lisérgico, uno de los alcaloides del ergot más conocidos:

El ácido lisérgico puede incorporarse a una polipéptido sintasa no ribosomal para formar alcaloides más complejos, como la β-ergocriptina:

Farmacología
Los efectos farmacológicos de los alcaloides del cornezuelo de centeno suelen ser tanto complejos como variados; sin embargo, los efectos dependen en general de sus acciones como agonistas o antagonistas parciales en los receptores serotoninérgicos, dopaminérgicos y adrenérgicos.
Todos los alcaloides naturales del cornezuelo de centeno incrementan notablemente la actividad motora del útero. Después de administración de pequeñas dosis, las contracciones aumentan de fuerza o frecuencia, o ambas, pero van seguidas por un grado normal de relajación. A medida que se aumenta la dosis, las contracciones se hacen más enérgicas y prolongadas, hay aumento notorio del tono en reposo, y puede aparecer contractura sostenida. Aunque esta característica impide su uso para inducción del trabajo de parto o facilitación del mismo, es bastante compatible con su administración después del parto o de aborto, para controlar hemorragia y mantener la contracción uterina.
Derivados
Además de tener a la mano los alcaloides como la ergonovina, la ergotamina y la metilergonovina, también se han preparado algunos derivados semisintéticos por medio de hidrogenación catalítica de los alcaloides naturales, por ejemplo:
- Dihidroergotamina empleada también en migrañas.
- Bromocriptina (2-bromo-α-ergocriptina), empleada para el control de la secreción de prolactina. Esta propiedad se deriva del efecto del fármaco como agonista de la dopamina.
- Dietilamida del ácido lisérgico o (LSD), una potente droga alucinógena derivada del ácido lisérgico, que no tiene ese efecto.
- Metisergida, un antagonista de la serotonina.[1]
Uso en postparto
La ergonovina y la metilergonovina poseen un rápido inicio de acción y pueden administrarse por vía oral o parenteral. Si se opta por la vía intramuscular, la duración de la acción es de aproximadamente seis horas.
Los efectos adversos comunes son náuseas y vómito. Éstos fármacos también causan constricción de los vasos sanguíneos, lo que puede producir grados variables de hipertensión. Esta respuesta vascular, combinada con la contracción del músculo uterino, disminuye el potencial de hemorragia posparto y previene la atonía muscular. Si se administra en forma excesiva, su efecto vasopresor puede ser intenso y llegar a restringir el flujo sanguíneo hacia las extremidades (dedos de las manos y los pies). Este efecto puede provocar anoxia tisular y gangrena. Estos alcaloides nunca deben usarse para inducir el parto o abortos.[7]
Referencias
- ↑ a b c d e f Goodman Gilman, Alfred; Goodman, Louis S.; Rall, Theodore W.; [et al] (1986). «(39)». Goodman y Gilman: Las bases farmacológicas de la terapéutica (7a. ed. edición). Buenos Aires: Médica Panamericana. pp. 890-891. ISBN 9500608472.
- ↑ Brunton, Laurence L.; Parker, Keith L.; Lazo, John S. (2005). «(11)». Goodman & Gilman's the pharmacological basis of therapeutics (11th ed. edición). New York: McGraw-Hill Medical Publishing Division. pp. 533-538. ISBN 0-07-142280-3.
- ↑ Stearn, John (1808). «pulvis parturiens (powder to bring forth labour)». Medical Repository 5 (308).
- ↑ Dargaville, Peter A; Campbell, Neil T (de abril de 1999). «Pulvis Parturiens and Neonatal Ergometrine Poisoning in the 19th Century». Pediatric Research 45 (4, Part 2 of 2): 122A-122A. doi:10.1203/00006450-199904020-00724.
- ↑ Staff médico (1996). «Cafergot». Vademecum Novartis: 32.
- ↑ Dewick, P.M. (2009). Medicinal Natural Products. A biosynthetic approach. UK: John Wiley and Sons. ISBN 978-0-470-74168-9.
- ↑ Hitner, Henry; Nagle, Barbara (2005). «40». Introducción a la farmacología (5a edición). México: Mcgraw-Hill Interamericana. p. 257. ISBN 978-970-10-6123-7.