Aliina
| Aliina | ||
|---|---|---|
![]() | ||
| General | ||
| Fórmula estructural |
![]() | |
| Fórmula molecular | C6H11NO3S | |
| Identificadores | ||
| Número CAS | [556-27-4][1] | |
| ChEBI | 132987 2596, 132987 | |
| ChemSpider | 7850537 | |
| PubChem | 51380903 9576089, 51380903 | |
| UNII | 7I4L2D0E9G | |
| Propiedades físicas | ||
| Masa molar | 177,22 g/mol | |
| Punto de fusión | 437 K (164 °C) | |
| Propiedades químicas | ||
| Solubilidad en agua | Soluble | |
| Peligrosidad | ||
| NFPA 704 |
1
1
0
| |
| Valores en el SI y en condiciones estándar (25 ℃ y 1 atm), salvo que se indique lo contrario. | ||
La aliina es un sulfóxido que se encuentra naturalmente en el ajo fresco. Es un derivado del aminoácido cisteína. Cuando se corta o machaca el ajo fresco, este compuesto entra en contacto con la enzima aliinasa y se convierte en alicina (principal responsable del aroma del ajo).
Bioquímica
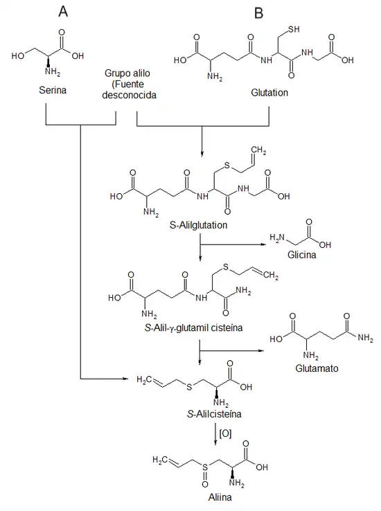
Existen dos teorías acerca de la posible biosíntesis de la aliina: una establecida por Granroth en 1970, en el que se supone este compuesto parte de la serina, y la otra por Lancaster y Shaw en 1989, quienes proponen que la biosíntesis parte del glutatión. Aun no se ha establecido el origen biosintético del grupo alilo. Posterior a la conjugación del precursor y el sustituyente mencionados, la S-alilcisteína se oxida para dar la aliicina.[2]

La cebolla (Allium cepa) y el ajo (A. sativum) y otras especies de Allium son importantes por el valor culinario de sus sabores y olores. Estos son característicos de cada especie y son creados por la transformación química de una serie de compuestos volátiles de azufre generadas por la ruptura de sulfóxidos de S-alquil y S-alquenil cisteínas. El más representativo es la aliina. Al trozar los tejidos del bulbo, se activan las enzimas alinasa (EC 4.4.1.4) y la sintasa del factor lacrimógeno (LFS). Los metabolitos secundarios de la aliina son:
- Sulfóxido de S-metil cisteína (MCSO, metiina, presente en la mayoría de las especies de Allium y en algunas brasicáceas)
- Sulfóxido de S-trans-prop-1-enil cisteína (PECSO o isoaliina; característica de la cebolla),
- Sulfóxido de S-propilcisteína (PCSO, propiina, en la cebolla y especies afines).
- Ajoenos (E y Z)
- Sulfóxido de tiopropanal
- Vinilditiinas
- Tioacroleína
- Sulfuros de alilo
Los estudios de la transformación de los intermediarios biosintéticos por marcaje, y de las mediciones de los compuestos de azufre en la cebolla y el ajo han proporcionado información para sugerir la ruta de biosíntesis.[3][4]

Referencias
- ↑ [556-27-4 Número CAS]
- ↑ M.G. Jones et al. (2007). «The Biochemical and Physiological Genesis of Alliin in Garlic». Medicinal and Aromatic Plant Science and Biotechnology 1 (1): 21-24.
- ↑ Paul M. Dewick (2009). Medicinal natural products: a biosynthetic approach. John Wiley and Sons. ISBN 9780470741689.
- ↑ Jones MG, Hughes J, Tregova A, Milne J, Tomsett AB, Collin HA (2004). «Biosynthesis of the flavour precursors of onion and garlic». J Exp Bot. 55 (404): 1903-1918.

