Todas las funciones en O
Una identidad trigonométrica es una igualdad que vincula dos funciones trigonométricas y es válida en el dominio común o descartando los puntos que anulan alguna función en caso de ser divisor. Las funciones están ligadas por operaciones racionales y por potencias de exponente entero, aunque en algunos casos se recurre a la raíz cuadrada. Los ángulos se suman algebraicamente, se multiplican o se dividen por enteros positivos y luego actúan como argumento de alguna función.
Nota: la notación
sen
2
α
{\displaystyle \operatorname {sen} ^{2}\alpha }
se define como
(
sen
α
)
2
{\displaystyle (\operatorname {sen} \alpha )^{2}}
. Lo mismo se aplica a las demás funciones trigonométricas.
Funciones trigonométricas
Identidades trigonométricas fundamentales, y cómo convertir de una función trigonométrica a otra
sen
θ
=
y
,
cos
θ
=
x
{\displaystyle \operatorname {sen} \theta =y{\text{, }}\cos \theta =x}
en
Δ
R
{\displaystyle \Delta R}
de hipotenusa igual a uno, cateto adyacente
x
{\displaystyle x}
, cateto opuesto
y
{\displaystyle y}
, respecto a
θ
.
{\displaystyle \theta .}
tg
θ
=
sen
θ
cos
θ
,
θ
≠
π
2
+
π
k
p
a
r
a
k
∈
Z
.
{\displaystyle \operatorname {tg} \theta ={\frac {\operatorname {sen} \theta }{\cos \theta }},{\text{ }}\theta \neq {\frac {\pi }{2}}+\pi k\quad \mathrm {para} \quad k\in \mathbb {Z} .}
cot
θ
=
cos
θ
sen
θ
,
θ
≠
π
k
p
a
r
a
k
∈
Z
.
{\displaystyle \cot \theta ={\frac {\cos \theta }{\operatorname {sen} \theta }},{\text{ }}\theta \neq \pi k\quad \mathrm {para} \quad k\in \mathbb {Z} .}
sec
θ
=
1
cos
θ
,
θ
≠
π
2
+
π
k
,
p
a
r
a
k
∈
Z
.
{\displaystyle \sec \theta ={\frac {1}{\cos \theta }},{\text{ }}\theta \neq {\frac {\pi }{2}}+\pi k,\quad \mathrm {para} \quad k\in \mathbb {Z} .}
csc
θ
=
1
sen
θ
,
θ
≠
π
k
,
p
a
r
a
k
∈
Z
.
{\displaystyle \csc \theta ={\frac {1}{\operatorname {sen} \theta }},{\text{ }}\theta \neq \pi k,\quad \mathrm {para} \quad k\in \mathbb {Z} .}
[ 1]
Relaciones básicas
Periodicidad
2
π
{\displaystyle 2\pi }
cos
θ
=
sen
(
π
2
+
θ
)
{\displaystyle \cos \theta =\operatorname {sen} \left({\frac {\pi }{2}}+\theta \right)}
Simetría
sen
θ
=
−
sen
(
−
θ
)
{\displaystyle \operatorname {sen} \theta =-\operatorname {sen}(-\theta )}
Relación pitagórica
sen
2
θ
+
cos
2
θ
=
1
{\displaystyle \operatorname {sen} ^{2}\theta +\cos ^{2}\theta =1\,}
Identidad de la razón
tg
θ
=
sen
θ
cos
θ
{\displaystyle \operatorname {tg} \theta ={\frac {\operatorname {sen} \theta }{\cos \theta }}}
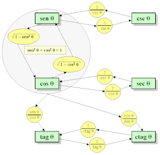
De estas identidades, se puede elaborar la siguiente tabla. Para obtener el signo correcto en algunos casos se necesitará saber los valores para los cuales la función trigonométrica en cuestión es negativa o positiva.
Funciones trigonométricas en función de las otras cinco[ 2]
En términos de
sen
{\displaystyle \operatorname {sen} }
cos
{\displaystyle \cos }
tg
{\displaystyle \operatorname {tg} }
cot
{\displaystyle \cot }
sec
{\displaystyle \sec }
csc
{\displaystyle \csc }
sen
θ
{\displaystyle \operatorname {sen} \theta }
sen
θ
{\displaystyle \operatorname {sen} \theta }
cos
(
3
π
2
+
θ
)
{\displaystyle \cos \left({\frac {3\pi }{2}}+\theta \right)}
tg
θ
1
+
tg
2
θ
{\displaystyle {\frac {\operatorname {tg} \theta }{\sqrt {1+\operatorname {tg} ^{2}\theta }}}}
1
1
+
cot
2
θ
{\displaystyle {\frac {1}{\sqrt {1+\cot ^{2}\theta }}}}
sec
2
θ
−
1
sec
θ
{\displaystyle {\frac {\sqrt {\sec ^{2}\theta -1}}{\sec \theta }}}
1
csc
θ
{\displaystyle {\frac {1}{\csc \theta }}}
cos
θ
{\displaystyle \cos \theta }
sen
(
π
2
+
θ
)
{\displaystyle \operatorname {sen} \left({\frac {\pi }{2}}+\theta \right)}
cos
θ
{\displaystyle \cos \theta \ }
1
1
+
tg
2
θ
{\displaystyle {\frac {1}{\sqrt {1+\operatorname {tg} ^{2}\theta }}}}
cot
θ
1
+
cot
2
θ
{\displaystyle {\frac {\cot \theta }{\sqrt {1+\cot ^{2}\theta }}}}
1
sec
θ
{\displaystyle {\frac {1}{\sec \theta }}}
csc
2
θ
−
1
csc
θ
{\displaystyle {\frac {\sqrt {\csc ^{2}\theta -1}}{\csc \theta }}}
tg
θ
{\displaystyle \operatorname {tg} \theta }
sen
θ
sen
(
π
2
+
θ
)
{\displaystyle {\frac {\operatorname {sen} \theta }{\operatorname {sen} \left({\frac {\pi }{2}}+\theta \right)}}}
cos
(
3
π
2
+
θ
)
cos
θ
{\displaystyle {\frac {\cos \left({\frac {3\pi }{2}}+\theta \right)}{\cos \theta }}}
tg
θ
{\displaystyle \operatorname {tg} \theta \ }
1
cot
θ
{\displaystyle {\frac {1}{\cot \theta }}}
sec
2
θ
−
1
{\displaystyle {\sqrt {\sec ^{2}\theta -1}}}
1
csc
2
θ
−
1
{\displaystyle {\frac {1}{\sqrt {\csc ^{2}\theta -1}}}}
cot
θ
{\displaystyle \cot \theta }
sen
(
π
2
+
θ
)
sen
θ
{\displaystyle {\frac {\operatorname {sen} \left({\frac {\pi }{2}}+\theta \right)}{\operatorname {sen} \theta }}}
cos
θ
cos
(
3
π
2
+
θ
)
{\displaystyle {\frac {\cos \theta }{\cos \left({\frac {3\pi }{2}}+\theta \right)}}}
1
tg
θ
{\displaystyle {\frac {1}{\operatorname {tg} \theta }}}
cot
θ
{\displaystyle \cot \theta \ }
1
sec
2
θ
−
1
{\displaystyle {1 \over {\sqrt {\sec ^{2}\theta -1}}}}
csc
2
θ
−
1
{\displaystyle {\sqrt {\csc ^{2}\theta -1}}}
sec
θ
{\displaystyle \sec \theta }
1
sen
(
π
2
+
θ
)
{\displaystyle {\frac {1}{\operatorname {sen} \left({\frac {\pi }{2}}+\theta \right)}}}
1
cos
θ
{\displaystyle {\frac {1}{\cos \theta }}}
1
+
tg
2
θ
{\displaystyle {\sqrt {1+\operatorname {tg} ^{2}\theta }}}
1
+
cot
2
θ
cot
θ
{\displaystyle {{\sqrt {1+\cot ^{2}\theta }} \over \cot \theta }}
sec
θ
{\displaystyle \sec \theta \ }
csc
θ
csc
2
θ
−
1
{\displaystyle {\csc \theta \over {\sqrt {\csc ^{2}\theta -1}}}}
csc
θ
{\displaystyle \csc \theta }
1
sen
θ
{\displaystyle {\frac {1}{\operatorname {sen} \theta }}}
1
cos
(
3
π
2
+
θ
)
{\displaystyle {\frac {1}{\cos \left({\frac {3\pi }{2}}+\theta \right)}}}
1
+
tg
2
θ
tg
θ
{\displaystyle {{\sqrt {1+\operatorname {tg} ^{2}\theta }} \over \operatorname {tg} \theta }}
1
+
cot
2
θ
{\displaystyle {\sqrt {1+\cot ^{2}\theta }}}
sec
θ
sec
2
θ
−
1
{\displaystyle {\sec \theta \over {\sqrt {\sec ^{2}\theta -1}}}}
csc
θ
{\displaystyle \csc \theta \ }
De las definiciones de las funciones trigonométricas:
tg
x
=
sen
x
cos
x
cot
x
=
1
tg
x
=
cos
x
sen
x
{\displaystyle \operatorname {tg} {x}={\frac {\operatorname {sen} {x}}{\cos {x}}}\qquad \cot {x}={\frac {1}{\operatorname {tg} {x}}}={\frac {\cos {x}}{\operatorname {sen} {x}}}}
sec
x
=
1
cos
x
csc
x
=
1
sen
x
{\displaystyle \sec {x}={\frac {1}{\cos {x}}}\qquad \csc {x}={\frac {1}{\operatorname {sen} {x}}}}
Son más sencillas de probar en la circunferencia trigonométrica o goniométrica (que tiene radio igual a 1):
sen
(
x
)
=
sen
(
x
+
2
π
)
cos
(
x
)
=
cos
(
x
+
2
π
)
tg
(
x
)
=
tg
(
x
+
π
)
{\displaystyle \operatorname {sen}(x)=\operatorname {sen}(x+2\pi )\qquad \cos(x)=\cos(x+2\pi )\qquad \operatorname {tg} (x)=\operatorname {tg} (x+\pi )}
sen
(
−
x
)
=
sen
(
x
+
π
)
cos
(
−
x
)
=
−
cos
(
x
+
π
)
{\displaystyle \operatorname {sen}(-x)=\operatorname {sen}(x+\pi )\qquad \cos(-x)=-\cos(x+\pi )}
tg
(
−
x
)
=
−
tg
(
x
)
cot
(
−
x
)
=
−
cot
(
x
)
{\displaystyle \operatorname {tg} (-x)=-\operatorname {tg} (x)\qquad \cot(-x)=-\cot(x)}
sen
(
x
)
=
cos
(
π
2
−
x
)
cos
(
x
)
=
sen
(
π
2
−
x
)
tg
(
x
)
=
cot
(
π
2
−
x
)
{\displaystyle \operatorname {sen}(x)=\cos \left({\frac {\pi }{2}}-x\right)\qquad \cos(x)=\operatorname {sen} \left({\frac {\pi }{2}}-x\right)\qquad \operatorname {tg} (x)=\cot \left({\frac {\pi }{2}}-x\right)}
A veces es importante saber que cualquier combinación lineal de una serie de ondas senoidales que tienen el mismo período pero están desfasadas, es también una onda senoidal del mismo período pero con un desplazamiento de fase diferente. Dicho de otro modo:
a
sen
(
x
)
+
b
cos
(
x
)
=
a
2
+
b
2
⋅
sen
(
x
+
φ
)
{\displaystyle a\operatorname {sen}(x)+b\cos(x)={\sqrt {a^{2}+b^{2}}}\cdot \operatorname {sen} \left(x+\varphi \right)}
donde
φ
=
a
r
c
t
a
n
(
b
/
a
)
{\displaystyle \varphi ={\rm {arctan}}(b/a)}
si α es positivo y
φ
=
a
r
c
t
a
n
(
b
/
a
)
+
π
{\displaystyle \varphi ={\rm {arctan}}(b/a)+\pi }
si no.
Usando la función Atan2 también puede escribirse como
a
sen
(
x
)
+
b
cos
(
x
)
=
a
2
+
b
2
⋅
sen
(
x
+
atan2
(
b
,
a
)
)
{\displaystyle a\operatorname {sen}(x)+b\cos(x)={\sqrt {a^{2}+b^{2}}}\cdot \operatorname {sen} \left(x+\operatorname {atan2} (b,a)\right)}
.
La identidad
sen
2
(
x
)
+
cos
2
(
x
)
=
1
{\displaystyle \operatorname {sen} ^{2}\left(x\right)+\cos ^{2}\left(x\right)=1}
Es llamada identidad trigonométrica fundamental , y efectuando sencillas operaciones permite encontrar unas 24 identidades más, muy útiles para problemas introductorios del tipo conocido el valor de la función seno, obtenga el valor de las restantes (sin tabla ni calculadora).
Por ejemplo, si se divide ambos miembros de "sen² + cos² = 1" por cos², se obtiene:
tg
2
(
x
)
+
1
=
sec
2
(
x
)
{\displaystyle \operatorname {tg} ^{2}\left(x\right)+1=\sec ^{2}\left(x\right)}
Ahora, dividiendo ambos miembros de la misma expresión por el sen², se obtiene:
cot
2
(
x
)
+
1
=
csc
2
(
x
)
{\displaystyle \cot ^{2}\left(x\right)+1=\csc ^{2}\left(x\right)}
Entonces puede expresarse la función seno según alguna otra conocida:
sen
(
x
)
=
1
−
cos
2
(
x
)
sen
(
x
)
=
tg
x
1
+
tg
2
(
x
)
{\displaystyle \operatorname {sen}(x)={\sqrt {1-\cos ^{2}(x)}}\qquad \operatorname {sen}(x)={\frac {\operatorname {tg} {x}}{\sqrt {1+\operatorname {tg} ^{2}(x)}}}}
sen
(
x
)
=
1
1
+
cot
2
(
x
)
sen
(
x
)
=
1
sec
x
sec
2
(
x
)
−
1
{\displaystyle \operatorname {sen}(x)={\frac {1}{\sqrt {1+\cot ^{2}(x)}}}\qquad \operatorname {sen}(x)={\frac {1}{\sec {x}}}{\sqrt {\sec ^{2}(x)-1}}}
Ejemplo 2 :
sec
2
t
−
1
sec
2
t
=
sen
2
t
{\displaystyle {\frac {\sec ^{2}t-1}{\sec ^{2}t}}=\operatorname {sen} ^{2}t}
sec
2
t
−
1
sec
2
t
=
{\displaystyle {\frac {\sec ^{2}t-1}{\sec ^{2}t}}=}
1
cos
2
t
−
1
1
cos
2
t
=
{\displaystyle {\frac {{\frac {1}{\cos ^{2}t}}-1}{\frac {1}{\cos ^{2}t}}}=}
cos
2
t
(
1
cos
2
t
−
1
)
=
{\displaystyle \cos ^{2}t\left({\frac {1}{\cos ^{2}t}}-1\right)=}
cos
2
t
(
1
−
cos
2
t
cos
2
t
)
=
{\displaystyle \cos ^{2}t\left({\frac {1-\cos ^{2}t}{\cos ^{2}t}}\right)=}
1
−
cos
2
t
=
{\displaystyle 1-\cos ^{2}t=}
sen
2
t
.
{\displaystyle \operatorname {sen} ^{2}t.}
Identidades de suma y diferencia de ángulos
Pueden demostrarse según la Fórmula de Euler o mediante la proyección de ángulos consecutivos. La identidad de la tangente surge del cociente entre coseno y seno, y las restantes de la recíproca correspondiente.
Las siguientes demostraciones son válidas sólo para valores de
α
,
β
∈
(
0
,
π
2
)
{\displaystyle \alpha ,\beta \in \left(0,{\frac {\pi }{2}}\right)}
pues las construcciones sobre las que se sostienen no se pueden construir para ángulos fuera de ese intervalo. Debajo hay una demostración para el caso general.
A continuación se presenta una demostración válida para cualquier ángulo a partir de las definiciones de seno y coseno de cualquier ángulo como parametrizaciones del círculo unidad . Como lemas, se demuestra también que
cos
(
−
x
)
=
cos
(
x
)
{\displaystyle \cos(-x)=\cos(x)}
,
sin
(
−
x
)
=
−
sin
(
x
)
{\displaystyle \sin(-x)=-\sin(x)}
y que
cos
(
π
2
−
x
)
=
sin
(
x
)
{\displaystyle \cos \left({\frac {\pi }{2}}-x\right)=\sin(x)}
.
Demostración para cualquier ángulo real.
Consideremos el círculo unidad
S
{\displaystyle S}
y los puntos
P
=
(
1
,
0
)
,
X
=
(
cos
x
,
sin
x
)
∈
S
{\displaystyle P=(1,0),X=(\cos x,\sin x)\in S}
para un cierto
x
∈
R
{\displaystyle x\in \mathbb {R} }
. El cuadrado de la longitud de la cuerda que une dichos puntos es, por definición de distancia euclídea,
d
(
P
,
X
)
2
=
(
1
−
cos
x
)
2
+
(
0
−
sin
x
)
2
=
1
−
2
cos
x
+
cos
2
x
+
sin
2
x
=
1
−
2
cos
x
+
1
=
2
−
2
cos
x
{\displaystyle \operatorname {d} (P,X)^{2}=(1-\cos x)^{2}+(0-\sin x)^{2}=1-2\cos x+\cos ^{2}x+\sin ^{2}x=1-2\cos x+1=2-2\cos x}
Ahora consideremos
x
,
y
∈
R
{\displaystyle x,y\in \mathbb {R} }
arbitrarios y los puntos
X
=
(
cos
x
,
sin
x
)
,
Y
=
(
cos
y
,
sin
y
)
∈
S
{\displaystyle X=(\cos x,\sin x),Y=(\cos y,\sin y)\in S}
. Calculamos el cuadrado de la longitud de la cuerda que los une de dos formas distintas:
(
a
)
{\displaystyle (a)}
Por definición de distancia euclídea:
d
(
X
,
Y
)
2
=
(
cos
y
−
cos
x
)
2
+
(
sin
y
−
sin
x
)
2
=
cos
2
y
+
cos
2
x
−
2
cos
y
cos
x
+
sin
2
y
+
sin
2
x
−
2
sin
y
sin
x
=
2
−
2
cos
y
cos
x
−
2
sin
y
sin
x
{\displaystyle \operatorname {d} (X,Y)^{2}=(\cos y-\cos x)^{2}+(\sin y-\sin x)^{2}=\cos ^{2}y+\cos ^{2}x-2\cos y\cos x+\sin ^{2}y+\sin ^{2}x-2\sin y\sin x=2-2\cos y\cos x-2\sin y\sin x}
(
b
)
{\displaystyle (b)}
Utilizando el caso particular descrito al principio de la demostración.
Hacemos la siguiente transformación en el plano: lo giramos alrededor del centro del círculo unidad
S
{\displaystyle S}
un ángulo de
−
y
{\displaystyle -y}
radianes, de forma que
Y
↦
P
=
(
1
,
0
)
{\displaystyle Y\mapsto P=(1,0)}
y
X
↦
X
′
:=
(
cos
(
x
−
y
)
,
sin
(
x
−
y
)
)
{\displaystyle X\mapsto X':=(\cos(x-y),\sin(x-y))}
. Como un giro mantiene invariantes las distancias en el plano, tenemos, por el caso descrito al inicio de la demostración, que
d
(
Y
,
X
)
2
=
d
(
P
,
X
′
)
2
=
2
−
2
cos
(
x
−
y
)
{\displaystyle \operatorname {d} (Y,X)^{2}=\operatorname {d} (P,X')^{2}=2-2\cos(x-y)}
Igualamos ahora las expresiones encontradas en
(
a
)
{\displaystyle (a)}
y
(
b
)
{\displaystyle (b)}
:
2
−
2
cos
(
x
−
y
)
=
(
a
)
d
(
Y
,
X
)
2
=
(
b
)
2
−
2
cos
y
cos
x
−
2
sin
y
sin
x
⇒
cos
(
x
−
y
)
=
cos
x
cos
y
+
sin
x
sin
y
{\displaystyle 2-2\cos(x-y){\overset {(a)}{=}}\operatorname {d} (Y,X)^{2}{\overset {(b)}{=}}2-2\cos y\cos x-2\sin y\sin x\Rightarrow \cos(x-y)=\cos x\cos y+\sin x\sin y}
.
Esto demuestra la fórmula para el coseno de la resta, a la que nos referiremos en adelante como
(
∗
)
{\displaystyle (*)}
. Las otras expresiones se deducen de esta, pero necesitamos los siguientes lemas:
Lema
(
1
)
:
cos
(
π
2
−
x
)
=
sin
x
∀
x
∈
R
{\displaystyle {\text{Lema }}(1):\cos \left({\frac {\pi }{2}}-x\right)=\sin x\quad \forall x\in \mathbb {R} }
Es consecuencia directa de evaluar
(
∗
)
{\displaystyle (*)}
en
x
=
π
2
{\displaystyle x={\frac {\pi }{2}}}
.
Lema
(
2
)
:
cos
(
−
x
)
=
cos
x
∀
x
∈
R
{\displaystyle {\text{Lema }}(2):\cos(-x)=\cos x\quad \forall x\in \mathbb {R} }
Es consecuencia directa de evaluar
(
∗
)
{\displaystyle (*)}
en
x
=
0
{\displaystyle x=0}
.
Lema
(
3
)
:
sin
(
−
x
)
=
−
sin
x
∀
x
∈
R
{\displaystyle {\text{Lema }}(3):\sin(-x)=-\sin x\quad \forall x\in \mathbb {R} }
Por
(
∗
)
{\displaystyle (*)}
y los dos lemas anteriores, tenemos que
sin
(
−
x
)
=
(
1
)
cos
(
π
2
−
(
−
x
)
)
=
cos
(
π
2
+
x
)
=
(
2
)
cos
(
−
(
π
2
+
x
)
)
=
cos
(
−
π
2
−
x
)
=
(
∗
)
cos
x
cos
(
−
π
2
)
+
sin
x
sin
(
−
π
2
)
=
−
sin
x
{\displaystyle \sin(-x){\overset {(1)}{=}}\cos \left({\frac {\pi }{2}}-(-x)\right)=\cos \left({\frac {\pi }{2}}+x\right){\overset {(2)}{=}}\cos \left(-\left({\frac {\pi }{2}}+x\right)\right)=\cos \left(-{\frac {\pi }{2}}-x\right){\overset {(*)}{=}}\cos x\cos \left(-{\frac {\pi }{2}}\right)+\sin x\sin \left(-{\frac {\pi }{2}}\right)=-\sin x}
Con estos lemas vemos el resto de fórmulas:
cos
(
x
+
y
)
=
cos
(
x
−
(
−
y
)
)
=
(
∗
)
cos
x
cos
(
−
y
)
+
sin
x
sin
(
−
y
)
=
(
2
)
,
(
3
)
cos
x
cos
y
−
sin
x
sin
y
{\displaystyle \cos(x+y)=\cos(x-(-y)){\overset {(*)}{=}}\cos x\cos(-y)+\sin x\sin(-y){\overset {(2),(3)}{=}}\cos x\cos y-\sin x\sin y}
sin
(
x
−
y
)
=
(
1
)
cos
(
π
2
+
y
−
x
)
=
(
∗
)
cos
(
π
2
+
y
)
cos
x
+
sin
(
π
2
+
y
)
sin
x
=
(
1
)
{\displaystyle \sin(x-y){\overset {(1)}{=}}\cos \left({\frac {\pi }{2}}+y-x\right){\overset {(*)}{=}}\cos \left({\frac {\pi }{2}}+y\right)\cos x+\sin \left({\frac {\pi }{2}}+y\right)\sin x{\overset {(1)}{=}}}
=
sin
(
−
y
)
cos
x
+
cos
(
π
2
−
π
2
−
y
)
sin
x
=
sin
(
−
y
)
cos
x
+
cos
(
−
y
)
sin
x
=
(
2
)
,
(
3
)
−
sin
y
cos
x
+
cos
y
sin
x
=
sin
x
cos
y
−
cos
x
sin
y
{\displaystyle =\sin(-y)\cos x+\cos \left({\frac {\pi }{2}}-{\frac {\pi }{2}}-y\right)\sin x=\sin(-y)\cos x+\cos(-y)\sin x{\overset {(2),(3)}{=}}-\sin y\cos x+\cos y\sin x=\sin x\cos y-\cos x\sin y}
sin
(
x
+
y
)
=
sin
(
x
−
(
−
y
)
)
=
sin
x
cos
(
−
y
)
−
cos
x
sin
(
−
y
)
=
(
2
)
,
(
3
)
sin
x
cos
y
+
cos
x
sin
y
{\displaystyle \sin(x+y)=\sin(x-(-y))=\sin x\cos(-y)-\cos x\sin(-y){\overset {(2),(3)}{=}}\sin x\cos y+\cos x\sin y}
Las fórmulas para la tangente se pueden deducir de las cuatro fórmulas anteriores de igual forma que en la demostración particular anterior.
◻
{\displaystyle \quad \square }
De lo que se sigue para determinados ángulos suplementarios :
sen
(
π
±
x
)
=
∓
sen
(
x
)
{\displaystyle \operatorname {sen}(\pi \pm x)=\mp \operatorname {sen}(x)}
cos
(
π
±
x
)
=
−
cos
(
x
)
{\displaystyle \cos(\pi \pm x)=-\cos(x)}
tg
(
π
±
x
)
=
±
tg
(
x
)
{\displaystyle \operatorname {tg} (\pi \pm x)=\pm \operatorname {tg} (x)}
csc
(
π
±
x
)
=
∓
csc
(
x
)
{\displaystyle \csc(\pi \pm x)=\mp \csc(x)}
Para ángulos complementarios :
sen
(
π
2
−
x
)
=
cos
(
x
)
{\displaystyle \operatorname {sen} \left({\frac {\pi }{2}}-x\right)=\cos(x)}
cos
(
π
2
−
x
)
=
sen
(
x
)
{\displaystyle \cos \left({\frac {\pi }{2}}-x\right)=\operatorname {sen}(x)}
tg
(
π
2
−
x
)
=
cot
(
x
)
{\displaystyle \operatorname {tg} \left({\frac {\pi }{2}}-x\right)=\cot(x)}
csc
(
π
2
−
x
)
=
sec
(
x
)
{\displaystyle \csc \left({\frac {\pi }{2}}-x\right)=\sec(x)}
sec
(
π
2
−
x
)
=
csc
(
x
)
{\displaystyle \sec \left({\frac {\pi }{2}}-x\right)=\csc(x)}
cot
(
π
2
−
x
)
=
tg
(
x
)
{\displaystyle \cot \left({\frac {\pi }{2}}-x\right)=\operatorname {tg} (x)}
Para ángulos opuestos:
sen
(
−
x
)
=
−
sen
(
x
)
{\displaystyle \operatorname {sen} \left(-x\right)=-\operatorname {sen} \left(x\right)}
cos
(
−
x
)
=
cos
(
x
)
{\displaystyle \cos \left(-x\right)=\cos \left(x\right)}
tg
(
−
x
)
=
−
tg
(
x
)
{\displaystyle \operatorname {tg} \left(-x\right)=-\operatorname {tg} \left(x\right)}
csc
(
−
x
)
=
−
csc
(
x
)
{\displaystyle \csc \left(-x\right)=-\csc \left(x\right)}
sec
(
−
x
)
=
sec
(
x
)
{\displaystyle \sec \left(-x\right)=\sec \left(x\right)}
cot
(
−
x
)
=
−
cot
(
x
)
{\displaystyle \cot \left(-x\right)=-\cot \left(x\right)}
Otras relaciones:
2
sen
(
π
4
±
x
)
=
2
cos
(
π
4
∓
x
)
=
cos
(
x
)
±
sen
(
x
)
{\displaystyle {\sqrt {2}}\operatorname {sen} \left({\frac {\pi }{4}}\pm x\right)={\sqrt {2}}\cos \left({\frac {\pi }{4}}\mp x\right)=\cos \left(x\right)\pm \operatorname {sen} \left(x\right)}
Identidades del ángulo múltiple
Si
T
n
{\displaystyle T_{n}}
es el
n
{\displaystyle n}
-ésimo polinomio de Chebyshev entonces
cos
(
n
x
)
=
T
n
(
cos
x
)
{\displaystyle \cos(nx)=T_{n}(\cos x)}
Fórmula de De Moivre :
cos
(
n
x
)
+
i
sen
(
n
x
)
=
(
cos
x
+
i
sen
x
)
n
{\displaystyle \cos(nx)+i\operatorname {sen}(nx)=(\cos x+i\operatorname {sen} x)^{n}}
Fórmulas del ángulo doble
Fórmulas para ángulos dobles.
sen
(
2
θ
)
=
2
sen
θ
cos
θ
cos
(
2
θ
)
=
cos
2
θ
−
sen
2
θ
=
2
cos
2
θ
−
1
=
1
−
2
sen
2
θ
tg
(
2
θ
)
=
2
tg
θ
1
−
tg
2
θ
cot
(
2
θ
)
=
cot
2
θ
−
1
2
cot
θ
sec
(
2
θ
)
=
s
e
c
2
θ
2
−
sec
2
θ
csc
(
2
θ
)
=
sec
θ
csc
θ
2
{\displaystyle {\begin{aligned}\operatorname {sen}(2\theta )&=2\operatorname {sen} \theta \cos \theta \\\cos(2\theta )&=\cos ^{2}\theta -\operatorname {sen} ^{2}\theta =2\cos ^{2}\theta -1=1-2\operatorname {sen} ^{2}\theta \\\operatorname {tg} (2\theta )&={\frac {2\operatorname {tg} \theta }{1-\operatorname {tg} ^{2}\theta }}\\\cot(2\theta )&={\frac {\cot ^{2}\theta -1}{2\cot \theta }}\\\sec(2\theta )&={\frac {sec^{2}\theta }{2-\sec ^{2}\theta }}\\\csc(2\theta )&={\frac {\sec \theta \csc \theta }{2}}\end{aligned}}}
Fórmulas del ángulo triple
Fórmulas para ángulos triples.
sen
(
3
θ
)
=
3
sen
θ
−
4
sen
3
θ
=
4
sen
θ
sen
(
π
3
−
θ
)
sen
(
π
3
+
θ
)
cos
(
3
θ
)
=
4
cos
3
θ
−
3
cos
θ
=
4
cos
θ
cos
(
π
3
−
θ
)
cos
(
π
3
+
θ
)
tg
(
3
θ
)
=
3
tg
θ
−
tg
3
θ
1
−
3
tg
2
θ
cot
(
3
θ
)
=
3
cot
θ
−
cot
3
θ
1
−
3
cot
2
θ
sec
(
3
θ
)
=
sec
3
θ
4
−
3
sec
2
θ
csc
(
3
θ
)
=
csc
3
θ
3
csc
2
θ
−
4
{\displaystyle {\begin{aligned}\operatorname {sen}(3\theta )&=3\operatorname {sen} \theta -4\operatorname {sen} ^{3}\theta =4\operatorname {sen} \theta \operatorname {sen} \left({\frac {\pi }{3}}-\theta \right)\operatorname {sen} \left({\frac {\pi }{3}}+\theta \right)\\\cos(3\theta )&=4\cos ^{3}\theta -3\cos \theta =4\cos \theta \cos \left({\frac {\pi }{3}}-\theta \right)\cos \left({\frac {\pi }{3}}+\theta \right)\\\operatorname {tg} (3\theta )&={\frac {3\operatorname {tg} \theta -\operatorname {tg} ^{3}\theta }{1-3\operatorname {tg} ^{2}\theta }}\\\cot(3\theta )&={\frac {3\cot \theta -\cot ^{3}\theta }{1-3\cot ^{2}\theta }}\\\sec(3\theta )&={\frac {\sec ^{3}\theta }{4-3\sec ^{2}\theta }}\\\csc(3\theta )&={\frac {\csc ^{3}\theta }{3\csc ^{2}\theta -4}}\end{aligned}}}
Fórmulas del ángulo mitad
sen
θ
2
=
±
1
−
cos
θ
2
cos
θ
2
=
±
1
+
cos
θ
2
tg
θ
2
=
csc
θ
−
cot
θ
=
±
1
−
cos
θ
1
+
cos
θ
=
sen
θ
1
+
cos
θ
=
1
−
cos
θ
sen
θ
=
−
1
±
1
+
tg
2
θ
tg
θ
=
tg
θ
1
+
sec
θ
cot
θ
2
=
csc
θ
+
cot
θ
=
±
1
+
cos
θ
1
−
cos
θ
=
sen
θ
1
−
cos
θ
=
1
+
cos
θ
sen
θ
{\displaystyle {\begin{aligned}\operatorname {sen} {\frac {\theta }{2}}&=\pm {\sqrt {\frac {1-\cos \theta }{2}}}\\\cos {\frac {\theta }{2}}&=\pm {\sqrt {\frac {1+\cos \theta }{2}}}\\\operatorname {tg} {\frac {\theta }{2}}&=\csc \theta -\cot \theta =\pm {\sqrt {\frac {1-\cos \theta }{1+\cos \theta }}}={\frac {\operatorname {sen} \theta }{1+\cos \theta }}\\&={\frac {1-\cos \theta }{\operatorname {sen} \theta }}={\frac {-1\pm {\sqrt {1+\operatorname {tg} ^{2}\theta }}}{\operatorname {tg} \theta }}={\frac {\operatorname {tg} \theta }{1+\sec \theta }}\\\cot {\frac {\theta }{2}}&=\csc \theta +\cot \theta =\pm {\sqrt {\frac {1+\cos \theta }{1-\cos \theta }}}={\frac {\operatorname {sen} \theta }{1-\cos \theta }}={\frac {1+\cos \theta }{\operatorname {sen} \theta }}\end{aligned}}}
Además
tg
β
±
θ
2
=
sen
β
±
sen
θ
cos
β
+
cos
θ
tg
(
θ
2
+
π
4
)
=
sec
θ
+
tg
θ
1
−
sen
θ
1
+
sen
θ
=
|
1
−
tg
θ
2
|
1
+
tg
θ
2
{\displaystyle {\begin{aligned}\operatorname {tg} {\frac {\beta \pm \theta }{2}}&={\frac {\operatorname {sen} \beta \pm \operatorname {sen} \theta }{\cos \beta +\cos \theta }}\\\operatorname {tg} \left({\frac {\theta }{2}}+{\frac {\pi }{4}}\right)&=\sec \theta +\operatorname {tg} \theta \\{\sqrt {\frac {1-\operatorname {sen} \theta }{1+\operatorname {sen} \theta }}}&={\frac {|1-\operatorname {tg} {\frac {\theta }{2}}|}{1+\operatorname {tg} {\frac {\theta }{2}}}}\end{aligned}}}
Tabla
Estas identidades pueden ser demostradas utilizando las identidades de la suma y diferencia o las fórmulas para ángulos múltiples.
Fórmulas del ángulo doble
sen
2
θ
=
2
sen
θ
cos
θ
=
2
tg
θ
1
+
tg
2
θ
{\displaystyle {\begin{aligned}\operatorname {sen} 2\theta &=2\operatorname {sen} \theta \cos \theta \ \\&={\frac {2\operatorname {tg} \theta }{1+\operatorname {tg} ^{2}\theta }}\end{aligned}}}
cos
2
θ
=
cos
2
θ
−
sen
2
θ
=
2
cos
2
θ
−
1
=
1
−
2
sen
2
θ
=
1
−
tg
2
θ
1
+
tg
2
θ
{\displaystyle {\begin{aligned}\cos 2\theta &=\cos ^{2}\theta -\operatorname {sen} ^{2}\theta \\&=2\cos ^{2}\theta -1\\&=1-2\operatorname {sen} ^{2}\theta \\&={\frac {1-\operatorname {tg} ^{2}\theta }{1+\operatorname {tg} ^{2}\theta }}\end{aligned}}}
tg
2
θ
=
2
tg
θ
1
−
tg
2
θ
{\displaystyle \operatorname {tg} 2\theta ={\frac {2\operatorname {tg} \theta }{1-\operatorname {tg} ^{2}\theta }}\,}
cot
2
θ
=
cot
θ
−
tg
θ
2
{\displaystyle \cot 2\theta ={\frac {\cot \theta -\operatorname {tg} \theta }{2}}\,}
Fórmulas del ángulo triple
sen
3
θ
=
3
sen
θ
−
4
sen
3
θ
{\displaystyle \operatorname {sen} 3\theta =3\operatorname {sen} \theta -4\operatorname {sen} ^{3}\theta \,}
cos
3
θ
=
4
cos
3
θ
−
3
cos
θ
{\displaystyle \cos 3\theta =4\cos ^{3}\theta -3\cos \theta \,}
tg
3
θ
=
3
tg
θ
−
tg
3
θ
1
−
3
tg
2
θ
{\displaystyle \operatorname {tg} 3\theta ={\frac {3\operatorname {tg} \theta -\operatorname {tg} ^{3}\theta }{1-3\operatorname {tg} ^{2}\theta }}}
cot
3
θ
=
3
cot
θ
−
cot
3
θ
1
−
3
cot
2
θ
{\displaystyle \cot 3\theta ={\frac {3\cot \theta -\cot ^{3}\theta }{1-3\cot ^{2}\theta }}}
Fórmulas del ángulo mitad
sen
θ
2
=
±
1
−
cos
θ
2
{\displaystyle \operatorname {sen} {\tfrac {\theta }{2}}=\pm \,{\sqrt {\frac {1-\cos \theta }{2}}}}
cos
θ
2
=
±
1
+
cos
θ
2
{\displaystyle \cos {\tfrac {\theta }{2}}=\pm \,{\sqrt {\frac {1+\cos \theta }{2}}}}
tg
θ
2
=
csc
θ
−
cot
θ
=
±
1
−
cos
θ
1
+
cos
θ
=
sen
θ
1
+
cos
θ
=
1
−
cos
θ
sen
θ
{\displaystyle {\begin{aligned}\operatorname {tg} {\tfrac {\theta }{2}}&=\csc \theta -\cot \theta \\&=\pm \,{\sqrt {1-\cos \theta \over 1+\cos \theta }}\\&={\frac {\operatorname {sen} \theta }{1+\cos \theta }}\\&={\frac {1-\cos \theta }{\operatorname {sen} \theta }}\end{aligned}}}
cot
θ
2
=
csc
θ
+
cot
θ
=
±
1
+
cos
θ
1
−
cos
θ
=
sen
θ
1
−
cos
θ
=
1
+
cos
θ
sen
θ
{\displaystyle {\begin{aligned}\cot {\tfrac {\theta }{2}}&=\csc \theta +\cot \theta \\&=\pm \,{\sqrt {1+\cos \theta \over 1-\cos \theta }}\\&={\frac {\operatorname {sen} \theta }{1-\cos \theta }}\\&={\frac {1+\cos \theta }{\operatorname {sen} \theta }}\end{aligned}}}
Producto infinito de Leonhard Euler
cos
(
θ
2
)
⋅
cos
(
θ
4
)
⋅
cos
(
θ
8
)
⋯
=
∏
n
=
1
∞
cos
(
θ
2
n
)
=
sen
(
θ
)
θ
{\displaystyle \cos \left({\theta \over 2}\right)\cdot \cos \left({\theta \over 4}\right)\cdot \cos \left({\theta \over 8}\right)\cdots =\prod _{n=1}^{\infty }\cos \left({\theta \over 2^{n}}\right)={\operatorname {sen}(\theta ) \over \theta }}
Fórmulas de reducción de potencias
Se obtienen al resolver la segunda y la tercera versiones de las fórmulas del coseno del ángulo doble.
Seno
sen
2
θ
=
1
−
cos
2
θ
2
{\displaystyle \operatorname {sen} ^{2}\theta ={\frac {1-\cos 2\theta }{2}}}
sen
3
θ
=
3
sen
θ
−
sen
3
θ
4
{\displaystyle \operatorname {sen} ^{3}\theta ={\frac {3\operatorname {sen} \theta -\operatorname {sen} 3\theta }{4}}}
sen
4
θ
=
3
−
4
cos
2
θ
+
cos
4
θ
8
{\displaystyle \operatorname {sen} ^{4}\theta ={\frac {3-4\cos 2\theta +\cos 4\theta }{8}}}
sen
5
θ
=
10
sen
θ
−
5
sen
3
θ
+
sen
5
θ
16
{\displaystyle \operatorname {sen} ^{5}\theta ={\frac {10\operatorname {sen} \theta -5\operatorname {sen} 3\theta +\operatorname {sen} 5\theta }{16}}}
Coseno
cos
2
θ
=
1
+
cos
2
θ
2
{\displaystyle \cos ^{2}\theta ={\frac {1+\cos 2\theta }{2}}}
cos
3
θ
=
3
cos
θ
+
cos
3
θ
4
{\displaystyle \cos ^{3}\theta ={\frac {3\cos \theta +\cos 3\theta }{4}}}
cos
4
θ
=
3
+
4
cos
2
θ
+
cos
4
θ
8
{\displaystyle \cos ^{4}\theta ={\frac {3+4\cos 2\theta +\cos 4\theta }{8}}}
cos
5
θ
=
10
cos
θ
+
5
cos
3
θ
+
cos
5
θ
16
{\displaystyle \cos ^{5}\theta ={\frac {10\cos \theta +5\cos 3\theta +\cos 5\theta }{16}}}
Otros
sen
2
θ
cos
2
θ
=
1
−
cos
4
θ
8
=
sen
2
2
θ
4
{\displaystyle {\begin{aligned}\operatorname {sen} ^{2}\theta \cos ^{2}\theta ={\frac {1-\cos 4\theta }{8}}\ \\={\frac {\operatorname {sen} ^{2}2\theta }{4}}\end{aligned}}}
sen
3
θ
cos
3
θ
=
sen
3
2
θ
8
{\displaystyle \operatorname {sen} ^{3}\theta \cos ^{3}\theta ={\frac {\operatorname {sen} ^{3}2\theta }{8}}}
sen
4
θ
cos
4
θ
=
3
−
4
cos
4
θ
+
cos
8
θ
128
=
sen
4
2
θ
16
{\displaystyle {\begin{aligned}\operatorname {sen} ^{4}\theta \cos ^{4}\theta ={\frac {3-4\cos 4\theta +\cos 8\theta }{128}}\ \\={\frac {\operatorname {sen} ^{4}2\theta }{16}}\end{aligned}}}
sen
5
θ
cos
5
θ
=
sen
5
2
θ
32
{\displaystyle \operatorname {sen} ^{5}\theta \cos ^{5}\theta ={\frac {\operatorname {sen} ^{5}2\theta }{32}}}
Y en términos generales de potencias de
sen
θ
{\displaystyle \operatorname {sen} \theta }
o
cos
θ
{\displaystyle \cos \theta }
, las siguientes identidades son ciertas y pueden ser obtenidas utilizando la fórmula de De Moivre , la fórmula de Euler y el teorema del binomio .
Para
n
{\displaystyle n}
impar
cos
n
θ
=
2
2
n
∑
k
=
0
n
−
1
2
(
n
k
)
cos
(
(
n
−
2
k
)
θ
)
sen
n
θ
=
2
2
n
∑
k
=
0
n
−
1
2
(
−
1
)
(
n
−
1
2
−
k
)
(
n
k
)
sen
(
(
n
−
2
k
)
θ
)
{\displaystyle {\begin{aligned}\cos ^{n}\theta &={\frac {2}{2^{n}}}\sum _{k=0}^{\frac {n-1}{2}}{\binom {n}{k}}\cos((n-2k)\theta )\\\operatorname {sen} ^{n}\theta &={\frac {2}{2^{n}}}\sum _{k=0}^{\frac {n-1}{2}}(-1)^{\left({\frac {n-1}{2}}-k\right)}{\binom {n}{k}}\operatorname {sen}((n-2k)\theta )\end{aligned}}}
Para
n
{\displaystyle n}
par
cos
n
θ
=
1
2
n
(
n
n
2
)
+
2
2
n
∑
k
=
0
n
2
−
1
(
n
k
)
cos
(
(
n
−
2
k
)
θ
)
sen
n
θ
=
1
2
n
(
n
n
2
)
+
2
2
n
∑
k
=
0
n
2
−
1
(
−
1
)
(
n
2
−
k
)
(
n
k
)
cos
(
(
n
−
2
k
)
θ
)
{\displaystyle {\begin{aligned}\cos ^{n}\theta &={\frac {1}{2^{n}}}{\binom {n}{\frac {n}{2}}}+{\frac {2}{2^{n}}}\sum _{k=0}^{{\frac {n}{2}}-1}{\binom {n}{k}}\cos((n-2k)\theta )\\\operatorname {sen} ^{n}\theta &={\frac {1}{2^{n}}}{\binom {n}{\frac {n}{2}}}+{\frac {2}{2^{n}}}\sum _{k=0}^{{\frac {n}{2}}-1}(-1)^{\left({\frac {n}{2}}-k\right)}{\binom {n}{k}}\cos((n-2k)\theta )\end{aligned}}}
Paso de producto a suma
Puede probarse usando el teorema de la suma para desarrollar los segundos miembros.
sen
x
sen
y
=
cos
(
x
−
y
)
−
cos
(
x
+
y
)
2
{\displaystyle \operatorname {sen} x\operatorname {sen} y={\cos(x-y)-\cos(x+y) \over 2}}
cos
x
cos
y
=
cos
(
x
+
y
)
+
cos
(
x
−
y
)
2
{\displaystyle \cos x\cos y={\cos(x+y)+\cos(x-y) \over 2}}
sen
x
cos
y
=
sen
(
x
+
y
)
+
sen
(
x
−
y
)
2
{\displaystyle \operatorname {sen} x\cos y={\operatorname {sen}(x+y)+\operatorname {sen}(x-y) \over 2}}
cos
x
sen
y
=
sen
(
x
+
y
)
−
sen
(
x
−
y
)
2
{\displaystyle \cos x\operatorname {sen} y={\operatorname {sen}(x+y)-\operatorname {sen}(x-y) \over 2}}
Demostración
cos
(
x
)
cos
(
y
)
=
cos
(
x
+
y
)
+
cos
(
x
−
y
)
2
{\displaystyle \cos(x)\cos(y)={\cos(x+y)+\cos(x-y) \over 2}}
Sabemos por el teorema de la suma y la resta que:
cos
(
x
±
y
)
=
cos
(
x
)
cos
(
y
)
∓
sen
(
x
)
sen
(
y
)
{\displaystyle \cos(x\pm y)=\cos(x)\cos(y)\mp \operatorname {sen}(x)\operatorname {sen}(y)}
Si separamos la suma de la resta quedan entonces los dos posibles casos:
1):
cos
(
x
+
y
)
=
cos
(
x
)
cos
(
y
)
−
sen
(
x
)
sen
(
y
)
{\displaystyle \cos(x+y)=\cos(x)\cos(y)-\operatorname {sen}(x)\operatorname {sen}(y)}
2):
cos
(
x
−
y
)
=
cos
(
x
)
cos
(
y
)
+
sen
(
x
)
sen
(
y
)
{\displaystyle \cos(x-y)=\cos(x)\cos(y)+\operatorname {sen}(x)\operatorname {sen}(y)}
Si tomamos la ecuación 1) y despejamos cos(x)cos(y) nos queda que:
3):
cos
(
x
)
cos
(
y
)
=
cos
(
x
+
y
)
+
sen
(
x
)
sen
(
y
)
{\displaystyle \cos(x)\cos(y)=\cos(x+y)+\operatorname {sen}(x)\operatorname {sen}(y)}
Y si sumamos el miembro de la derecha de la ecuación 2) al miembro izquierdo de la ecuación 3), y para mantener la igualdad se suma el lado izquierdo de la ecuación 2) en el lado derecho de la ecuación 3) (al sumar la misma cantidad a ambos miembros de la ecuación la nueva ecuación sigue siendo cierta), quedaría:
cos
(
x
)
cos
(
y
)
+
sen
(
x
)
sen
(
y
)
+
cos
(
x
)
cos
(
y
)
=
cos
(
x
+
y
)
+
sen
(
x
)
sen
(
y
)
+
cos
(
x
−
y
)
{\displaystyle \cos(x)\cos(y)+\operatorname {sen}(x)\operatorname {sen}(y)+\cos(x)\cos(y)=\cos(x+y)+\operatorname {sen}(x)\operatorname {sen}(y)+\cos(x-y)}
Simplificando el elemento sen(x)sen(y) y sumando cos(x)cos(y) quedaría:
2
cos
(
x
)
cos
(
y
)
=
cos
(
x
+
y
)
+
cos
(
x
−
y
)
{\displaystyle 2\cos(x)\cos(y)=\cos(x+y)+\cos(x-y)}
Y por último multiplicando ambos lados de la ecuación por ½ queda:
cos
(
x
)
cos
(
y
)
=
cos
(
x
+
y
)
+
cos
(
x
−
y
)
2
{\displaystyle \cos(x)\cos(y)={\cos(x+y)+\cos(x-y) \over 2}}
Nota 1: este procedimiento también se puede aplicar para demostrar el origen de las otras dos ecuaciones simplemente cambiando los valores.
Nota 2: Usando 3) y el resultado anterior se obtiene también:
sen
(
x
)
sen
(
y
)
=
cos
(
x
−
y
)
−
cos
(
x
+
y
)
2
{\displaystyle \operatorname {sen}(x)\operatorname {sen}(y)={\cos(x-y)-\cos(x+y) \over 2}}
Notar el cambio de signo.
Paso de suma a producto
sen
a
+
sen
b
=
2
sen
(
a
+
b
2
)
cos
(
a
−
b
2
)
{\displaystyle \operatorname {sen} a+\operatorname {sen} b=\;\;\;2\operatorname {sen} \left({\frac {a+b}{2}}\right)\cos \left({\frac {a-b}{2}}\right)}
sen
a
−
sen
b
=
2
cos
(
a
+
b
2
)
sen
(
a
−
b
2
)
{\displaystyle \operatorname {sen} a-\operatorname {sen} b=\;\;\;2\cos \left({\frac {a+b}{2}}\right)\operatorname {sen} \left({\frac {a-b}{2}}\right)}
cos
a
+
cos
b
=
2
cos
(
a
+
b
2
)
cos
(
a
−
b
2
)
{\displaystyle \cos a+\cos b=\;\;\;2\cos \left({\frac {a+b}{2}}\right)\cos \left({\frac {a-b}{2}}\right)}
cos
a
−
cos
b
=
−
2
sen
(
a
+
b
2
)
sen
(
a
−
b
2
)
{\displaystyle \cos a-\cos b=-2\operatorname {sen} \left({\frac {a+b}{2}}\right)\operatorname {sen} \left({\frac {a-b}{2}}\right)}
tg
a
±
tg
b
=
sen
(
a
±
b
)
cos
a
cos
b
{\displaystyle \operatorname {tg} a\pm \operatorname {tg} b={\frac {\operatorname {sen}(a\pm b)}{\cos a\cos b}}}
Reemplazando x por (a + b ) / 2 e "y por (a – b ) / 2 en las identidades de producto a suma, se tiene:
Paso de diferencia de cuadrados a producto
Paso de senos y cosenos a tangentes
A veces es necesario transformar funciones de seno y coseno para poderlas sumar libremente, en estos casos es posible expresar senos y cosenos en tangentes.
|
sen
(
x
)
|
=
|
tg
(
x
)
|
1
+
tg
2
(
x
)
{\displaystyle |\operatorname {sen} {(x)}|={\frac {|\operatorname {tg} {(x)}|}{\sqrt {1+\operatorname {tg} ^{2}{(x)}}}}}
sen
(
x
)
=
2
sen
(
x
2
)
cos
(
x
2
)
=
2
tg
(
1
2
x
)
1
+
tg
2
(
1
2
x
)
{\displaystyle \operatorname {sen} {\left(x\right)}={2}\operatorname {sen} {\left({\frac {x}{2}}\right)}\cos {\left({\frac {x}{2}}\right)}={\frac {2\operatorname {tg} {\left({\frac {1}{2}}x\right)}}{1+\operatorname {tg} ^{2}{\left({\frac {1}{2}}x\right)}}}}
cos
(
x
)
=
2
cos
2
(
x
2
)
−
1
=
1
−
tg
2
(
1
2
x
)
1
+
tg
2
(
1
2
x
)
{\displaystyle \cos {\left(x\right)}=2\cos ^{2}{\left({\frac {x}{2}}\right)}-1={\frac {1-\operatorname {tg} ^{2}{\left({\frac {1}{2}}x\right)}}{1+\operatorname {tg} ^{2}{\left({\frac {1}{2}}x\right)}}}}
|
cos
(
x
)
|
=
1
1
+
tg
2
(
x
)
{\displaystyle |\cos {\left(x\right)}|={\frac {1}{\sqrt {1+\operatorname {tg} ^{2}{\left(x\right)}}}}}
Funciones trigonométricas inversas
arctg
(
x
)
+
arctg
(
1
/
x
)
=
{
π
/
2
,
si
x
>
0
−
π
/
2
,
si
x
<
0
{\displaystyle \operatorname {arctg} (x)+\operatorname {arctg} (1/x)=\left\{{\begin{matrix}\pi /2,&{\mbox{si }}x>0\\-\pi /2,&{\mbox{si }}x<0\end{matrix}}\right.}
arctg
(
x
)
+
arctg
(
y
)
=
arctg
(
x
+
y
1
−
x
y
)
{\displaystyle \operatorname {arctg} (x)+\operatorname {arctg} (y)=\operatorname {arctg} \left({\frac {x+y}{1-xy}}\right)}
Composición de funciones trigonométricas
Los resultados de hacer la composición entre funciones trigonométricas con funciones trigonométricas inversas son los siguientes:
sen
(
arcsen
x
)
=
x
cos
(
arcsen
x
)
=
1
−
x
2
tg
(
arcsen
x
)
=
x
1
−
x
2
sen
(
arccos
x
)
=
1
−
x
2
cos
(
arccos
x
)
=
x
tg
(
arccos
x
)
=
1
−
x
2
x
sen
(
arctg
x
)
=
x
1
+
x
2
cos
(
arctg
x
)
=
1
1
+
x
2
tg
(
arctg
x
)
=
x
sen
(
arccsc
x
)
=
1
x
cos
(
arccsc
x
)
=
x
2
−
1
x
tg
(
arccsc
x
)
=
1
x
2
−
1
sen
(
arcsec
x
)
=
x
2
−
1
x
cos
(
arcsec
x
)
=
1
x
tg
(
arcsec
x
)
=
x
2
−
1
sen
(
arccot
x
)
=
1
1
+
x
2
cos
(
arccot
x
)
=
x
1
+
x
2
tg
(
arccot
x
)
=
1
x
{\displaystyle {\begin{aligned}\operatorname {sen}(\operatorname {arcsen} x)&=x&\cos(\operatorname {arcsen} x)&={\sqrt {1-x^{2}}}&\operatorname {tg} (\operatorname {arcsen} x)&={\frac {x}{\sqrt {1-x^{2}}}}\\\operatorname {sen}(\arccos x)&={\sqrt {1-x^{2}}}&\cos(\arccos x)&=x&\operatorname {tg} (\arccos x)&={\frac {\sqrt {1-x^{2}}}{x}}\\\operatorname {sen}(\operatorname {arctg} x)&={\frac {x}{\sqrt {1+x^{2}}}}&\cos(\operatorname {arctg} x)&={\frac {1}{\sqrt {1+x^{2}}}}&\operatorname {tg} (\operatorname {arctg} x)&=x\\\operatorname {sen}(\operatorname {arccsc} x)&={\frac {1}{x}}&\cos(\operatorname {arccsc} x)&={\frac {\sqrt {x^{2}-1}}{x}}&\operatorname {tg} (\operatorname {arccsc} x)&={\frac {1}{\sqrt {x^{2}-1}}}\\\operatorname {sen}(\operatorname {arcsec} x)&={\frac {\sqrt {x^{2}-1}}{x}}&\cos(\operatorname {arcsec} x)&={\frac {1}{x}}&\operatorname {tg} (\operatorname {arcsec} x)&={\sqrt {x^{2}-1}}\\\operatorname {sen}(\operatorname {arccot} x)&={\frac {1}{\sqrt {1+x^{2}}}}&\cos(\operatorname {arccot} x)&={\frac {x}{\sqrt {1+x^{2}}}}&\operatorname {tg} (\operatorname {arccot} x)&={\frac {1}{x}}\end{aligned}}}
Fórmulas de productos infinitos
Las siguientes fórmulas de productos infinitos para funciones trigonométricas pueden ser útiles:
sen
x
=
x
∏
n
=
1
∞
(
1
−
x
2
π
2
n
2
)
cos
x
=
∏
n
=
1
∞
(
1
−
x
2
π
2
(
n
−
1
2
)
2
)
senh
x
=
x
∏
n
=
1
∞
(
1
+
x
2
π
2
n
2
)
cosh
x
=
∏
n
=
1
∞
(
1
+
x
2
π
2
(
n
−
1
2
)
2
)
{\displaystyle {\begin{aligned}\operatorname {sen} x&=x\prod _{n=1}^{\infty }\left(1-{\frac {x^{2}}{\pi ^{2}n^{2}}}\right)\\\cos x&=\prod _{n=1}^{\infty }\left(1-{\frac {x^{2}}{\pi ^{2}\left(n-{\frac {1}{2}}\right)^{2}}}\right)\\\operatorname {senh} x&=x\prod _{n=1}^{\infty }\left(1+{\frac {x^{2}}{\pi ^{2}n^{2}}}\right)\\\operatorname {cosh} x&=\prod _{n=1}^{\infty }\left(1+{\frac {x^{2}}{\pi ^{2}\left(n-{\frac {1}{2}}\right)^{2}}}\right)\end{aligned}}}
Fórmula de Euler
e
+
i
x
=
cos
(
x
)
+
i
sen
(
x
)
{\displaystyle e^{+\mathrm {i} x}=\cos {\left(x\right)}+\mathrm {i} \operatorname {sen} {\left(x\right)}}
e
−
i
x
=
cos
(
x
)
−
i
sen
(
x
)
{\displaystyle e^{-\mathrm {i} x}=\cos {\left(x\right)}-\mathrm {i} \operatorname {sen} {\left(x\right)}}
Teorema del coseno
Teorema del coseno
Dado un triángulo ABC, siendo α, β, γ, los ángulos, y a , b , c , los lados respectivamente opuestos a estos ángulos entonces:
c
2
=
a
2
+
b
2
−
2
a
b
cos
γ
{\displaystyle c^{2}=a^{2}+b^{2}-2ab\cos \gamma \,}
Teorema del seno
En todo triángulo se da la siguiente relación entre la longitud de sus lados a, b y c y el seno de sus respectivos ángulos opuestos A, B y C
a
sen
(
A
)
=
b
sen
(
B
)
=
c
sen
(
C
)
{\displaystyle {\frac {a}{\operatorname {sen}(A)}}={\frac {b}{\operatorname {sen}(B)}}={\frac {c}{\operatorname {sen}(C)}}}
Aplicación
El teorema del seno es usado con frecuencia para resolver problemas en los que se conoce un lado del triángulo y dos ángulos y se desea encontrar las medidas de los otros lados para posteriormente identificar los valores de las funciones trigonométricas.
La mayor parte de funciones trigonométricas admiten una formulación en términos de números complejos, algunos ejemplos:
Función
Función inversa
sen
θ
=
e
i
θ
−
e
−
i
θ
2
i
{\displaystyle \operatorname {sen} \theta ={\frac {e^{i\theta }-e^{-i\theta }}{2i}}\,}
arcsen
x
=
−
i
ln
(
i
x
+
1
−
x
2
)
{\displaystyle \operatorname {arcsen} x=-i\ln \left(ix+{\sqrt {1-x^{2}}}\right)\,}
cos
θ
=
e
i
θ
+
e
−
i
θ
2
{\displaystyle \cos \theta ={\frac {e^{i\theta }+e^{-i\theta }}{2}}\,}
arccos
x
=
−
i
ln
(
x
+
x
2
−
1
)
{\displaystyle \arccos x=-i\ln \left(x+{\sqrt {x^{2}-1}}\right)\,}
tg
θ
=
e
i
θ
−
e
−
i
θ
i
(
e
i
θ
+
e
−
i
θ
)
{\displaystyle \operatorname {tg} \theta ={\frac {e^{i\theta }-e^{-i\theta }}{i(e^{i\theta }+e^{-i\theta })}}\,}
arctg
x
=
i
2
ln
(
i
+
x
i
−
x
)
{\displaystyle \operatorname {arctg} x={\frac {i}{2}}\ln \left({\frac {i+x}{i-x}}\right)\,}
csc
θ
=
2
i
e
i
θ
−
e
−
i
θ
{\displaystyle \csc \theta ={\frac {2i}{e^{i\theta }-e^{-i\theta }}}\,}
arccsc
x
=
−
i
ln
(
i
x
+
1
−
1
x
2
)
{\displaystyle \operatorname {arccsc} x=-i\ln \left({\tfrac {i}{x}}+{\sqrt {1-{\tfrac {1}{x^{2}}}}}\right)\,}
sec
θ
=
2
e
i
θ
+
e
−
i
θ
{\displaystyle \sec \theta ={\frac {2}{e^{i\theta }+e^{-i\theta }}}\,}
arcsec
x
=
−
i
ln
(
1
x
+
1
x
2
−
1
)
{\displaystyle \operatorname {arcsec} x=-i\ln \left({\tfrac {1}{x}}+{\sqrt {{\tfrac {1}{x^{2}}}-1}}\right)\,}
cot
θ
=
i
(
e
i
θ
+
e
−
i
θ
)
e
i
θ
−
e
−
i
θ
{\displaystyle \cot \theta ={\frac {i(e^{i\theta }+e^{-i\theta })}{e^{i\theta }-e^{-i\theta }}}\,}
arccot
x
=
i
2
ln
(
x
−
i
x
+
i
)
{\displaystyle \operatorname {arccot} x={\frac {i}{2}}\ln \left({\frac {x-i}{x+i}}\right)\,}
cis
θ
=
e
i
θ
{\displaystyle \operatorname {cis} \,\theta =e^{i\theta }\,}
arccis
x
=
ln
x
i
{\displaystyle \operatorname {arccis} \,x={\frac {\ln x}{i}}\,}
Véase también
Referencias
↑ V. Vodney y otros: Fórmulas matemáticas fundamentales , Editorial Euro-Omega, Madrid 1995, pág. 29
↑ Trigonometría (Segunda edición). Limusa(Noriega editores). ISBN 968-18-5617-1 . El recuadro se parece mucho pero el libro tiene un lapsus en la última casilla.
Bibliografía
Spiegel, M. & Abellanas, L.: "Fórmulas y tablas de matemática aplicada ", Ed. McGraw-Hill, 1988. ISBN 84-7615-197-7.
Enlaces externos