Ascorbígeno
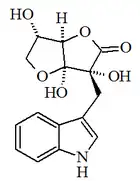
Los ascorbígenos son productos de condensación del triptófano con el ácido ascórbico. Todos son 3,3a,6-trihidroxi-3-(1H-indol-3-ilmetil)tetrahidrofuro[3,2-b]furan-2(3H)-onas. Los ascorbígenos A y B son apímeros y el neoascorbígeno es el derivado N metoxilado del ascorbígeno B. Estos compuestos han sido aislados de plantas de familias brassicaceae y salvadoraceae. Su actividad contribuye a las cualidades anticancerígenas de muchas especies de plantas de estas familias.[1]
| Nombre | Estructura | Fórmula molecular | CAS | Masa molecular (g/mol) | Estado | Fuente natural | Otras propiedades |
|---|---|---|---|---|---|---|---|
| Ascorbígeno A | ![]() |
C15H15NO6 | 26676-89-1 | 305.287 | Polvo amorfo PF = 65 °C | Aislado de col y otras crucíferas[2] | [α]25D = +11 (c, 2.0 en EtOH) |
| Ascorbígeno B | ![]() |
C15H15NO6 | 26548-49-2 | 305.287 | Polvo amorfo amarillo PF = 70 °C | Aislado de col, rábano y otras crucíferas[3] | [α]25D = +12.5 (c, 1.0 en EtOH) |
| Neoascorbígeno | ![]() |
C16H17NO7 | 331754-99-5 | 335.313 | Polvo | Aislado de varias especies de Brassica así como de Azima tetracantha y Thellungiella halophila[4] | [α]20D = +8 (c, 0.05 en EtOH) |


