Atmósfera

La atmósfera (alt. poco común, atmosfera;[1][2] del griego antiguo ἀτμός, atmós, «vapor» y σφαῖρα, sphaîra, «esfera») es la capa de gas de un cuerpo celeste. Los gases son atraídos por la gravedad del cuerpo, y se mantienen en él, si la gravedad es suficiente y no es barrida completamente por el viento solar.
Atmósfera terrestre
La altura de la atmósfera de la Tierra alcanza los 1 000 km, aunque más de la mitad de su masa se concentra en los primeros 6 km y el 75 % en los primeros 11 km de altura desde la superficie planetaria. La masa de la atmósfera es de 5,1 x 1018 kg.[3]
La atmósfera terrestre protege la vida de la Tierra. Absorbe en la capa de ozono parte de la radiación solar ultravioleta, reduce las diferencias de temperatura entre el día y la noche y actúa como escudo protector contra los meteoritos.[3]
Composición de la atmósfera

Casi la totalidad del aire (un 95 %) se encuentra a menos de 30 km de altura y más del 75 % en la troposfera. El aire forma en la troposfera una mezcla de gases bastante homogénea, hasta el punto de que su comportamiento es el equivalente al que tendría si estuviera compuesto por un solo gas.
Los elementos de los que principalmente se compone la atmósfera son:[4]
- Nitrógeno: Constituye el 78 % del volumen del aire. Está formado por moléculas que tienen dos átomos de nitrógeno, de manera que su fórmula es N2. Es un gas inerte, es decir, que no suele reaccionar con otras sustancias.
- Oxígeno: Representa el 21 % del volumen del aire. Está formado por moléculas de dos átomos de oxígeno y su fórmula es O2. Es un gas muy reactivo y la mayoría de los seres vivos lo necesita para vivir.
- Argón: Contribuye en 0,93 % al volumen del aire. Es un gas noble que no reacciona con ninguna sustancia.
- Dióxido de carbono: Está constituido por moléculas de un átomo de carbono y dos átomos de oxígeno, de modo que su fórmula es CO2. Representa el 0,04 % del volumen del aire y participa en procesos biológicos y climatológicos muy importantes. Las plantas lo necesitan para realizar la fotosíntesis, y es el residuo de la respiración y de las reacciones de combustión que se dan, por ejemplo, en un incendio forestal y en el motor de un auto.
- Ozono: Es un gas minoritario que se encuentra en la estratosfera. Su fórmula es O3, pues sus moléculas tienen tres átomos de oxígeno. Es de gran importancia para la vida en nuestro planeta, ya que su producción a partir del oxígeno atmosférico absorbe la mayor parte de los rayos ultravioleta procedentes del Sol.
- Vapor de agua: Se encuentra en cantidad muy variable y participa en la formación de nubes y de la niebla. Es uno de los gases causantes del efecto invernadero.
- Partículas sólidas y líquidas: En el aire se encuentran muchas partículas sólidas en suspensión, como por ejemplo, el polvo que levanta el viento y el polen. Estos materiales tienen una distribución muy variable dependiendo de los vientos y de la actividad humana. Entre los líquidos, la sustancia más importante es el agua en suspensión que se encuentra en las nubes.
Composición química
| Nitrógeno | 78.08% (N2)[5] |
| Oxígeno | 20.95% (O2) |
| Argón | 0.93 % v/v |
| CO2 | 400 ppmv |
| Neón | 18.2 ppmv |
| Hidrógeno | 5.5 ppmv |
| Helio | 5.24 ppmv |
| Metano | 1.72 ppmv |
| Kriptón | 1 ppmv |
| Óxido nitroso | 0.31 ppmv |
| Xenón | 0.08 ppmv |
| CO | 0.05 ppmv |
| Ozono | 0.03 – 0.02 ppmv (variable) |
| CFC | 0.3-0.2 ppbv (variable) |
| Vapor de agua | 1 % (variable) No computable para el aire seco. |
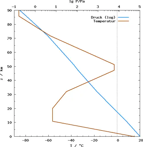
Capas de la atmósfera terrestre


Troposfera
Está situada desde la superficie hasta unos 10 o 12 km. Es la capa en la que se producen los movimientos horizontales y verticales del aire que son provocados por los vientos y otros fenómenos atmosféricos como las nubes, lluvias, cambios de temperatura. Su límite superior es la tropopausa.[6]
Estratosfera
Es la capa que se encuentra entre los 10 km y los 50 km de altura. Los gases se encuentran separados formando capas o estratos de acuerdo a su peso. Una de ellas es la capa de ozono que protege a la Tierra del exceso de rayos ultravioleta provenientes del Sol. Las cantidades de oxígeno y dióxido de carbono son casi nulas y aumenta la proporción de hidrógeno. Actúa como regulador de la temperatura; en su parte inferior está cerca de los –60 °C y aumenta con la altura hasta los 10 o 17 °C. Su límite superior es la estratopausa.
Mesosfera
En esta capa la temperatura disminuye hasta los –70 °C conforme aumenta su altitud. Se extiende desde la estratopausa (zona de contacto entre la estratosfera y la mesosfera) hasta una altura de unos 80 km, donde la temperatura vuelve a descender hasta unos –80 °C o –90 °C. Su límite superior es la mesopausa.
Termosfera
Es la capa que se encuentra entre los 90 y los 400 kilómetros de altura. En ella existen capas formadas por átomos cargados eléctricamente, llamados iones. Al ser una capa conductora de electricidad es la que posibilita las transmisiones de radio y televisión por su propiedad de reflejar las ondas electromagnéticas. El gas predominante es el nitrógeno. Su temperatura aumenta desde los –76 °C hasta llegar a 1500 °C. Su límite superior es la termopausa o ionopausa.
Exosfera
Es la capa en la que los gases poco a poco se dispersan hasta que la composición es similar a la del espacio exterior. Es la última capa de la atmósfera, se localiza por encima de la termosfera, aproximadamente a unos 580 km de altitud, en contacto con el espacio exterior, donde existe prácticamente el vacío. Es la región atmosférica más distante de la superficie terrestre. En esta capa la temperatura no varía y el aire pierde sus cualidades.
Su límite con el espacio llega en promedio a los 10 000 km, por lo que la exosfera está contenida en la magnetosfera (500-60 000 km), que representa el campo magnético de la Tierra. En esa región, hay un alto contenido de polvo cósmico que cae sobre la Tierra y que hace aumentar su peso en unas 20 000 toneladas. Es la zona de tránsito entre la atmósfera terrestre y el espacio interplanetario y en ella se localizan los satélites artificiales de órbita polar. En la exosfera, el concepto popular de temperatura desaparece, ya que la densidad del aire es casi despreciable; además contiene un flujo o bien llamado plasma, que es el que desde el exterior se le ve como los Cinturones de Van Allen. Aquí es el único lugar donde los gases pueden escapar ya que la influencia de la fuerza de la gravedad no es tan grande. En ella la ionización de las moléculas determina que la atracción del campo magnético terrestre sea mayor que la del gravitatorio (de ahí que también se la denomina magnetosfera). Por lo tanto, las moléculas de los gases más ligeros poseen una velocidad media que les permite escapar hacia el espacio interplanetario sin que la fuerza gravitatoria de la Tierra sea suficiente para retenerlas. Los gases que así se difunden en el vacío representan una pequeñísima parte de la atmósfera terrestre.
Los principales gases dentro de la exosfera son los gases más ligeros:
Atmósferas de los demás planetas del sistema solar
Venus

Venus posee una densa atmósfera. Su presión atmosférica equivale a 90 atmósferas terrestres (una presión equivalente a una profundidad de un kilómetro bajo el nivel del mar en la Tierra). Está compuesta principalmente por CO2 y una pequeña cantidad de monóxido de carbono, nitrógeno, ácido sulfúrico, argón y partículas de azufre. La enorme cantidad de CO2 de la atmósfera provoca un fuerte efecto invernadero que eleva la temperatura de la superficie del planeta hasta cerca de 460 °C. Esto hace que Venus sea más caliente que Mercurio.
La temperatura no varía de forma significativa entre el día y la noche. A pesar de la lenta rotación de Venus, los vientos de la atmósfera superior circunvalan el planeta en tan solo cuatro días, alcanzan velocidades de 360 km/h y distribuyen eficazmente el calor. Además del movimiento zonal de la atmósfera de oeste a este, hay un movimiento vertical en forma de célula de Hadley que transporta el calor del ecuador hasta las zonas polares e incluso a latitudes medias del lado no iluminado del planeta.
La radiación solar casi no alcanza la superficie del planeta. La densa capa de nubes refleja al espacio la mayor parte de la luz del Sol y gran parte de la luz que atraviesa las nubes es absorbida por la atmósfera.
Marte

La atmósfera de Marte es muy tenue, con una presión superficial de sólo 7 a 9 hPa frente a los 1013 hPa de la atmósfera terrestre, es decir, una centésima parte de la terrestre. La presión atmosférica varía considerablemente con la altitud, desde casi 9 hPa en las depresiones más profundas, hasta 1 hPa en la cima del Monte Olimpo. Está compuesta fundamentalmente de dióxido de carbono (95,3 %) con un 2,7 % de nitrógeno, un 1,6 % de argón y trazas de oxígeno molecular (0,15 %), monóxido de carbono (0,07 %) y vapor de agua (0,03 %).
La atmósfera es lo bastante densa como para albergar vientos y tormentas de polvo que, en ocasiones, pueden abarcar el planeta entero durante meses. Este viento es el responsable de la existencia de dunas de arena en los desiertos marcianos. La bóveda celeste marciana es de un suave color rosa salmón debido a la dispersión de la luz por los granos de polvo muy finos procedentes del suelo ferruginoso. A diferencia de la Tierra, ninguna capa de ozono bloquea la radiación ultravioleta. Hay nubes en mucha menor cantidad que en la Tierra y son de vapor de agua o de dióxido de carbono en latitudes polares.
La débil atmósfera marciana produce un pequeño efecto invernadero que aumenta la temperatura superficial unos cinco grados, mucho menos que lo observado en Venus y en la Tierra, que tienen más gases de efecto invernadero y por eso su temperatura es más cálida.
En las latitudes extremas, la condensación del dióxido de carbono forma nubes de cristales de nieve carbónica.
Atmósferas de los gigantes gaseosos del sistema solar
Júpiter

La atmósfera de Júpiter se extiende hasta grandes profundidades, donde la enorme presión comprime el hidrógeno molecular hasta que se transforma en un líquido de carácter metálico a profundidades de unos 10 000 km. Más abajo se sospecha la existencia de un núcleo rocoso formado principalmente por materiales más densos.
En la parte alta de la atmósfera se observa una circulación atmosférica formada por bandas paralelas al ecuador, en la que puede encontrarse la Gran Mancha Roja, que es una tormenta con más de 300 años de antigüedad.
Se observan nubes de diferentes colores que refleja, que se forman a distintas alturas y con diferentes composiciones. Júpiter tiene un potente campo magnético que provoca auroras polares.
Saturno
La atmósfera de Saturno posee bandas oscuras y zonas claras similares a las de Júpiter, aunque la distinción entre ambas es mucho menos clara. Hay fuertes vientos en la dirección de los paralelos. En las capas altas se forman auroras por la interacción del campo magnético planetario con el viento solar.
Urano
El planeta Urano cuenta con una gruesa atmósfera formada por una mezcla de hidrógeno, helio y metano, que puede representar hasta un 15 % de la masa planetaria y que le da su color característico.
Neptuno
La atmósfera de Neptuno está formada por hidrógeno, helio y un pequeño porcentaje de gas metano, que le proporciona el color azul verdoso. Sus partículas están levemente más separadas de lo que deberían estar por causa de la temperatura, que es de –200 °C, semejante a la de Urano, que está ubicado más cerca del Sol, por lo que se estima que tiene una fuente interna de calor.
Caso único: la atmósfera de Titán

Titán es el único satélite conocido con una atmósfera densa. La atmósfera de Titán es más densa que la de la Tierra, con una presión en superficie de una vez y media la de nuestro planeta y con una capa nubosa opaca formada por aerosoles de hidrocarburos que oculta los rasgos de la superficie de Titán y le dan un color anaranjado. Al igual que en Venus, la atmósfera de Titán gira mucho más rápido que su superficie.
La atmósfera está compuesta en un 94 % de nitrógeno y es la única atmósfera rica en este elemento en el sistema solar aparte de nuestro propio planeta, con trazas de varios hidrocarburos que constituyen el resto (metano, etano y otros compuestos orgánicos).
La presión parcial del metano es del orden de 100 hPa y este gas cumple el papel del agua en la Tierra, ya que forma nubes en su atmósfera. Estas nubes causan tormentas de metano líquido en Titán que descargan precipitaciones importantes de metano que llegan a la superficie y producen, en total, unos 50 L/m² de precipitación anual.
Atmósferas muy tenues
La Luna
La Luna tiene una atmósfera insignificante, debido a la baja gravedad, incapaz de retener moléculas de gas en su superficie. La totalidad de su composición aún se desconoce. El programa Apolo identificó átomos de helio y argón, y más tarde (en 1988) observaciones desde la Tierra añadieron iones de sodio y potasio. La mayor parte de los gases en su superficie provienen de su interior.
Mercurio
La sonda Mariner 10 demostró que Mercurio, contrariamente a lo que se creía, tiene una atmósfera, muy tenue, constituida principalmente por helio, con trazas de argón, sodio, potasio, oxígeno y neón. La presión de la atmósfera parece ser solo una cienmilésima parte de la presión atmosférica en la superficie de la Tierra.
Los átomos de esta atmósfera son muchas veces arrancados de la superficie del planeta por el viento solar.
Ío
Ío tiene una fina atmósfera compuesta de dióxido de azufre y algunos otros gases. El gas procede de las erupciones volcánicas, pues a diferencia de los volcanes terrestres, los volcanes de Ío expulsan dióxido de azufre. Ío es el cuerpo del sistema solar con mayor actividad volcánica. La energía necesaria para mantener esta actividad proviene de la disipación a través de efectos de marea producidos por Júpiter, Europa y Ganímedes, dado que las tres lunas se encuentran en resonancia orbital (la resonancia de Laplace). Algunas de las erupciones de Ío emiten material a más de 300 km de altura. La baja gravedad del satélite permite que parte de este material sea permanentemente expulsado de la luna y se distribuye en un anillo de material que cubre su órbita.
Europa
Observaciones del Telescopio espacial Hubble indican que Europa tiene una atmósfera muy tenue (10−11 bares de presión en la superficie) compuesta de oxígeno. A diferencia del oxígeno de la atmósfera terrestre, el de la atmósfera de Europa es casi con toda seguridad de origen no biológico. Más probablemente se genera por la luz del sol y las partículas cargadas que chocan contra la superficie helada de Europa, produciendo vapor de agua que es posteriormente dividido en hidrógeno y oxígeno. El hidrógeno consigue escapar de la gravedad de Europa, pero no así el oxígeno.
Encélado
Instrumentos de la sonda Cassini han revelado la existencia en Encélado de una atmósfera de vapor de agua (aproximadamente 65 %) que se concentra sobre la región del polo sur, un área con muy pocos cráteres. Dado que las moléculas de la atmósfera de Encélado poseen una velocidad más alta que la de escape, se piensa que se escapa permanentemente al espacio y al mismo tiempo se restaura a través de la actividad geológica. Las partículas que escapan de la atmósfera de Encélado son la principal fuente del Anillo E que está en la órbita del satélite y tiene una anchura de 180 000 km.
Ariel
Es uno de los 27 satélites naturales de Urano. Su atmósfera está compuesta por amoníaco gaseoso y líquido en su superficie y compuesta por agua en el interior.
Tritón

Tritón tiene un diámetro algo inferior que el de la Luna terrestre y posee una tenue atmósfera de nitrógeno (99,9 %) con pequeñas cantidades de metano (0,01 %). La presión atmosférica tritoniana es de solo 14 microbares.
La sonda Voyager 2 consiguió observar una fina capa de nubes en una imagen que hizo del contorno de esta luna. Estas nubes se forman en los polos y están compuestas por hielo de nitrógeno; existe también niebla fotoquímica hasta una altura de 30 km que está compuesta por varios hidrocarburos semejantes a los encontrados en Titán, y que llega a la atmósfera expulsada por los géiseres. Se cree que los hidrocarburos contribuyen al aspecto rosado de la superficie.
Plutón
Plutón posee una atmósfera extremadamente tenue, formada por metano y monóxido de carbono, que se congela y cae a la superficie a medida que el planeta se aleja del Sol. Es esta evaporación y posterior congelamiento lo que causa las variaciones en el albedo del planeta, detectadas por medio de fotómetros fotoeléctricos en la década de 1950 (por Gerard Kuiper y otros). A medida que el planeta se aproxima al Sol, los cambios se hacen menores. Los cambios de albedo se repiten pero a la inversa a medida que el planeta se aleja del Sol rumbo a su afelio.
Sedna, Quaoar y Orcus
No se sabe con certeza la composición de su atmósfera aunque se cree que está compuesta por hidrógeno, metano y helio.
Variación de la presión con la altura
La variación con la altura de la presión atmosférica o de la densidad atmosférica es lo que se conoce como ley barométrica.
No es lo mismo la variación de la presión con la altura en un líquido como el océano que en un gas como la atmósfera y la razón estriba en que un líquido no es compresible y por tanto su densidad permanece constante. Así que en el océano rige la fórmula:
(1)
por lo que si la profundidad h se hace doble la presión también.
Para los gases ideales se cumple la ley de los gases perfectos:
- Ley de Boyle: "La densidad de un gas a temperatura constante es proporcional a la presión del gas."
Es decir:
(2)
ya que
(3)
- En condiciones normales es decir 0 °C de temperatura y 1 atmósfera de presión, un mol de gas ocupa 22,4 L así que:
donde M es la masa molecular. Para la atmósfera de la Tierra, 20 % de O2 y 80 % de N2, el peso molecular es:
por lo que
Para una presión de 0 °C y P atmósferas:
- Si la presión se mantiene constante ley de Charles: "la densidad es inversamente proporcional a la temperatura", es decir:
ya que:
Ley de la densidad
Combinando ambas llegamos a la ley de los gases perfectos:
así que:
Cálculo de la densidad atmosférica en la superficie de los planetas
Sabiendo que la constante R de los gases perfectos vale:
y que 1 atmósfera vale:
resulta:
| Planeta | Temp. (K) | Presión (atm) | Masa molecular M | Densidad (kg/m³) |
|---|---|---|---|---|
| Tierra | 288 | 1 | 28,96 | 1,225 |
| Venus | 738 | 92,8 | 44 | 67,42 |
| Titán | 95 | 1,48 | 28,6 | 5,43 |
| Marte | 215 | 0,0079 | 43,64 | 0,0195 |
Ley barométrica
En una atmósfera isoterma la presión varía con la altura según la ley:
donde M es la masa molecular, g la aceleración de la gravedad, h-h0 es la diferencia de alturas entre los niveles con presiones P y P0 y T es la temperatura absoluta media entre los dos niveles, y R la constante de los gases perfectos. El hecho de que la temperatura varíe sí limita validez de la fórmula. Por el contrario la variación de la aceleración de la gravedad es tan suave que no afecta.
La demostración de la fórmula es sencilla:
La diferencia de presión entre dos capas separadas por un es:
Pero por la ley de la densidad
Así que:
que por integración se convierte en:
es decir:
por lo que:
Incremento de altura
El incremento de altura es la altura a la que hay que elevarse en una atmósfera para que la presión atmosférica disminuya a la mitad.
Para calcularla basta con poner en la ley barométrica resulta:
Escala de altura
La escala de altura es la altura a la que hay que elevarse en una atmósfera para que la presión atmosférica disminuya en un factor e=2,718182. Es decir la disminución de presión es
Para calcularla basta con poner en la ley barométrica resulta:
En función de la escala de alturas H la presión puede expresarse:
y análogamente para la densidad:
Cálculo de la Escala de altura en diferentes atmósferas
Basta con aplicar la fórmula anterior para obtener H en metros.
| Planeta | Temp. (K) | Ac. gravedad g (m/s²) | Masa molecular M | Escala altura H (km) | Incremento altura (km) |
|---|---|---|---|---|---|
| Tierra | 288 | 9,81 | 28,96 | 8,42 | 5,8 |
| Venus | 738 | 8,73 | 44 | 16,15 | 11,2 |
| Titán | 95 | 1,37 | 28,6 | 20,15 | 13,9 |
| Marte | 215 | 3,73 | 43,64 | 10,98 | 7,6 |
| Júpiter | (*)160 | 26,20 | (**)2 | 25,37 | 17,6 |
(*)Temperatura K cerca del límite de las nubes.
(**) Puede haber suficiente helio para aumentar la masa molecular disminuyendo la escala de alturas.
Representación de la variación de la presión con la altura

Si representamos el logaritmo de la presión o de la densidad en función de la altura obtendríamos una línea recta si la atmósfera fuese isoterma, es decir, si la escala de temperatura no variará con la altura. La escala de altura es pequeña si la temperatura es baja y ello significa que la presión y la densidad decrecen rápidamente. Si la temperatura es alta la escala es grande y varían suavemente. Pero la escala de altura también depende de la masa molecular, y masas moleculares altas hacen disminuir la escala de alturas al igual que planetas grandes con elevadas aceleraciones de la gravedad, que también hacen disminuir la escala de alturas y la presión y la densidad decrecen rápidamente.
Así, en un planeta más grande que la Tierra, con idéntica composición atmosférica y temperatura, la densidad y presión cambian más rápidamente con la altura y se puede hablar de una «atmósfera dura» frente a un planeta menor en el que H sería mayor y la atmósfera sería «blanda».
Véase también
- Aire
- Anexo:Datos de los planetas del Sistema Solar
- Atmósfera terrestre
- Dinámica de la atmósfera
- International Standard Atmosphere
- La atmósfera como canal de transmisión de luz
- Presión atmosférica
- Atmósfera de la Luna
Referencias
- ↑ Real Academia Española. «atmosfera». Diccionario de la lengua española (23.ª edición). Consultado el 29 de octubre de 2022.
- ↑ Real Academia Española y Asociación de Academias de la Lengua Española (2023). «atmósfera». Diccionario panhispánico de dudas (2.ª edición, versión provisional). Consultado el 29 de octubre de 2022.
- ↑ a b «Evolution of the Atmosphere». globalchange.umich.edu. Archivado desde el original el 9 de agosto de 2022. Consultado el 30 de abril de 2023.
- ↑ Williams, Matt (7 de enero de 2016). «What is the Atmosphere Like on Other Planets?». Universe Today (en inglés estadounidense). Archivado desde el original el 22 de octubre de 2019. Consultado el 22 de octubre de 2019.
- ↑ Williams, David R. (1 de septiembre de 2004). «Earth Fact Sheet» (en inglés). NASA. Consultado el 9 de agosto de 2010.
- ↑ «Atmosphere | National Geographic Society». education.nationalgeographic.org. Archivado desde el original el 10 de junio de 2022. Consultado el 9 de junio de 2022.
Bibliografía
- Sanchez-Lavega, Agustin (2010). An Introduction to Planetary Atmospheres. Taylor & Francis. ISBN 978-1420067323.
Enlaces externos
Wikcionario tiene definiciones y otra información sobre atmósfera.
Wikisource contiene obras originales de o sobre Atmósfera.- Grupo de Física de la Atmósfera (GFAT) de la Universidad de Granada (UGR).