BODIPY

Los 4-4-diflouro-4-bora-3a,4a-diaza-s-indacenos conocidos como BODIPYs (abreviatura de borodipirrometano) son compuestos químicos que presentan propiedades como estabilidad térmica y fotoquímica, un alto rendimiento cuántico de fluorescencia, absorción intensa, escasa formación de estado triplete, alta solubilidad y robustez química (Figura 1).
Estas características han hecho que estos compuestos se vuelvan de interés químico, bioquímico y físico, ya que estas propiedades han dado origen a ser probados como sensores químicos, tintes de láser, marcadores fluorescentes, capas activas en celdas fotovoltaicas, absorbentes de 2 fotones para tintes utilizados para el mapeo de células, colectores solares, OLEDs y acarreadores de fármacos.
El primer derivado de este fluorocromo fue sintetizado en 1968 por casualidad por Treibs y Kreuzer cuando intentaban acetilar el 3,5-dimetilpirrol con la ayuda de BF3·OEt2 [17]. Pero fue a partir de los ochenta cuando se empezó a estudiar y sintetizar derivados de BODIPY.
Numeración
El sistema de numeración que se usa en el BODIPY es diferente al que se usa en dipirrometenos. Además, debido a la similitud de estos fluorocromos con la porfirina, las posiciones 3 y 5 se llaman α y la posición 8 se llama meso (Figura 2).

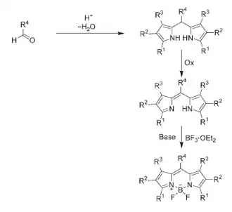
Síntesis y extensión del sistema π
La síntesis de BODIPY consta de tres pasos esenciales (Figura 3):

·Condensación pirrólica: el pirrol, en medio ácido, ataca al electrófilo. Los electrófilos más usados son el cloruro de ácido y el aldehído.
·Oxidación: se realiza una oxidación para formar un doble enlace en el puente que une a las dos unidades pirrólicas. Esta oxidación se realiza casi siempre con DDQ (2,3-Dicloro-5,6-Diciano-1,4-benzoquinona).
·Acomplejación: se unen los dos átomos mediante una unidad de boro. Para esta fase se usa el BF3·OEt2 [7]
El BODIPY presenta por sí solo una gran conjugación electrónica a lo largo de su esqueleto. Esta conjugación se puede aumentar mediante la incorporación de sustituyentes insaturados o aromáticos como bencenos, tiofenos o pirroles.
El fluorocromo BODIPY tiene la capacidad de desplazar su longitud de onda mediante la presencia de sustituyentes. Se puede conseguir un efecto batocrómico (absorción a longitudes de onda mayores) o un efecto hipsocrómico (absorción a longitudes de onda menores). Para obtener fluorescencia de esta molécula en infrarrojos cercano o en la zona roja del visible, (un efecto batocrómico) se requiere la presencia de una gran deslocalización de electrones π. El método más viable para ello es sintetizar derivados con grupos fenilos, vinilos o tiofenos.
Si se quiere producir un efecto hipsocrómico se puede hacer una sustitución con un grupo amino en la posición meso o posición 8. En teoría, la sustitución del amino debería provocar un efecto batocrómico al ser un electrodador, pero la N-sustitución en esta posición desestabiliza al orbital LUMO, aumentando esa diferencia energética que hay entre HOMO y LUMO provocando así un desplazamiento hipsocrómico de unos 100 nm con respecto al BODIPY esencial [18]
Propiedades ópticas
Estas moléculas tienen propiedades ópticas que las hacen bastante útiles para el campo de la bioquímica:
• Fuertes bandas en el espectro de absorción (que suelen estar alrededor de los 25-35nm)
• Grandes coeficientes de absorción (entre 40000 y 110000 M-1cm-1)
• Gran rendimiento cuántico (entre el 60 y el 90%)
• Estabilidad química y fotoquímica en solución y en sólido
• Vida media de fluorescencia entre 1 a 10ns
Los espectros del BODIPY suelen mostrar una banda principal intensa, que pertenece a la transición S0-S1, con un hombro debido a la estructura vibracional, y una segunda banda, a menor longitud de onda y más débil, que corresponde a la S0-S2.
Otra característica de dicha molécula es que, gracias a su valor alto de rendimiento cuántico, su excitación genera una escasa concentración de estados triplete. Por esa razón existen pocos ejemplos de detección de fosforescencia de un BODIPY en el que haya hecho falta usar un átomo pesado externo para estimular el cruce intersistémico.

Rotor químico
A parte de las propiedades ópticas mencionadas anteriormente, estos compuestos tienen una característica peculiar. Cuando un BODIPY tiene un sustituyente en la posición 8 o meso, este tiene capacidad de libre giro, o sea, puede rotar libremente. Esto afecta a su fluorescencia, porque para que la molécula de BODIPY alcance su máximo de fluorescencia, esta debe estar en el mismo plano que el del cromóforo sustituyente. Si este cromóforo se encuentra en el mismo plano tendrá mejor resonancia electrónica, lo que se traduce en una mayor fluorescencia. Pero si el sustituyente se encuentra en posición perpendicular con respecto al BODIPY, no habrá resonancia, lo que hará disminuir notablemente su emisión. (Figura 4)
El hecho de que el sustituyente gire libremente o no, dependerá del tipo de sustituyente y de la temperatura, pero mayormente dependerá de la viscosidad del medio en el que se encuentre. Sí el medio en el que se encuentra tiene gran viscosidad, el sustituyente quedará "anclado" dando una mayor emisión. A mayor viscosidad, mayor emisión. Esta característica en los derivados del BODIPY los convierten en herramientas útiles para el análisis de micro-viscosidad en medios como el citoplasma o la matriz mitocondrial. [15,16]
Reacciones de acoplamiento cruzado C-C
Hace aproximadamente 25 años, un grupo japonés y un grupo de estados unidos simultáneamente diseñaron y ejecutaron reacciones de arilos o halogenuros de arilo con alquenos, catalizadas por paladio. En posteriores investigaciones, Richard Heck y su grupo demostraron la utilidad de esta transformación catalítica para formar enlaces C-C. De ahí se han formado numerosas variantes de las reacciones de acoplamiento como las de: Kumada, Suzuki, [9] Stille y Negishi. Utilizando solamente una cantidad catalítica de complejos de Pd (0). [10, 11]
Las reacciones de acoplamiento entre halogenuros vinílicos y acetilenos terminales han sido publicadas desde 1975, mediante la modificación de la reacción de Heck para extenderlo a acetilenos terminales. Por otro lado, las últimas modificaciones han sido desarrolladas basadas en la combinación con Cu como co-catalizador. (12)
La reacción de Sonogashira es otro tipo de reacción de acoplamiento C-C catalizada por paladio, para acetilenos terminares con haluros de arilo o vinilo. Para los bromuros de arilo, que son los reactivos menos efectivos, se necesita un calentamiento de 80 °C aproximadamente para que la reacción sea eficiente. [13]
Sin embargo, este aumento en la temperatura aunado al aumento en las cantidades de Pd (3-5 mol%) y de Cu (5-10 mol%), hace que estas reacciones normalmente tengan productos secundarios causados por reacciones entre los acetilenos. Las reacciones de acoplamiento catalizadas por Pd-Cu como la reacción de Sonogashira de acetilenos terminales con halogenuros de sp2-C proveen un útil método para sintetizar compuestos del tipo sp2-C y sp-C, una clase importante de moléculas que tienen aplicaciones en diversas áreas desde productos naturales y farmacéuticos, hasta materiales orgánicos en nanomateriales. [14]
Celdas solares
En la búsqueda de fuentes alternas de energía, la energía solar está siendo explotada de varias formas, pero el método más familiar usa celdas solares basadas en silicio en las cuales la transformación directa de la luz del sol en electricidad se realiza a través de un efecto fotovoltaico. En este momento, estas celdas solares han mostrado un gran desarrollo y se han obtenido eficiencias de conversión de potencia eléctrica mayor al 20%, sin embargo, el alto costo de producción ha imposibilitado su amplio uso. Actualmente, la posibilidad de emplear materiales orgánicos en la fabricación de celdas solares ha sido considerada como una alternativa por diversos grupos de investigación.(2) La atracción hacia este campo es debida a la capacidad de modificar la estructura química de manera que se puedan modificar directamente las propiedades de los materiales cuando son depositados en forma de una película delgada.(3) La estructura electrónica de todos los semiconductores orgánicos está basada en la conjugación de los electrones- π. Un sistema conjugado está basado en una alteración de los enlaces sencillos y dobles carbono-carbono. Los enlaces sencillos están conformados por un par de electrones, mientras que los enlaces dobles contienen un enlace σ y un enlace π, los electrones π son más móviles que los electrones σ y pueden saltar de un sitio a otro entre los átomos de carbono gracias a la superposición mutua de los orbitales π a lo largo de la trayectoria de conjugación, que provoca que la densidad electrónica esté deslocalizada sobre el esqueleto conjugado. Este sistema de electrones π es esencial en las características electrónicas de materiales orgánicos: absorción y emisión de luz, transporte y generación de carga. (4)
La relación entre estructura y las propiedades de las moléculas orgánicas ayudan a comprender las propiedades de los dispositivos fotónicos existentes y predecir los materiales conjuntos ideales para su uso en la siguiente generación de dispositivos electrónicos.
El uso de los compuestos orgánicos como materiales activos en dispositivos electrónicos y opto electrónicos abren paso a un gran número de métodos eficientes y de bajo costo útiles para su fabricación y en algunos casos, estructuras complicadas que sean accesibles por métodos convencionales utilizando semiconductores convencionales. (5)
Los retos principales para las celdas orgánicas fotovoltaicas (OPVs) son el incremento de la eficiencia de conversión de energía solar en eléctrica, la reducción de los costos de fabricación y alcanzar un mayor tiempo de vida.
Acoplamiento cruzado de C-C catalizada por metales, sobre el núcleo de BODIPY
La presencia de un halógeno, unido al núcleo del BODIPY, permite la construcción de compuestos más complejos, esto se puede realizar por medio de reacciones de acoplamiento catalizadas por Paladio. Se pueden utilizar varios tipos de reacciones de acoplamiento; por ejemplo: la reacción de Sonogashira, Heck, Stille o Suzuki. Todas estas han sido utilizadas para introducir ya sea alquinos, alquenos y grupos arilo en el Bodipy. De la misma manera el enlace B-F queda intacto en este tipo de reacciones.[8]
Detección de iones fluoruro o cianuro
Los aniones se encuentran en la naturaleza en procesos químicos y biológicos. También como resultado de la agricultura y del desarrollo industrial. Por esta razón se han desarrollado en los últimos años sensores capaces de descubrir la presencia de aniones. De entre todos los aniones, es importante estudiar la presencia de fluoruro y cianuro ya que son especies tóxicas y perjudiciales para la naturaleza. Son muchos los tipos de sensores que se pueden usar para detectar este tipo de anionesl, pero entre todos ellos, los fluorescentes tienen un especial interés. Esto se debe a que presentan ventajas como su bajo costo, facilidad de detección, elevada sensibilidad y selectividad y la posibilidad de detección a “simple vista”. En este sentido los colorantes BODIPYs han cobrado una gran importancia debido a su gran versatilidad sintética y a las buenas y fácilmente modulables propiedades que los caracterizan. [19] Estos sensores se suelen basar en la formación de enlaces Si-F a expensas de la ruptura de enlaces Si-O y Si-C. Las reacciones de Si con F ocurren rápidamente y de forma irreversible.
En 2010 Akkaya y sus colaboradores sintetizaron dos derivados de BODIPY para la detección de Flúor. Estos derivados contienen un fragmento fenólico protegido con el grupo triisopropilsililo (TIPS) que sirve como sensor de fluoruro en solución y sobre una matriz polimérica de metilmetacrilato. En los 2 casos, cuando reaccionaron con el flúor se dio lugar a la liberación del grupo fenolato, lo que a su vez provocó un cambio en la emisión de dichos derivados. Estos cambios en la emisión se debieron a un mecanismo de transferencia electrónica fotoinducida (PET) y a una transferencia de carga intramolecular (ICT). [20]
Bibliografía
- A. Loudet, K. Burguess. Chem. Rev. 2007; 107, 4891-4932.
- P-A. Faugeras, B. Boëns, P-H. Elchinger, J. Vergnaud, K. Teste, R. Zerrouki, Tetrahedron Lett. 2010, 51, 4630-4632.
- A. M. Bagher, Sustainable Energy, 2014, 3, 85-90.
- J. Li. Name Reactions. A Collection of Detailed Mechanisms and Synthetic Applications. Springer, New York, 4°Ed. 2009.
- S. Murase, T. Tominaga, A. Kohama, Eur. Pat. 1253151a, 2002.
- G. Ulrich, C. Goze, M. Guardigli, A. Roda, R. Ziessel, Angew. Chem. 2005, 117, 3760-3764; Angew. Chem. Int. Ed. 2005, 44, 3694-3398.
- C. Goze, G. Ulrich, L. J. Mallon,B. D. Allen, A. Harriman, R. Ziessel, J. Am. Chem. Soc. 2006, 128, 10231-10239.
- C. Goze, G. Ulrich, R. Ziessel, J. Org. Chem. 2007, 72, 313-322.
- C. Goze, G. Ulrich, R. Ziessel, Org. Lett. 2006, 8, 4445-4448.
- J. Tsuji, Palladium reagents and catalyst – new perspectives for the 21st century. 2nd ed. 2004 Ed. John Wiley & Sons, Ltd West Sussex, England.
- D. Gerbino, S. Mandolesi, H-G. Schmalz, J. Podestá Eur. J. Org. Chem. 2009, 3964-3972.
- F. Diederich, P. Stang, Metal catalyzed Cross-coupling reactions. 1st ed. 1998 Ed. Wiley-VCH Weinheim, Germany.
- T. Hundertmark, A. Littke, S. Buchwald, G. Fu, Org. Lett. 2000, 2, 12 1729-1731.
- K. Sonogashira, J. Organomet. Chem. 2002, 653, 46-49.
- Elba Xochitiotzi Flores; Arturo Jiménez Sánchez; Héctor García Ortega; Nuria Sánchez Puig; Margarita Romero Ávila, J.Chem., 2016, 40, 4500
- A Self-Calibrating Bipartite Viscosity Sensor for Mitochondria Zhigang Yang, Yanxia He, Jae-Hong Lee, Nayoung Park, Myungkoo Suh, Weon-Sik Chae, Jianfang Cao, Xiaojun Peng, J. Am. Chem. Soc. 2013, 135, 9181−9185
- Treibs, A., Kreuzer, F. H. Liebigs Ann. Chem. 1968, 718, 208-223
- New 8-aminoBODIPY derivatives: Surpassing Laser Dyes at Blue-Edge Wavelengths Chem. Eur. J. 2011, 17, 7261
- Sondas basadas en BODIPYs para la detección de iones fluoruro y cianuro. Enrique Alvarado Martínez, Diana Estephany Ramírez Ornelas, Miguel Ángel Vázquez Guevara, David Cruz Cruz y Eduardo Peña Cabrera. REVISTA NATURALEZA Y TECNOLOGIA UNIVERSIDAD DE GUANAJUATO NO 11,DICIEMBRE DEL 2016 ISSN 2007-672X
- Bozdemir, O.A.; Sozmen, F.; Buyukcakir, O.; Guliyev, R.; Cakmak, Y.; Akkaya, E. U. Org. Lett. 2010, 12, 1400.