Benzaldehído
| Benzaldehído | ||
|---|---|---|
| Archivo:Benzaldehyde-3D-vdW.png y Benzaldehyde-3D-balls.png | ||
| Nombre IUPAC | ||
| Benzaldehído | ||
| General | ||
| Fórmula semidesarrollada | C6H5CHO | |
| Fórmula estructural |
![]() | |
| Fórmula molecular | C7H6O | |
| Identificadores | ||
| Número CAS | 100-52-7[1] | |
| ChEBI | 17169 | |
| ChEMBL | CHEMBL15972 | |
| ChemSpider | 235 | |
| PubChem | 240 | |
| UNII | TA269SD04T | |
| KEGG | C00193 D02314, C00193 | |
| Propiedades físicas | ||
| Apariencia | Líquido incoloro, olor característico a almendras | |
| Densidad | 1041,5 kg/m³; 1,0415 g/cm³ | |
| Masa molar | 106,13 g/mol | |
| Punto de fusión | −26 °C (247 K) | |
| Punto de ebullición | 178,1 °C (451 K) | |
| Peligrosidad | ||
| NFPA 704 |
2
2
1
| |
| Valores en el SI y en condiciones estándar (25 ℃ y 1 atm), salvo que se indique lo contrario. | ||
El benzaldehído (C6H5CHO) es un compuesto químico que consiste en un anillo de benceno con un sustituyente aldehído. Es el representante más simple de los aldehídos aromáticos y uno de los miembros industrialmente más usados de esta familia de compuestos. A temperatura ambiente, es un líquido incoloro, con un olor a almendras agradable y característico: el benzaldehído es un componente importante de la esencia de almendras (concretamente en la amigdalina que contienen), de ahí su olor típico. Es un componente presente en el aceite de extracto de almendras amargas (en forma de amigdalina, que puede ser catalizada vía hidroxilación en prunasina, y ésta a su vez en L-mandelonitrilo, que al fin se podría romper en benzaldehído+ácido cianhídrico) y puede ser extraído[cita requerida] de un variado número de fuentes naturales en las que está presente, como los huesos de albaricoque, cerezas, hojas de laurel, semillas de durazno y en ciertas nueces y semillas[cita requerida]. Actualmente el benzaldehído se fabrica principalmente a partir de tolueno mediante diversos procesos de síntesis.
Producción
El benzaldehído puede ser sintetizado por varias vías. Actualmente, la cloración en fase líquida o la oxidación del tolueno están entre los procesos más usados. También hay una serie de aplicaciones descontinuadas, tales como la oxidación parcial del alcohol bencílico, tratamiento con álcali del cloruro de bencilideno y la reacción entre el benceno y el monóxido de carbono.
Reacciones
Al oxidarse, el benzaldehído se convierte en el ácido benzoico, que es inodoro. El alcohol bencílico puede formarse a partir de benzaldehído por medio de la hidrogenación, o tratando el compuesto con hidróxido de potasio alcohólico, con lo que sufre una oxidación y reducción simultánea que resulta en la producción de benzoato de potasio y alcohol bencílico, esta es la (reacción de Cannizzaro): una molécula del aldehído es reducida al alcohol correspondiente, y otra molécula es oxidada simultáneamente a la sal del ácido carboxílico. La velocidad de esta reacción depende de los sustituyentes presentes en el anillo aromático.
La reacción del benzaldehído con acetato de sodio anhidro y anhídrido acético produce ácido cinámico, por un mecanismo de condensación aldólica conocido como reacción de Knoevenagel; mientras que el cianuro de potasio alcohólico puede ser usado para catalizar la condensación de benzaldehído a benzoína.
Usos
Aunque se emplea comúnmente como saborizante alimentario comercial (sabor de almendras) o disolvente industrial, el benzaldehído se usa principalmente en la síntesis de otros compuestos orgánicos, que van desde fármacos hasta aditivos de plásticos. Es también un intermediario importante para el procesamiento de perfume y compuestos saborizantes, y en la preparación de ciertos colorantes de anilina.
La síntesis del ácido mandélico empieza en el benzaldehído:
Primero se agrega ácido cianhídrico al benzaldehído, y el nitrilo de ácido mandélico resultante se hidroliza subsecuentemente a una mezcla racémica de ácido mandélico.
Los glaciólogos LaChapelle y Stillman reportaron en 1966 que el benzaldehído y el N-heptaldehído inhiben la recristalización de la nieve, y en consecuencia la formación de depósitos de hielo profundos.[2] Este tratamiento podría prevenir las avalanchas causadas por capas de hielo profundas e inestables. Sin embargo, los químicos no tienen amplio uso porque ocasionan daño a la vegetación y contaminan las fuentes de agua.
Biología
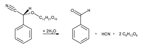
Los corazones de las almendras, albaricoques, manzanas y cerezas, entre otras plantas comestibles, contienen cantidades significativas de amigdalina. Este glucósido se compone de benzaldehído, cianuro de hidrógeno y dos moléculas de glucosa, y puede romper bajo hidrólisis enzimática en compuestos como la similar prunasina (también un glucósido cianogénico), que a su vez puede ser catalizada y descompuesta en benzaldehído al igual (aunque más comúnmente) que la propia amigdalina. Esto se debe a que la molécula de benzaldehído presente en la amigdalina es rápidamente convertido a ácido benzoico en el organismo por la/s correspondiente enzima/s, de la misma manera, la molécula de cianuro de hidrógeno es asimilado y transformado en tiocianato por la debida hidrolasa, concretamente la rodanasa.
Referencias
- ↑ Número CAS
- ↑ LaChapelle, Edward R.; Stillman, R. M. (1962). The chemical modification of depth hoar, part II - "Project C, progress report no. 4.". Colorado St. University Library, Basement: Alta Avalanche Study Center. pp. 1-5.
Enlaces externos
Wikimedia Commons alberga una categoría multimedia sobre Benzaldehído.- International Chemical Safety Card 0102
- European Chemicals Bureau
- Benzaldehyde description at ChemicalLand21.com


