Casuariina
| Casuarinina | ||
|---|---|---|
![]() | ||
| General | ||
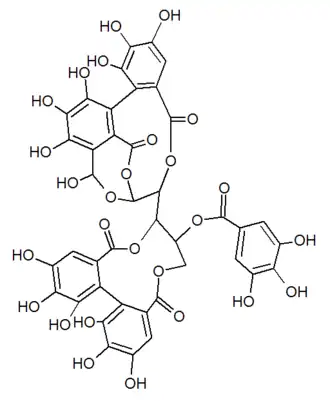
| Fórmula estructural |
![]() | |
| Fórmula molecular | C41H28O26 | |
| Identificadores | ||
| Número CAS | 79786-01-9[1] | |
| ChEBI | 3462 | |
| ChemSpider | 138517 | |
| PubChem | 157395 | |
|
C1C(C(OC(=O)C2=CC(=C(C(=C2C3=C(C(=C(C=C3C(=O)O1)O)O)O)O)O)O)C4C5C(C6=C(C(=C(C(=C6C(=O)O5)C7=C(C(=C(C=C7C(=O)O4)O)O)O)O)O)O)O)OC(=O)C8=CC(=C(C(=C8)O)O)O
| ||
|
InChI=InChI=1S/C41H28O26/c42-11-1-7(2-12(43)23(11)47)37(58)64-16-6-63-38(59)8-3-13(44)24(48)27(51)17(8)18-9(4-14(45)25(49)28(18)52)39(60)65-34(16)36-35-32(56)22-21(41(62)66-35)20(30(54)33(57)31(22)55)19-10(40(61)67-36)5-15(46)26(50)29(19)53/h1-5,16,32,34-36,42-57H,6H2/t16-,32+,34-,35+,36+/m1/s1
Key: MMQXBTULXAEKQE-VSLJGAQWSA-N | ||
| Propiedades físicas | ||
| Masa molar | 936.64 g/mol g/mol | |
| Valores en el SI y en condiciones estándar (25 ℃ y 1 atm), salvo que se indique lo contrario. | ||
Casuarinin es un elagitanino. Se encuentra en el pericarpio de los granados ( Punica granatum ). También se encuentra en especies de Casuarina y Stachyurus[2] y en Alnus sieboldiana.[3]
Es un isómero de la casuarictina. Se trata de un altamente activo de inhibidores de la anhidrasa carbónica.[4]
Biosíntesis
En algunas plantas, incluyendo el roble y el castaño, los elagitaninos se forman a partir de 1,2,3,4,6-pentagaloil-glucosa y más elaborado mediante deshidrogenación oxidativa (formaciones de tellimagrandin II y casuarictina). Después de la conversión de casuarictina a pedunculagina, el anillo de piranosa de la glucosa se abre y forma la familia de compuestos que incluyen casuariina, casuarinina, castalagina, castlina, vescalagina y vescalina.[5]
Referencias
- ↑ Número CAS
- ↑ Okuda, T.; Yoshida, T.; Ashida, M.; Yazaki, K. (1983). «Tannins of Casuarina and Stachyurus species. I: Structures of pendunculagin, casuarictin, strictinin, casuarinin, casuariin, and stachyurin.». Journal of the Chemical Society (8): 1765-1772.
- ↑ Structures of alnusiin and bicornin, new hydrolyzable tannins having a monolactonized tergalloyl group. Yoshida T, Yazaki K, Memon M.U, Maruyama I, Kurokawa K, Shingu T and Okuda T, Chemical and pharmaceutical bulletin, 1989, volume 37, number 10, pages 2655-2660, INIST|19467830 (abstract)
- ↑ Satomi, H.; Umemura, K.; Ueno, A.; Hatano, T.; Okuda, T.; Noro, T. (1993). "Carbonic anhydrase inhibitors from the pericarps of Punica granatum L". Biological & Pharmaceutical Bulletin 16 (8): 787–790. doi:10.1248/bpb.16.787. PMID 8220326. e
- ↑ «Tannins chemistry by Hagerman A. E.». Archivado desde el original el 26 de agosto de 2013. Consultado el 20 de agosto de 2014.
Enlaces externos
- Esta obra contiene una traducción derivada de «Casuariin» de Wikipedia en inglés, publicada por sus editores bajo la Licencia de documentación libre de GNU y la Licencia Creative Commons Atribución-CompartirIgual 4.0 Internacional.
