Catálisis ácida de Lewis
| Ácidos y Bases | |
|---|---|
| |
| Ácidos y Bases | |
| Tipos de ácidos | |
| Tipos de bases | |
En la catálisis ácida de Lewis de reacciones orgánicas, un ácido de Lewis a base de metal actúa como un aceptor de par de electrones para aumentar la reactividad de un sustrato. Los catalizadores ácidos de Lewis comunes se basan en metales del grupo principal, como aluminio, boro, silicio y estaño, así como en muchos metales del bloque d temprano (titanio, circonio) y tardío (hierro, cobre, zinc). El átomo de metal forma un aducto con un átomo electronegativo que lleva un par solitario en el sustrato, como el oxígeno (tanto sp2 como sp3), nitrógeno, azufre y halógenos. La complejación tiene un carácter de transferencia de carga parcial y hace que el donante de par solitario sea efectivamente más electronegativo, activando el sustrato hacia el ataque nucleofílico, la escisión de enlaces heterolíticos o la cicloadición con 1,3-dienos y 1,3-dipolos.[1]
Muchas reacciones clásicas relacionadas con la formación de enlaces carbono-carbono o carbono-heteroátomo pueden ser catalizadas por los ácidos de Lewis. Los ejemplos incluyen la reacción de Friedel-Crafts, la reacción aldólica y varios procesos pericíclicos que se desarrollan lentamente a temperatura ambiente, como la reacción de Diels-Alder y la reacción eno. Además de acelerar las reacciones, los catalizadores ácidos de Lewis son capaces de imponer regioselectividad y estereoselectividad en muchos casos.
Los primeros desarrollos en los reactivos ácidos de Lewis se centraron en compuestos fácilmente disponibles como TiCl4, BF3, SnCl4 y AlCl3. Las fortalezas relativas de estos (y otros) ácidos de Lewis pueden estimarse a partir de la espectroscopia de RMN mediante el método de Childs[2] o el método de Gutmann-Beckett. A lo largo de los años, los catalizadores versátiles que llevan ligandos diseñados para aplicaciones específicas han facilitado la mejora tanto en la reactividad como en la selectividad de las reacciones catalizadas por el ácido de Lewis. Más recientemente, los catalizadores ácidos de Lewis con ligandos quirales se han convertido en una clase importante de herramientas para la catálisis asimétrica.[3]
Los desafíos en el desarrollo de la catálisis ácida de Lewis incluyen el recambio ineficaz del catalizador (causado por la afinidad del catalizador por el producto) y el requisito frecuente de unión de dos puntos para la estereoselectividad, que a menudo requiere el uso de grupos auxiliares.
Mecanismo
En reacciones con mecanismos polares, la catálisis ácida de Lewis a menudo implica la unión del catalizador a los heteroátomos básicos de Lewis y la extracción de densidad electrónica, lo que a su vez facilita la escisión del enlace heterolítico (en el caso de la reacción de Friedel-Crafts) o activa directamente el sustrato hacia el ataque nucleofílico ( en el caso de reacciones de adición de carbonilo). La dicotomía puede tener consecuencias importantes en algunas reacciones, como en el caso de las reacciones de sustitución de acetales promovidas por el ácido de Lewis, donde los mecanismos SN1 y SN2 que se muestran a continuación pueden dar diferentes resultados estereoquímicos. Al estudiar la relación del producto en un sistema bicíclico, Dinamarca y sus colegas demostraron que ambos mecanismos podrían estar operativos dependiendo de la denticidad del ácido de Lewis y la identidad del grupo R'.[4]
En las reacciones de cicloadición de Diels-Alder y 1,3-dipolar, los ácidos de Lewis disminuyen la energía LUMO del dienófilo o dipolarfilo, respectivamente, haciéndolo más reactivo hacia el dieno o el dipolo.
Catálisis ácida de Lewis con sustratos que contienen carbonilo
Entre los tipos de reacciones que pueden ser catalizadas por los ácidos de Lewis, aquellas con sustratos que contienen carbonilo han recibido la mayor atención. El primer descubrimiento importante en esta área fue en 1960, cuando Yates y Eaton informaron la aceleración significativa de la reacción de Diels-Alder por AlCl 3 cuando el anhídrido maleico es el dienófilo.[5] Los primeros estudios teóricos que dependían del análisis orbital fronterizo establecieron que la catálisis ácida de Lewis funciona a través de la reducción de la energía LUMO del dienófilo,[6] que sigue siendo la racionalización aceptada. El concepto de energía LUMO reducida también se usa para explicar la reactividad electrofílica aumentada dramáticamente de los compuestos carbonílicos (cuyo LUMO es el orbital COπ*) hacia los reactivos nucleofílicos suaves, como en los casos de la reacción aldólica de Mukaiyama y la reacción de Sakurai.
Además de la aceleración de la velocidad, las reacciones catalizadas por el ácido de Lewis a veces muestran una estereoselectividad mejorada, lo que estimuló el desarrollo de modelos de estereoinducción. Los modelos tienen sus raíces en el conocimiento de las estructuras de los complejos ácido-carbonilo de Lewis que, a lo largo de décadas de investigación en cálculos teóricos, la espectroscopia de RMN y la cristalografía de rayos X, se establecieron con bastante firmeza a principios de los años noventa:[7]
- σ-Complejación: el complejo en el que el ácido de Lewis interactúa con el compuesto carbonilo a través de un enlace σ con el par solitario de oxígeno es tanto termodinámicamente favorecido como catalíticamente relevante.[8]
- Geometría doblada: el ángulo de enlace metal-oxígeno-carbono es menor que 180 °, y el metal está sincronizado con el sustituyente más pequeño, a menos que esté influenciado por un grupo quelante en el sustituyente más grande.
- Una preferencia s-trans para los compuestos α, β-insaturados.
Adición y adición de conjugados a compuestos carbonílicos
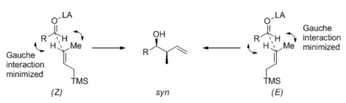
La reacción aldólica de Mukaiyama y la reacción de Sakurai se refieren a la adición de éteres de silil enol y alilsilanos a compuestos carbonílicos, respectivamente. Solo bajo la catálisis con ácido de Lewis, estas reacciones ocurren bajo condiciones sintéticamente útiles. Se cree que los estados de transición acíclicos operan en ambas reacciones para la adición de 1,2 o 1,4, y los factores estéricos controlan la estereoselectividad. Esto contrasta con el rígido estado de transición cíclica de Zimmerman-Traxler que ha sido ampliamente aceptado para la reacción aldólica con enolatos de litio, boro y titanio. Como consecuencia, la geometría del doble enlace en el silil enol éter o el alilsilano no se traduce bien en la estereoquímica del producto. Un modelo para la adición 1,2 de Sakurai, propuesto por Kumada, se presenta en el siguiente esquema;[9] el diastereómero syn es predominante cuando se usa el silano (E), y también se favorece ligeramente cuando se usa el silano (Z). Un análisis similar realizado por Heathcock[10] explica el hecho de que, con sustratos simples, esencialmente no hay diastereoselectividad para la reacción almolica intermolecular de Mukaiyama.
El catalizador ácido de Lewis desempeña un papel en la estereoselectividad cuando el aldehído puede quelarse sobre el centro metálico y formar un intermedio cíclico rígido. El resultado estereoquímico es entonces consistente con la aproximación del nucleófilo anti al sustituyente más voluminoso en el anillo.[11][12]
Reacción Diels-Alder
Los ácidos de Lewis tales como ZnCl2, BF3, SnCl4, AlCl3 y MeAlCl2 pueden catalizar reacciones de Diels-Alder de demanda de electrones tanto normales como inversas. El aumento en la velocidad es a menudo dramático, y la regioselectividad hacia productos orto o similares a menudo se mejora, como se muestra en la reacción entre el isopreno y el acrilato de metilo.[13]
Se cree que la reacción catalizada de Diels-Alder es concertada. Sin embargo, un estudio computacional a nivel B3LYP / 6-31G (d) ha demostrado que el estado de transición de la reacción de Diels-Alder catalizada por BF 3 entre propenal y 1,3-butadieno es más asíncrona que la de la reacción térmica - enlace más alejado del grupo carbonilo se forma por delante del otro enlace.[14]
Reacción ene
La reacción de carbonil-eno casi siempre es catalizada por ácidos de Lewis en aplicaciones sintéticas.[15] Se ha propuesto un mecanismo paso a paso o en gran parte asíncrono para la reacción catalizada basada en estudios de efecto de isótopos cinéticos.[16] No obstante, los estados de transición cíclica se invocan con frecuencia para interpretar la diastereoselectividad. En una revisión seminal a principios de la década de 1990, Mikami y sus colegas[17] propusieron un estado de transición similar a una silla tardía, que podría racionalizar muchos de los resultados estereoquímicos observados, incluida la función del volumen estérico en la diastereoselectividad:[18]
Más recientemente, sin embargo, el mismo grupo llevó a cabo cálculos HF/6-31G * en las reacciones de estaño o aluminio catalizadas con ácido de Lewis. Citando que metil gloxilato quelatos de estaño son ácidos de Lewis, pero no los de aluminio, que invocan un estado de transición temprano, en forma de sobre y racionalizar el resultado estereoquímico divergente de la reacción de eno entre (E) -2-buteno y glioxilato de metilo.[19]
Aplicación en síntesis
Las reacciones de adición de carbonilo catalizadas por el ácido de Lewis se usan rutinariamente para formar enlaces carbono-carbono en la síntesis de productos naturales. Las primeras dos reacciones que se muestran a continuación provienen de la síntesis de (+) - licoflexina[20] y ácido zaragójico C,[21] respectivamente, que son aplicaciones directas de las reacciones de Sakurai y Mukaiyama. La tercera reacción, en ruta a (+) - fawcettimine, es una apertura de ciclopropano catalizada por ácido de Lewis que es análoga a una reacción de Mukaiyama- Michael.[22]
La reacción de Diels-Alder catalizada o promovida por los ácidos de Lewis es un método poderoso y ampliamente utilizado en la síntesis de productos naturales para lograr la complejidad del andamio en un solo paso con control estereoquímico. Las dos reacciones que se muestran a continuación son una reacción intramolecular de Diels-Alder hacia (-) - fusarisetin A[23] y una reacción intermolecular hetero-Diels-Alder hacia (-) - epibatidina,[24] respectivamente.
Friedel–Crafts y reacciones relacionadas
En la alquilación de Friedel-Crafts, un ácido de Lewis (generalmente una simple sal de haluro de metal) promueve la escisión heterolítica de un enlace carbono-halógeno en un haluro de alquilo y genera una carbocación, que sufre una sustitución aromática electrófila. Aunque es muy útil en la síntesis, la reacción a menudo sufre de reacciones secundarias que surgen de la reorganización del carbocatión, la migración de alquilo y la sobrealquilación. De manera similar, en la acilación de Friedel-Crafts, un ácido de Lewis ayuda en la generación de un ion acilio a partir de un cloruro de ácido (u ocasionalmente anhídrido de ácido). Aunque a menudo se asume que el ion acilio es el intermedio activo,[25] existe evidencia de que la dicación de acilio protonado es el electrófilo activo que sufre una sustitución aromática electrófila posterior.[26]
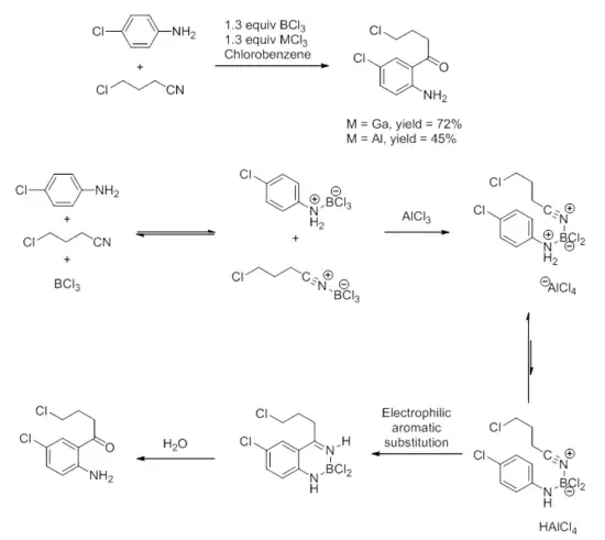
Las variantes importantes de la reacción de Friedel-Crafts incluyen clorometilación (con formaldehído y HCl), formilación (con HCl y CO o CN - ) y acilación con un nitrilo como fuente de acilo. La acilación basada en nitrilo es particularmente útil porque permite la ortoacilación directa de la anilina sin proteger el grupo amina.[27] Una combinación de un ácido de Lewis débil y uno fuerte es necesaria para que la reacción proceda, a través del mecanismo que se muestra a continuación. Guiados por este mecanismo y equipados con el conocimiento de que los trihaluros de galio se encuentran entre los ácidos de Lewis más fuertes,[28] químicos de procesos en Merck pudieron desarrollar condiciones altamente eficientes para esta condición hacia un candidato a fármaco.[29]
Catálisis asimétrica del ácido de Lewis
Ligandos quirales comunes
La catálisis asimétrica por los ácidos de Lewis se basa en catalizadores con ligandos quirales coordinados al centro del metal. A lo largo de los años, un pequeño número de andamios de ligandos quirales han destacado por tener propiedades catalíticas "privilegiadas" adecuadas para una amplia gama de aplicaciones, a menudo de mecanismos no relacionados. Los esfuerzos de investigación actuales en la catálisis asimétrica del ácido de Lewis utilizan principalmente o modifican esos ligandos en lugar de crear nuevos andamios de novo. Los andamios "privilegiados" comparten algunas características comunes, incluida la estabilidad química y la relativa facilidad de elaboración. La mayoría de los andamios son multidentados. La mayoría de ellos también tienen una alta rigidez del andamio dentro del ligando. Varios de ellos tienen modelos de estéreo inducción bastante maduros disponibles. Algunos andamios "privilegiados", según lo identificado por Jacobsen[30] y Zhou,[31] se presentan a continuación.
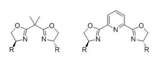
Bisoxazolinas (BOX)
Los ligandos de bisoxazolina quiral (BOX) más comunes consisten en dos restos de oxazolina quiral idénticos, sustituidos por un grupo voluminoso en las posiciones 4, unidos por un enlazador. El ligando es bidentado cuando el enlazador es una sola unidad de carbono, pero es tridentado (generalmente meridiano) cuando el enlazador tiene un átomo de coordinación adicional, como un nitrógeno piridina en el caso de los ligandos de PyBOX. El impacto de la denticidad del ligando y la geometría intermedia activa en el resultado estereoquímico se ha revisado exhaustivamente.[32]
Muchas reacciones catalizadas por ácido de Lewis basadas en BOX bidentadas se basan en catalizadores de cobre (II) con sustratos que son adecuados para la unión de dos puntos. El resultado estereoquímico es consistente con un intermediario plano cuadrado retorcido que se propuso basándose en las estructuras de cristal relacionadas.[33][34] El sustituyente en la posición 4 de la oxazolina bloquea una cara enantiotópica del sustrato, lo que lleva a la enantioselectividad. Esto se demuestra en la siguiente reacción de tipo aldol,[35] pero es aplicable a una amplia variedad de reacciones tales como reacciones de tipo Mannich,[36] reacción de ene,[37] adición de Michael,[38] ciclación de Nazarov,[39] y la reacción de hetero -Diels-Alder.[40]
Por otro lado, la unión de dos puntos en un ácido de Lewis que lleva el ligando PyBOX tridentado meridional daría como resultado un complejo piramidal cuadrado. Un estudio que utilizó (benciloxi) acetaldehído como electrófilo mostró que el resultado estereoquímico es consistente con la unión de oxígeno carbonilo ecuatorial y la unión de oxígeno del éter axialmente.[41]
BINAP
Desarrollado por Noyori, BINAP (2,2'-difenilfosfino-1,1'-binaftilo) es una familia de ligandos de difosfina quirales con dos restos de triarilfosfina instalados en un esqueleto de binaphthalene.[42] BINAP se quela en un metal (generalmente un metal de transición tardío) para formar un complejo asimétrico C2. Como se muestra a continuación en la estructura de un complejo de rutenio (R) -BINAP,[43] entre los cuatro sitios de coordinación restantes en un centro metálico octaédrico, los dos sitios ecuatoriales (púrpura) están fuertemente influenciados por los grupos fenilo ecuatoriales, mientras que los dos Los sitios axiales (verde) están influenciados por los grupos fenilo axiales.
-BINAP_Ligand_and_Complex.png)
Sobre la base de la estructura, se han propuesto modelos para la enantioselectividad observada en muchas reacciones catalizadas por ácido de Lewis basadas en BINAP. Por ejemplo, en la reacción enantioselectiva Diels-Alder catalizada por paladio que se muestra a continuación, se piensa que el dienófilo coordina el centro metálico en los sitios ecuatoriales. Por lo tanto, el grupo fenilo ecuatorial en el fósforo obstruye la cara Si, lo que resulta en una excelente enantioselectividad.[44] Se usó un modelo muy similar para racionalizar el resultado de una reacción de alquilación enolato asimétrica catalizada por níquel, donde el sustrato también tiene un auxiliar que le permite quelar sobre el metal.[45] Por otro lado, se piensa que una reacción de hetero-eno catalizada por cobre (I) procede a través de un intermedio tetraédrico,[46] ofrece un modo alternativo de estereoinducción al cambiar el centro metálico.
BINOL
BINOL (1,1'-binaphthyl-2,2'-diol) se usa generalmente junto con metales ácidos de Lewis oxófilos como el aluminio, el titanio, el circonio y varios metales de tierras raras. En los casos en que BINOL no proporciona un control enantioselectivo ideal, puede elaborarse fácilmente mediante la sustitución en las posiciones 3,3 '(mediante litiación) y las posiciones 6,6' (a través del compuesto 6,6'-dibromuro preparado por electrofílicos aromáticos). Sustitución) para modular propiedades estéticas masivas y electrónicas.[47] Por ejemplo, los catalizadores de aluminio basados en BINOL sustituido con 3,3'-disililo voluminoso se han desarrollado como ejemplos tempranos de reacción de hetero -Diels-Alder catalítico asimétrico[48] y reordenación de Claisen,[49] mientras que la introducción de grupos de extracción de electrones en el Las posiciones 6,6 'fueron cruciales para aumentar la acidez de Lewis y, por lo tanto, la actividad catalítica de los catalizadores de zirconio (IV) hacia una reacción de Mannich.[50] Hasta la fecha, sin embargo, ningún modelo para los factores cruciales que gobiernan la estereoinducción dirigida por BINOL ha sido generalmente aceptado.
TADDOL
TADDOL significa tetraaril-1,3-dioxolano-4,5-dimetanol. La amplia aplicación de los catalizadores de titanio TADDOLate en adiciones de carbonilo y cicloadiciones ha sido introducida por Seebach y colaboradores, y se ha resumido a fondo en una revisión seminal, en la que se incluyó un modelo de estereoinducción funcional que coincidía con la selectividad observada en una amplia variedad de reacciones. En adelante, a pesar de la falta de una imagen clara del mecanismo.[51]
Aplicaciones
La catálisis ácida de Lewis se ha utilizado en la etapa de establecimiento de asimetría para la síntesis de muchos productos naturales. La primera reacción que se muestra a continuación, a partir de la síntesis del esqueleto de taxano, utiliza un catalizador a base de cobre soportado por un ligando de fosforamidita quiral para una reacción de adición de carbonilo conjugado.[52] La segunda reacción, a partir de la síntesis de ent - hiperforina, utiliza un catalizador de hierro-PyBOX para una reacción asimétrica de Diels-Alder.[53]
Véase también
Referencias
- ↑ Carey, Fransis A.; Sundberg, Richard J. (2007). Advanced Organic Chemistry : Part A: Structure and Mechanisms (5. edición). Berlin: Springer US. ISBN 9780387683461.
- ↑ Childs, R.F; Mulholland, D.L; Nixon, A. (1982). «Lewis acid adducts of α,β-unsaturated carbonyl and nitrile compounds. A nuclear magnetic resonance study». Can. J. Chem. 60 (6): 801-808. doi:10.1139/v82-117.
- ↑ Yamamoto, Hisashi (ed.) (2000). Lewis acids in organic synthesis. Weinheim: Wiley-VCH. ISBN 978-3527295791.
- ↑ Denmark, S.E.; Willson, T.M. in Selectivities in Lewis Acid Promoted Reactions, Schinzer, D., Ed.; Kluwer Academic Publishers, 1989, pp. 247–263.
- ↑ Yates, Peter; Eaton, Philip (20 de agosto de 1960). «ACCELERATION OF THE DIELS-ALDER REACTION BY ALUMINUM CHLORIDE». Journal of the American Chemical Society 82 (16): 4436-4437. doi:10.1021/ja01501a085.
- ↑ Houk, K. N.; Strozier, R. W. (1 de junio de 1973). «Lewis acid catalysis of Diels-Alder reactions». Journal of the American Chemical Society 95 (12): 4094-4096. doi:10.1021/ja00793a070.
- ↑ Shambayati, S.; Schreiber, S.L. Lewis Acid Carbonyl Complexation, in Comprehensive Organic Synthesis, Trost, B.M.; Fleming, I., Eds. Pergamon, Oxford, 1991, vol. 1, chap. 1.10, pp. 283–324.
- ↑ Corcoran, Robert C.; Ma, Junning (1 de junio de 1992). «Geometrical aspects of the activation of ketones by Lewis acids». Journal of the American Chemical Society 114 (12): 4536-4542. doi:10.1021/ja00038a014.
- ↑ Hayashi, Tamio; Kabeta, Keiji; Hamachi, Itaru; Kumada, Makoto (1 de enero de 1983). «Erythroselectivity in addition of γ-substituted allylsilanes to aldehydes in the presence of titanium chloride». Tetrahedron Letters 24 (28): 2865-2868. doi:10.1016/S0040-4039(00)88045-4.
- ↑ Heathcock, Clayton H.; Hug, Kathleen T.; Flippin, Lee A. (1 de enero de 1984). «Acyclic stereoselection. 27. Simple diastereoselection in the lewis acid mediated reactions of enolsilanes with aldehydes.». Tetrahedron Letters 25 (52): 5973-5976. doi:10.1016/S0040-4039(01)81736-6.
- ↑ Evans, David A.; Allison, Brett D.; Yang, Michael G.; Masse, Craig E. (1 de noviembre de 2001). «The Exceptional Chelating Ability of Dimethylaluminum Chloride and Methylaluminum Dichloride. The Merged Stereochemical Impact of α- and β-Stereocenters in Chelate-Controlled Carbonyl Addition Reactions with Enolsilane and Hydride Nucleophiles». Journal of the American Chemical Society 123 (44): 10840-10852. PMID 11686685. doi:10.1021/ja011337j.
- ↑ Heathcock, Clayton H.; Kiyooka, Syunichi; Blumenkopf, Todd A. (1 de noviembre de 1984). «Acyclic stereoselection. 22. Diastereofacial selectivity in the Lewis acid mediated reactions of allylsilanes with chiral aldehydes and enones». The Journal of Organic Chemistry 49 (22): 4214-4223. doi:10.1021/jo00196a022.
- ↑ Inukai, Takashi; Kojima, Takeshi (1 de abril de 1966). «Catalytic Actions of Aluminum Chloride on the Isoprene—Methyl Acrylate Diels-Alder Reaction». The Journal of Organic Chemistry 31 (4): 1121-1123. doi:10.1021/jo01342a031.
- ↑ García, J. I.; Martínez-Merino, V.; Mayoral, J. A.; Salvatella, L. (1 de marzo de 1998). «Density Functional Theory Study of a Lewis Acid Catalyzed Diels−Alder Reaction. The Butadiene + Acrolein Paradigm». Journal of the American Chemical Society 120 (10): 2415-2420. doi:10.1021/ja9722279.
- ↑ Carey, Francis A.; Sundberg, Richard J. (2007). Reactions and synthesis. (5. edición). New York, NY: Springer. p. 871. ISBN 9780387683508.
- ↑ Singleton, Daniel A.; Hang, Chao (1 de febrero de 2000). «13C and 2H Kinetic Isotope Effects and the Mechanism of Lewis Acid-Catalyzed Ene Reactions of Formaldehyde». The Journal of Organic Chemistry 65 (3): 895-899. PMID 10814025. doi:10.1021/jo9917590.
- ↑ Mikami, Koichi; Shimizu, Masaki (1 de julio de 1992). «Asymmetric ene reactions in organic synthesis». Chemical Reviews 92 (5): 1021-1050. doi:10.1021/cr00013a014.
- ↑ Mikami, Koichi; Loh, Teck Peng; Nakai, Takeshi (1 de agosto de 1990). «Carbonyl-ene reaction with vinylsilanes: silicon as a controlling element for regio- and stereochemistry». Journal of the American Chemical Society 112 (18): 6737-6738. doi:10.1021/ja00174a058.
- ↑ Yamanaka, Masahiro; Mikami, Koichi (1 de diciembre de 2002). «Theoretical Studies on the Diastereoselectivity in the Lewis Acid Catalyzed Carbonyl-Ene Reaction: A Fundamental Role of Electrostatic Interaction». Helvetica Chimica Acta 85 (12): 4264-4271. doi:10.1002/hlca.200290011.
- ↑ Ramharter, Jürgen; Weinstabl, Harald; Mulzer, Johann (20 de octubre de 2010). «Synthesis of the Lycopodium Alkaloid (+)-Lycoflexine». Journal of the American Chemical Society 132 (41): 14338-14339. PMID 20866095. doi:10.1021/ja107533m.
- ↑ Evans, David A.; Barrow, James C.; Leighton, James L.; Robichaud, Albert J.; Sefkow, Michael (1 de diciembre de 1994). «Asymmetric Synthesis of the Squalene Synthase Inhibitor Zaragozic Acid C». Journal of the American Chemical Society 116 (26): 12111-12112. doi:10.1021/ja00105a085.
- ↑ Jung, Michael E.; Chang, Jonah J. (2 de julio de 2010). «Enantiospecific Formal Total Synthesis of (+)-Fawcettimine». Organic Letters 12 (13): 2962-2965. PMID 20515058. doi:10.1021/ol1009762.
- ↑ Deng, Jun; Zhu, Bo; Lu, Zhaoyong; Yu, Haixin; Li, Ang (18 de enero de 2012). «Total Synthesis of (−)-Fusarisetin A and Reassignment of the Absolute Configuration of Its Natural Counterpart». Journal of the American Chemical Society 134 (2): 920-923. PMID 22239597. doi:10.1021/ja211444m.
- ↑ Evans, David A.; Scheidt, Karl A.; Downey, C. Wade (1 de septiembre de 2001). «Synthesis of (−)-Epibatidine». Organic Letters 3 (19): 3009-3012. PMID 11554830. doi:10.1021/ol016420q.
- ↑ Olah, G. A. (ed.) Friedel-Crafts and Related Reactions Interscience, New York, 1964
- ↑ Sato, Yasuo; Yato, Michihisa; Ohwada, Tomohiko; Saito, Shinichi; Shudo, Koichi (1 de marzo de 1995). «Involvement of Dicationic Species as the Reactive Intermediates in Gattermann, Houben-Hoesch, and Friedel-Crafts Reactions of Nonactivated Benzenes». Journal of the American Chemical Society 117 (11): 3037-3043. doi:10.1021/ja00116a009.
- ↑ Sugasawa, Tsutomu; Toyoda, Tatsuo; Adachi, Makoto; Sasakura, Kazuyuki (1 de julio de 1978). «Aminohaloborane in organic synthesis. 1. Specific ortho substitution reaction of anilines». Journal of the American Chemical Society 100 (15): 4842-4852. doi:10.1021/ja00483a034.
- ↑ Olah, George A.; Kobayashi, Shiro; Tashiro, Masashi (1 de octubre de 1972). «Aromatic substitution. XXX. Friedel-Crafts benzylation of benzene and toluene with benzyl and substituted benzyl halides». Journal of the American Chemical Society 94 (21): 7448-7461. doi:10.1021/ja00776a030.
- ↑ Yasuda, Nobuyoshi (ed.) (2009). The Art of Process Chemistry. Weinheim, Bergstr: Wiley-VCH. pp. 1–43. ISBN 9783527324705.
- ↑ Yoon, T. P.; Jacobsen, Eric N. (14 de marzo de 2003). «Privileged Chiral Catalysts». Science 299 (5613): 1691-1693. Bibcode:2003Sci...299.1691Y. PMID 12637734. doi:10.1126/science.1083622.
- ↑ Zhou, Qi-Lin (ed.) (2011). Privileged chiral ligands and catalysts. Weinheim, Germany: Wiley-VCH. ISBN 9783527327041.
- ↑ Rasappan, Ramesh; Laventine, Dominic; Reiser, Oliver (1 de marzo de 2008). «Metal-bis(oxazoline) complexes: From coordination chemistry to asymmetric catalysis». Coordination Chemistry Reviews 252 (5–7): 702-714. doi:10.1016/j.ccr.2007.11.007.
- ↑ Evans, David A.; Miller, Scott J.; Lectka, Thomas; von Matt, Peter (1 de agosto de 1999). «Chiral Bis(oxazoline)copper(II) Complexes as Lewis Acid Catalysts for the Enantioselective Diels−Alder Reaction». Journal of the American Chemical Society 121 (33): 7559-7573. doi:10.1021/ja991190k.
- ↑ Thorhauge, Jacob; Roberson, Mark; Hazell, Rita G.; Jørgensen, Karl Anker (15 de abril de 2002). «On the Intermediates in Chiral Bis(oxazoline)copper(II)-Catalyzed Enantioselective Reactions—Experimental and Theoretical Investigations». Chemistry: A European Journal 8 (8): 1888. doi:10.1002/1521-3765(20020415)8:8<1888::AID-CHEM1888>3.0.CO;2-9.
- ↑ Evans, David A.; Burgey, Christopher S.; Kozlowski, Marisa C.; Tregay, Steven W. (1 de febrero de 1999). «-Symmetric Copper(II) Complexes as Chiral Lewis Acids. Scope and Mechanism of the Catalytic Enantioselective Aldol Additions of Enolsilanes to Pyruvate Esters». Journal of the American Chemical Society 121 (4): 686-699. doi:10.1021/ja982983u.
- ↑ Marigo, Mauro; Kjærsgaard, Anne; Juhl, Karsten; Gathergood, Nicholas; Jørgensen, Karl Anker (23 de mayo de 2003). «Direct Catalytic Asymmetric Mannich Reactions of Malonates and -Keto Esters». Chemistry: A European Journal 9 (10): 2359-2367. doi:10.1002/chem.200204679.
- ↑ Evans, David A.; Burgey, Christopher S.; Paras, Nick A.; Vojkovsky, Tomas; Tregay, Steven W. (1 de junio de 1998). «C2-Symmetric Copper(II) Complexes as Chiral Lewis Acids. Enantioselective Catalysis of the Glyoxylate−Ene Reaction». Journal of the American Chemical Society 120 (23): 5824-5825. doi:10.1021/ja980549m.
- ↑ Evans, David A.; Willis, Michael C.; Johnston, Jeffrey N. (1 de septiembre de 1999). «Catalytic Enantioselective Michael Additions to Unsaturated Ester Derivatives Using Chiral Copper(II) Lewis Acid Complexes». Organic Letters 1 (6): 865-868. PMID 10823215. doi:10.1021/ol9901570.
- ↑ Aggarwal, Varinder K.; Belfield, Andrew J. (1 de diciembre de 2003). «Catalytic Asymmetric Nazarov Reactions Promoted by Chiral Lewis Acid Complexes». Organic Letters 5 (26): 5075-5078. PMID 14682768. doi:10.1021/ol036133h.
- ↑ Yao, Sulan; Johannsen, Mogens; Audrain, Hélène; Hazell, Rita G.; Jørgensen, Karl Anker (1 de septiembre de 1998). «Catalytic Asymmetric Hetero-Diels−Alder Reactions of Ketones: Chemzymatic Reactions». Journal of the American Chemical Society 120 (34): 8599-8605. doi:10.1021/ja981710w.
- ↑ Evans, David A.; Kozlowski, Marisa C.; Murry, Jerry A.; Burgey, Christopher S.; Campos, Kevin R.; Connell, Brian T.; Staples, Richard J. (1 de febrero de 1999). «C2-Symmetric Copper(II) Complexes as Chiral Lewis Acids. Scope and Mechanism of Catalytic Enantioselective Aldol Additions of Enolsilanes to (Benzyloxy)acetaldehyde». Journal of the American Chemical Society 121 (4): 669-685. doi:10.1021/ja9829822.
- ↑ Miyashita, A.; Takaya, H.; Souchi, T.; Noyori, R. (1 de enero de 1984). «2, 2'-bis(diphenylphosphino)-1, 1'-binaphthyl(binap)». Tetrahedron 40 (8): 1245-1253. doi:10.1016/S0040-4020(01)82411-X.
- ↑ Akotsi, Okwado M.; Metera, K; Reid, R.D.; McDonald, R; Bergens, S. H. (19 de mayo de 2000). «Versatile precursor to ruthenium-bis(phosphine) hydrogenation catalysts». Chirality 12 (5–6): 514-522. doi:10.1002/(SICI)1520-636X(2000)12:5/6<514::AID-CHIR38>3.0.CO;2-#.
- ↑ Ghosh, Arun K.; Matsuda, Hideho (1 de diciembre de 1999). «Counterions of BINAP−Pt(II) and −Pd(II) Complexes: Novel Catalysts for Highly Enantioselective Diels−Alder Reaction». Organic Letters 1 (13): 2157-2159. PMID 10836069. doi:10.1021/ol990346i.
- ↑ Evans, David A.; Thomson, Regan J. (1 de agosto de 2005). «Ni(II) Tol-BINAP-Catalyzed Enantioselective Orthoester Alkylations of N-Acylthiazolidinethiones». Journal of the American Chemical Society 127 (30): 10506-10507. PMID 16045335. doi:10.1021/ja053386s.
- ↑ Yamamoto, Yuhei; Yamamoto, Hisashi (1 de abril de 2004). «Catalytic, Highly Enantio, and Diastereoselective Nitroso Diels−Alder Reaction». Journal of the American Chemical Society 126 (13): 4128-4129. PMID 15053601. doi:10.1021/ja049849w.
- ↑ Chen, Yu; Yekta, Shahla; Yudin, Andrei K. (1 de agosto de 2003). «Modified BINOL Ligands in Asymmetric Catalysis». Chemical Reviews 103 (8): 3155-3212. PMID 12914495. doi:10.1021/cr020025b.
- ↑ Maruoka, Keiji.; Itoh, Takayuki.; Shirasaka, Tadashi.; Yamamoto, Hisashi. (1 de enero de 1988). «Asymmetric hetero-Diels-Alder reaction catalyzed by a chiral organoaluminum reagent». Journal of the American Chemical Society 110 (1): 310-312. doi:10.1021/ja00209a061.
- ↑ Maruoka, Keiji; Hiroshi Banno; Hisashi Yamamoto (1990). «Asymmetric Claisen rearrangement catalyzed by chiral organoaluminum reagent». J. Am. Chem. Soc. 112 (21): 7791-7793. doi:10.1021/ja00177a047.
- ↑ Ishitani, Haruro; Ueno, Masaharu; Kobayashi, Shū (1 de agosto de 2000). «Enantioselective Mannich-Type Reactions Using a Novel Chiral Zirconium Catalyst for the Synthesis of Optically Active β-Amino Acid Derivatives». Journal of the American Chemical Society 122 (34): 8180-8186. doi:10.1021/ja001642p.
- ↑ Seebach, Dieter; Beck, Albert K.; Heckel, Alexander (5 de enero de 2001). «TADDOLs, Their Derivatives, and TADDOL Analogues: Versatile Chiral Auxiliaries». Angewandte Chemie International Edition 40 (1): 92-138. doi:10.1002/1521-3773(20010105)40:1<92::AID-ANIE92>3.0.CO;2-K.
- ↑ Mendoza, Abraham; Ishihara, Yoshihiro; Baran, Phil S. (6 de noviembre de 2011). «Scalable enantioselective total synthesis of taxanes». Nature Chemistry 4 (1): 21-25. Bibcode:2012NatCh...4...21M. PMC 3243931. PMID 22169867. doi:10.1038/nchem.1196.
- ↑ Shimizu, Yohei; Shi, Shi-Liang; Usuda, Hiroyuki; Kanai, Motomu; Shibasaki, Masakatsu (1 de febrero de 2010). «Catalytic Asymmetric Total Synthesis of ent-Hyperforin». Angewandte Chemie International Edition 49 (6): 1103-1106. PMID 20063336. doi:10.1002/anie.200906678.
