Catión arenio

En química orgánica, un catión arenio es un catión de ciclohexadienilo que parece ser un intermediario reactivo en la sustitución electrofílica aromática.[1] Por razones históricas, este ion también es denominado intermediario de Wheland,[2] complejo sigma o complejo σ.
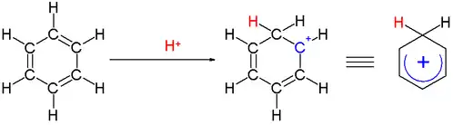
Dos átomos de hidrógeno unidos a un átomo de carbono yacen en un plano perpendicular al anillo bencénico.[3] El ion arenio ya no es una especie aromática; sin embargo es relativamente estable debido a la deslocalización: la carga positiva está deslocalizada en 5 átomos de carbono mediante el sistema π, como lo muestra las siguientes estructuras en resonancia:
Otra contribución a la estabilidad de los iones arenio resulta del fuerte enlace entre el anillo bencénico y el electrófilo complexado.
El ion arenio más pequeño es el benceno protonado, C6H7+. El ion bencenio puede ser aislado como compuesto estable cuando el benceno es protonado por el superácido carborano H(CB11H(CH3)5Br6).[4] La sal de bencenio es cristalina, siendo térmicamente estable hasta 150 °C. Las longitudes de enlace deducidas a partir de la cristalografía de rayos X son consistentes con una estructura de catión ciclohexadienilo.
Existen más métodos para la generación de iones arenio estables. En un estudio, un ion metilenarenio es estabilizado por complexación con metal:[5][6]
Véase también
Referencias
- ↑ Stable carbocations. CXVIII. General concept and structure of carbocations based on differentiation of trivalent (classical) carbenium ions from three-center bound penta- of tetracoordinated (nonclassical) carbonium ions. Role of carbocations in electrophilic reactions George A. Olah J. Am. Chem. Soc.; 1972; 94(3) pp 808 - 820; doi 10.1021/ja00758a020
- ↑ A Quantum Mechanical Investigation of the Orientation of Substituents in Aromatic Molecules G. W. Wheland J. Am. Chem. Soc.; 1942; 64(4) pp 900 - 908; doi 10.1021/ja01256a047
- ↑ A guidebook to mechanism in organic chemistry, Peter Sykes; pp 130-133
- ↑ Isolating Benzenium Ion Salts Christopher A. Reed, Kee-Chan Kim, Evgenii S. Stoyanov, Daniel Stasko, Fook S. Tham, Leonard J. Mueller, and Peter D. W. Boyd J. Am. Chem. Soc.; 2003; 125(7) pp 1796 - 1804; doi 10.1021/ja027336o
- ↑ Synthesis and Reactivity of the Methylene Arenium Form of a Benzyl Cation, Stabilized by Complexation Elena Poverenov, Gregory Leitus, and David Milstein J. Am. Chem. Soc.; 2006; 128(51) pp 16450 - 16451; (Communication) doi 10.1021/ja067298z
- ↑ En esta secuencia de reacciones, el complejo inicial R-Pd(II)-Br 1 estabilizado por TMEDA es oxidado por el dtpp al complejo metálico 2. El ataque electrofílico del triflato de metilo forma ion metilenarenio 3 con carga positiva localizada en la posición para aromática, y con el grupo metileno 6° fuera del plano del anillo. La reacción, primero con agua, y luego con trietilamina, hidroliza el grupo éter.


