Citidina trifosfato
| Citidina trifosfato | ||
|---|---|---|
![]() | ||
| Nombre IUPAC | ||
| [(2R,3S,4R,5R)-5-(4-amino-2-oxopirimidin-1-il)-3,4-dihidroxioxolan-2-il]metil(hidroxi-fosfonooxifosforil)hidrógeno fosfato | ||
| General | ||
| Otros nombres | CTP; Citidina-5'-trifosfato; Citidina 5'-(tetrahidrógeno trifosfato) | |
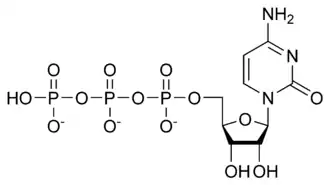
| Fórmula estructural |
![]() | |
| Fórmula molecular | C9H16N3O14P3 | |
| Identificadores | ||
| Número CAS | 65-47-4[1] | |
| ChEBI | 17677 | |
| ChEMBL | CHEMBL223533 | |
| ChemSpider | 19952488 | |
| DrugBank | DB02431 | |
| PubChem | 6176 | |
| UNII | K0118UX80T | |
| KEGG | C00063 | |
| Propiedades físicas | ||
| Masa molar | 483,156 g/mol | |
| Valores en el SI y en condiciones estándar (25 ℃ y 1 atm), salvo que se indique lo contrario. | ||
La citidina trifosfato (abreviadamente CTP, del inglés "cytidine triphosphate") es el nucleótido de citosina. Una molécula clave en el metabolismo de todos los seres vivos.
El CTP es una molécula altamente energética, como el ATP, pero su papel en el organismo es más específico que el de este. Mientras que el papel del ATP es ser la molécula de intercambio energético de la célula, el CTP es utilizado como coenzima en reacciones metabólicas como la síntesis de glicerofosfolípidos y la glucosilación de proteínas. Por otro lado, al igual que el ATP, es uno de los cinco nucleótidos imprescindibles para la síntesis del DNA y del RNA.
Referencias
Véase también

