Compuesto de organocobalto
Un compuesto de organocobalto es un compuesto organometálico que contiene un enlace químico entre átomos de carbono y cobalto. Los compuestos de organocobalto están involucrados en diversas reacciones orgánicas y en importantes biomoléculas como la vitamina B12 que posee un enlace cobalto-carbono. Muchos compuestos de organocobalto se investigan por sus propiedades catalíticas.[1]
La química de organocobalto estudia las propiedades químicas y reactividad de estos compuestos. Un primer ejemplo de la misma es la carbonilación de azobenceno con octacarbonildicobalto que fue descrita por Murahashi y Horiie en 1956:[2]
Las características básicas de los compuestos de organocobalto son las siguientes:
- Facilidad para formar complejos con alquinos, por ejemplo en el complejo hexacarbonildifenilacetilendicobalto, facilidad para formar complejos con compuestos dieno y con compuestos ciclobutadieno, facilidad para la formación de compuestos sándwich
- Alta afinidad del cobalto por los carbonilos. Existen muchos carbonilos metálicos de cobalto.
- Facilidad para formar compuestos de nitrógeno u oxígeno con geometría molecular octaédrica en la base y formación de enlaces Co-C en posición axial, como en la vitamina B12.
Complejos con triple enlace
El cobalto forma complejos con alquinos y compuestos ciano, ambos con triple enlace. Esta propiedad se aprovecha con el uso de octacarbonildicobalto como grupo protector de los alquinos. En la reacción de Nicholas un grupo alquino está también protegido y al mismo tiempo la posición del carbono alfa se activa para las sustituciones nucleofílicas.
Reacciones de ciclación
Los compuestos de cobalto reaccionan con dialquinos y dienos para dar intermedios cíclicos en las ciclometalaciones, un tipo de reacciones de ciclación. Otros alquinos, alquenos, nitrilos o el monóxido de carbono también pueden insertarse en el enlace Co-C. Algunos ejemplos de reacciones basadas en este concepto son la reacción de Pauson-Khand (inserción de CO) y la trimerización de alquinos (en particular con ciclopentadienildicarbonilcobalto).
Carbonilaciones
Los compuestos de organocobalto se utilizan como catalizadores en las reacciones de carbonilación, y más concretamente en la hidroformilación, la formación de aldehídos a partir de un alqueno, formaldehído e hidrógeno. Un importante catalizador de este tipo de reacción es HCo(CO)4 (hidrocarbonilcobalto), antes utilizado en la producción industrial de butiraldehído a partir de propileno. En estos procesos, los catalizadores de cobalto compiten con los catalizadores de rodio como el HRh(CO)(PPh3)4. En las hidrocarboxilaciones, el hidrógeno se sustituye por agua o un alcohol y el producto de la reacción es un ácido carboxílico o un éster. Un ejemplo de este tipo de reacción es la conversión del butadieno en ácido adípico.
Los catalizadores de cobalto (junto con los de hierro) son relevantes en los procesos de Fischer-Tropsch en los que el gas de síntesis se convierte en hidrocarburos. La secuencia de la reacción básica se muestra a continuación:[3]
Compuestos tipo vitamina B12
En la vitamina B12, el cobalto tiene una geometría octaédrica con un enlace Co-C en posición axial. En la metilcobalamina el ligando es un grupo metil.
Compuestos sándwich
Los compuestos de organocobalto forman compuestos sándwich. El cobaltoceno es un metaloceno de 19 electrones, el compuesto CoCp(C6(Me)6) tiene 20 electrones y el Co(C6(Me)6)2 posee 21 electrones. El ligando de Kläui se une a metales.
Polimerización radicalaria mediada por cobalto
El débil enlace cobalto (III) - carbono es usado en la llamada polimerización radicalaria mediada por cobalto (CMRP), que es un tipo de polimerización radicalaria controlada.[4] Un enlace Co-C que contiene un iniciador de radicales se rompe (por el calor o la luz) en laun radical libre carbono y especies radicales de cobalto (II). El radical carbono inicia la formación de la cadena polimérica uniéndose al monómero, por ejemplo un alqueno, como en cualquier polimerización radicalaria común. El cobalto es inusual, ya que puede reformar reversiblemente un enlace covalente con el término del carbono radical de la cadena en crecimiento. Esto reduce la concentración de radicales al mínimo y también las reacciones de terminación no deseadas por recombinación de dos radicales carbono. El reactivo que captura el cobalto es llamado radical persistente y la cadena de polímero cubierta de cobalto se dice que está latente. Estas polimerizaciones pueden considerarse como una serie de reacciones de carbometalación de monómeros vinilo. Cuando el monómero carece de protones que puedan ser fácilmente ganados por el radical cobalto, se transfiere la cadena (catalítica).
Por esta razón, los monómeros preferidos son los ésteres acrílicos y de vinilo (por ejemplo, acetato de vinilo), ácido acrílico y acrilonitrilo. La temperatura de reacción suele estar entre 0 y 60 °C.
El concepto fue introducido de forma independiente por dos grupos en 1994.[5][6] Otros compuestos de cobalto muy estudiados son las cobaloximas, las porfirinas de cobalto y los derivados de Co(acac)2, utilizados en combinación con otros iniciadores radicales.
La polimerización radical mediada por cobalto también puede seguir diferentes mecanismos, como por ejemplo transfencia de cadena catalítica o transferencia degenerativa:
Ciclotrimerización
Los compuestos de cobalto son catalizadores en la trimerización de alquinos. En el ejemplo del fenilacetileno un sistema catalizador simple de bromuro de cobalto (II)/zinc/yoduro de zinc es suficiente para obtener un 99% de rendimiento químico y el 97% de regioselectividad a favor del producto de reacción orto sustituido 1.[7]

Mecanismo
El mecanismo de reacción para la trimerización es bastante conocido. Un mecanismo de 2007 que concuerda con datos in silico y experimentales se muestra a continuación para el cobaltoceno, un catalizador de cobalto.

El ligando L en el compuesto de 18 electrones CpCoL2 (A) puede ser trifenilfosfina o monóxido de carbono. Estos ligandos se sustituyen por el alquino en dos etapas, formando primero B y luego C que entra en el ciclo catalítico por acoplamiento oxidativo con el metalaciclo de 16 electrones de valencia cobaltaciclopentadieno D. Este compuesto se forma en estado singlete y por lo tanto primero se relaja en el estado triplete. Este intermedio se coordina con otro equivalente de ligando para formar E y luego forma cobaltanorborneno F (véase: norbornadieno) aceptando una unidad de alquino en una etapa de [4+2] cicloadición. En el último paso se libera benceno en un eliminación reductiva con la formación de CpCoL que puede volver a entrar en el ciclo mediante la aceptación de dos unidades de alquino. Cuando el ligando no es un donante sigma, por ejemplo, etileno o THF (como disolvente) o cuando el alquino es deficiente en electrones como en el ácido butinodioico, interviene un ciclo diferente en donde otra unidad de alquino y no de ligando se suma al intermedio D. En el resto de este ciclo (no representado), el nuevo intermedio forma un complejo CpCo(η4areno) y luego un compuesto sándwich CpCo(η6areno) antes de eliminar benceno y CpCo.
Explicación
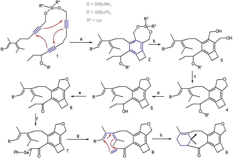
En un estudio, una combinación de un trimerización [2+2+2] y una [4+2] cicloadición da acceso a un análogo del taxol[8] (Esquema 2[9]). En esta secuencia de la reacción, la trimerización se lleva a cabo en el xileno actuando como catalizador el cobaltoceno CpCo(CO)2 (una unidad de Cp sustituida con dos ligandos de monóxido de carbono y con irradiación. Los dos componentes principales se mantienen unidos por un enlace intramolecular temporal de silicio.

El octacarbonilodicobalto cataliza la trimerización para dar un hexaquis(4-ferrocenilfenil)benceno:[10][11]

Véase también
- Enlaces químicos de carbono con otros elementos de la tabla periódica:
Enlaces químicos del carbono con el resto de átomos
| CH | He | |||||||||||||||||
| CLi | CBe | CB | CC | CN | CO | CF | Ne | |||||||||||
| CNa | CMg | CAl | CSi | CP | CS | CCl | CAr | |||||||||||
| CK | CCa | CSc | CTi | CV | CCr | CMn | CFe | CNi | CCu | CZn | CGa | CGe | CAs | CSe | CBr | CKr | ||
| CRb | CSr | CY | CZr | CNb | CMo | CTc | CRu | CRh | CPd | CAg | CCd | CIn | CSn | CSb | CTe | CI | CXe | |
| CCs | CBa | CHf | CTa | CW | CRe | COs | CIr | CPt | CAu | CHg | CTl | CPb | CBi | CPo | CAt | Rn | ||
| Fr | CRa | Rf | Db | CSg | Bh | Hs | Mt | Ds | Rg | Cn | Nh | Fl | Mc | Lv | Ts | Og | ||
| ↓ | ||||||||||||||||||
| CLa | CCe | CPr | CNd | CPm | CSm | CEu | CGd | CTb | CDy | CHo | CEr | CTm | CYb | CLu | ||||
| Ac | CTh | CPa | CU | CNp | CPu | CAm | CCm | CBk | CCf | CEs | Fm | Md | No | Lr | ||||
| Química orgánica básica. | Muchos usos en Química. |
| Investigación académica, pero no un amplio uso. |
Enlace desconocido / no evaluado. |
Referencias
- ↑ Omae, Iwao (2007). «Three characteristic reactions of organocobalt compounds in organic synthesis». Applied Organometallic Chemistry 21 (5): 318. doi:10.1002/aoc.1213.
- ↑ Murahashi, Shunsuke; Horiie, Shigeki (1956). Journal of the American Chemical Society 78 (18): 4816. doi:10.1021/ja01599a079.
- ↑ Advanced Organic Chemistry F.A. Carey R.J. Sundberg 2nd Ed.
- ↑ Antoine, Debuigne; Poli, Rinaldo; Jérôme, Christine; Jérôme, Robert; Detrembleur, Christophe (2009). «Overview of cobalt-mediated radical polymerization: Roots, state of the art and future prospects». Progress in Polymer Science 34 (3): 211-239. doi:10.1016/j.progpolymsci.2008.11.003.
- ↑ Wayland, Bradford B.; Poszmik, George; Mukerjee, Shakti L.; Fryd, Michael (1994). «Living Radical Polymerization of Acrylates by Organocobalt Porphyrin Complexes». Journal of the American Chemical Society 116 (17): 7943. doi:10.1021/ja00096a080.
- ↑ Arvanitopoulos, LD, Greuel, MP, Harwood, HJ. (1994). «"Living" free radical polymerization using alkyl cobaloximes as photoinitiators». The American Chemical Society 208: 402.
- ↑ Gerhard Hilt , Thomas Vogler, Wilfried Hess, Fabrizio Galbiati (2005). «A simple cobalt catalyst system for the efficient and regioselective cyclotrimerisation of alkynes». Chemical Communications 2005 (11): 1474-1475. PMID 15756340. doi:10.1039/b417832g.
- ↑ G. Chouraqui, M. Petit, P. Phansavath, C. Aubert and M. Malacria (2006). «From an Acyclic, Polyunsaturated Precursor to the Polycyclic Taxane Ring System: The [4+2]/[2+2+2] and [2+2+2]/[4+2] Cyclization Strategies». European Journal of Organic Chemistry 2006 (6): 1413-1421. doi:10.1002/ejoc.200500762.
- ↑ Secuencia de la reacción : a] CpCo(CO)2, xileno, irradiación b] desililación por fluoruro de tetra-n-butilamonio c] cierre del anillo intramolecular por butillitio (oxígeno nucleófilo) y cloruro de tosilo (tosilo como grupo saliente) e] desililación por fluoruro de tetra-n-butilamonio e] oxidación de ácido IBX a cetona f] formación de enolato con NaHMDS seguida por selenación con cloruro de fenilselenio g] oxidación del selenio y eliminación con peryodato de sodio h] reacción de Diels-Alder con trifluoruro de boro
- ↑ V. J. Chebny, D. Dhar, S. V. Lindeman and R. Rathore (2006). «Simultaneous Ejection of Six Electrons at a Constant Potential by Hexakis(4-ferrocenylphenyl)benzene». Org. Lett. 8 (22): 5041-5044. PMID 17048838. doi:10.1021/ol061904d.
- ↑ En una reacción redox los seis ferrocenos substituyentes pierden un electrón uno al mismo potencial.


