Conjunto

En matemáticas, un conjunto se define como la agrupación de elementos que comparten una propiedad en común y conforman un todo.
Por ejemplo, el conjunto de los colores del arcoíris es:
- AI = {rojo, naranja, amarillo, verde, azul, añil, violeta}
Un conjunto suele definirse mediante la propiedad que poseen todos sus elementos. El conjunto de los números primos, dentro de los naturales, se define por la propiedad de ser números con solo dos divisores naturales.(véase Número Primo)
- P = {2, 3, 5, 7, 11, 13, …}
Formalmente, un conjunto es el tipo de objeto matemático del que tratan los axiomas de Zermelo-Fraenkel.
Historia de conjuntos

El concepto de conjunto como objeto abstracto no comenzó a emplearse en matemáticas hasta el siglo XIX, a medida que se despejaban las dudas sobre la noción de infinito.[1] Los trabajos de Bernard Bolzano y Bernhard Riemann ya contenían ideas relacionadas con una visión conjuntista de la matemática. Las contribuciones de Richard Dedekind al álgebra estaban formuladas en términos claramente conjuntistas, que aún prevalecen en la matemática moderna: relaciones de equivalencia, particiones, homomorfismos, etc., y él mismo explicitó las hipótesis y operaciones relativas a conjuntos que necesitó en su trabajo.
La teoría de conjuntos como disciplina independiente se atribuye usualmente a Georg Cantor. Comenzando con sus investigaciones sobre conjuntos numéricos, desarrolló un estudio sobre los conjuntos infinitos y sus propiedades. La influencia de Dedekind y Cantor empezó a ser determinante a finales del siglo XIX, en el proceso de «axiomatización» de la matemática, en el que todos los objetos matemáticos, como los números, las funciones y las diversas estructuras, fueron construidos con base en los conjuntos.
Definición
[…] entiendo en general por variedad o conjunto toda multiplicidad que puede ser pensada como unidad, esto es, toda colección de elementos determinados que pueden ser unidos en una totalidad mediante una ley.
|
Un conjunto es una colección bien definida de objetos, reales o imaginarios; dichos objetos pueden ser cualquier cosa: números, personas, letras, etc. Algunos ejemplos son:
- A es el conjunto de los números naturales menores que 5.
- B es el conjunto de los colores verde, blanco y rojo.
- C es el conjunto de las vocales a, e, i, o y u.
- D es el conjunto de los palos de la baraja francesa.
Los conjuntos se denotan habitualmente por letras mayúsculas. Los objetos que componen el conjunto se llaman elementos o miembros. Se dice que «pertenecen» al conjunto y se denota mediante el símbolo ∈:[n 1] la expresión a ∈ A se lee entonces como «a está en A», «a pertenece a A», «A contiene a a», etc. Para la noción contraria se usa el símbolo ∉. Por ejemplo:
- 3 ∈ A , ♠ ∈ D
- amarillo ∉ B, z ∉ C
Notación

Existen varias maneras de referirse a un conjunto. En el ejemplo anterior, para los conjuntos A y D se usa una definición intensiva o por comprensión, donde se especifica una propiedad que todos sus elementos poseen. Sin embargo, para los conjuntos B y C se usa una definición extensiva, listando explícitamente todos sus elementos.
Es habitual usar llaves para escribir los elementos de un conjunto, de modo que:
- B = {verde, blanco, rojo}
- C = {a, e, i, o, u}
Esta notación mediante llaves también se utiliza cuando los conjuntos se especifican de forma intensiva mediante una propiedad:
- A = {Números naturales menores que 5}
- D = {Palos de la baraja francesa}
Otra notación habitual para denotar por comprensión es:
- A = {m : m es un número natural, y 1 ≤ m ≤ 5}
- D = {p : p es un palo de la baraja francesa}
- F = {n2 : n es un entero y 1 ≤ n ≤ 10},
En estas expresiones los dos puntos («:») significan «tal que». Así, el conjunto F es el conjunto de «los números de la forma n2 tal que n es un número entero entre 1 y 10 (ambos incluidos)», o sea, el conjunto de los diez primeros cuadrados de números naturales. En lugar de los dos puntos se puede utilizar también la barra vertical («|») u oblicua «/» .
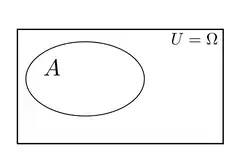
Conjunto universal

Es el conjunto total de elementos, individuos, objetos o datos que se toman en cuenta al analizar una situación, fenómeno o problema específico. Se denota usualmente por la letra [3] o también con la letra griega .
Si se desea trabajar únicamente con los números enteros positivos, el conjunto universal de esta situación sería el siguiente
Igualdad de conjuntos

Un conjunto está totalmente determinado por sus elementos. Por ello, la igualdad de conjuntos se establece como:
|
Esta propiedad tiene varias consecuencias. Un mismo conjunto puede especificarse de muchas maneras distintas, en particular extensivas o intensivas. Por ejemplo, el conjunto A de los números naturales menores que 5 es el mismo conjunto que A′, el conjunto de los números 1, 2, 3 y 4. También:
- B = {verde, blanco, rojo} = {colores de la bandera de México}
- C = {a, e, i, o, u} = {vocales del español}
- D = {Palos de la baraja francesa} = {♠, ♣, ♥, ♦}
El orden en el que se precisan los elementos tampoco se tiene en cuenta para comparar dos conjuntos:
- B = {verde, blanco, rojo} = {rojo, verde, blanco}
- C = {a, e, i, o, u} = {e, i, u, a, o}
Además, un conjunto no puede tener elementos «repetidos», ya que un objeto solo puede o bien ser un elemento de dicho conjunto o no serlo. Se da entonces que, por ejemplo:
- {1, 2} = {1, 2, 1}
En ausencia de alguna característica adicional que distinga los «1» repetidos, lo único que puede decirse del conjunto de la derecha es que «1» es uno de sus elementos.
Conjunto vacío
El conjunto que no contiene ningún elemento se llama el conjunto vacío y se denota por o simplemente {}. Algunas teorías axiomáticas de conjuntos aseguran que el conjunto vacío existe incluyendo un axioma del conjunto vacío. En otras teorías, su existencia puede deducirse. Muchas posibles propiedades de conjuntos son trivialmente válidas para el conjunto vacío.
Propiedades
En la teoría de conjuntos axiomática estándar, por el Axioma de extensionalidad, dos conjuntos son iguales si tienen los mismos elementos; por lo tanto solo puede haber un conjunto sin ningún elemento. Por consiguiente, solo hay un único conjunto vacío, y hablamos de "el conjunto vacío" en lugar de "un conjunto vacío".
Para cualquier conjunto A:
(Ver operaciones con conjuntos)
- El conjunto vacío es un subconjunto de A:
- La unión de A con el conjunto vacío es A:
- La intersección de A con el conjunto vacío es el conjunto vacío:
- El producto cartesiano de A y el conjunto vacío es el conjunto vacío:
El conjunto vacío tiene las siguientes propiedades:
- Su único subconjunto es el propio conjunto vacío:
- El conjunto potencia del conjunto vacío es el conjunto que contiene únicamente el conjunto vacío:
- Su número de elementos (cardinalidad) es cero:
- (La lista de símbolos matemáticos empleados se encuentra aquí).
Subconjuntos

Un subconjunto A de un conjunto B, es un conjunto que contiene algunos de los elementos de B (o quizá todos):
|
Cuando A es un subconjunto de B, se denota como [4] y se dice que «A está contenido en B». También puede escribirse como , y decirse que B es un superconjunto de A y también «B contiene a A» o «B incluye a A».
Todo conjunto A es un subconjunto de sí mismo , ya que siempre se cumple que «cada elemento de A es a su vez un elemento de A». Es habitual establecer una distinción más fina mediante el concepto de subconjunto propio: A es un subconjunto propio de B si es un subconjunto de B pero no es igual a B. Se denota como , es decir: A ⊆ B pero A ≠ B (y equivalentemente, para un superconjunto propio, B ⊋ A).[n 2]
Ejemplos
- El «conjunto de todos los hombres» es un subconjunto propio del «conjunto de todas las personas»
- {1, 3} ⊊ {1, 2, 3, 4}
- 3. {1, 2, 3, 4} ⊆ {1, 2, 3, 4}
- 4. El conjunto {a,i,o} es un subconjunto propio de {a,e,i,o,u}
Conjuntos disjuntos
Dos conjuntos A y B son disjuntos si no tienen ningún elemento en común. Por ejemplo, los conjuntos de los números racionales y los números irracionales son disjuntos: no hay ningún número que sea a la vez racional e irracional. La intersección de dos conjuntos disjuntos es el conjunto vacío.
Cardinalidad
Los conjuntos pueden ser finitos o infinitos. En el caso de un conjunto finito se pueden contar los elementos del conjunto:
|
El cardinal se denota por |A|, card(A) o #A. Así, en los ejemplos anteriores, se tiene que |A| = 4 (cuatro números), |B| = 3 (tres colores) y |F| = 10 (diez cuadrados). El único conjunto cuyo cardinal es 0 es el conjunto vacío ∅.
Existen, a su vez, determinadas propiedades de cardinalidad. Si tomamos como ejemplo dos conjuntos, A y B:
Y en el caso de tres conjuntos, A, B y C:
En un conjunto infinito no hay un número finito de elementos. Es el caso por ejemplo de los números naturales: N = {1, 2, 3, …}. Sin embargo, existe una manera de comparar conjuntos infinitos entre sí, y se obtiene que existen conjuntos infinitos «más grandes» que otros. El «número de elementos» de un conjunto infinito es un número transfinito.
Cardinalidad de los reales
Uno de los resultados más importantes de Georg Cantor fue que la cardinalidad de los reales () es más grande que la de los números naturales (). Esto es, que hay más números reales R que números enteros N. Concretamente, Cantor mostró que .
La hipótesis del continuo afirma que no existen conjuntos con cardinalidades intermedias entre los naturales y los reales:
- No existe ningún conjunto A tal que su cardinal |A| cumpla:
Si se asume el axioma de elección, la estructura de los cardinales infinitos es más clara: todos los cardinales infinitos son álefs y están bien ordenados, por lo que existe solo un cardinal inmediatamente superior a ℵ0, denotado por ℵ1. La hipótesis es equivalente entonces a:
- El cardinal del conjunto de los números reales es el inmediatamente superior al cardinal de los números naturales:
Operaciones con conjuntos





Existen varias operaciones básicas que pueden realizarse, partiendo de ciertos conjuntos dados, para obtener nuevos conjuntos:
- Unión: (símbolo ∪) La unión de dos conjuntos A y B, que se representa como A ∪ B, es el conjunto de todos los elementos que pertenecen al menos a uno de los conjuntos A y B.
- Intersección: (símbolo ∩) La intersección de dos conjuntos A y B es el conjunto A ∩ B de los elementos comunes a A y B.
- Diferencia: (símbolo \) La diferencia del conjunto A con B es el conjunto A \ B que resulta de eliminar de A cualquier elemento que esté en B.
- Complemento: El complemento de un conjunto A es el conjunto que contiene todos los elementos que no pertenecen a A, respecto a un conjunto U que lo contiene.
- Diferencia simétrica: (símbolo Δ) La diferencia simétrica de dos conjuntos A y B es el conjunto A Δ B con todos los elementos que pertenecen, o bien a A, o bien a B, pero no a ambos a la vez.
- Producto cartesiano: (símbolo ) El producto cartesiano de dos conjuntos A y B es el conjunto de todos los pares ordenados (a, b) formados con un primer elemento a perteneciente a A, y un segundo elemento b perteneciente a B.
- [5]
- Ejemplos
- {1, a, 0} ∪ {2, b} = {2, b, 1, a, 0}
- {5, z, ♠} ∩ {♠, a} = {♠}
- {5, z, ♠} \ {♠, a} = {5, z}
- {♠, 5} Δ {8, #, ♠} = {5, #, 8}
- {1, a, 0} × {2, b} = {(1, 2), (1, b), (a, 2), (a, b), (0, 2), (0, b)}
Véase también
Notas
- ↑ Este símbolo lo introdujo Peano. Vid Matemática Moderna de André Warusfel sobre epsilon y Nachbin en su Álgebra Elemental (pág. 1 y pág. 2) habla de: "La notación de Peano x ∈ X".
- ↑ También se utiliza la notación A ⊂ B y B ⊃ A, pero según el autor esto puede denotar subconjunto, A ⊆ B y B ⊇ A; o subconjunto propio, A ⊊ B y B ⊋ A. Véase Subconjunto.
Referencias
- ↑ Esta sección está basada en Ferreirós, J. «The early development of set theory». En Edward N. Zalta, ed. The Stanford Encyclopedia of Philosophy (Fall 2011 edition) (en inglés). Archivado desde el original el 30 de julio de 2012. Consultado el 15 de diciembre de 2011.
- ↑ Véase Cantor, Georg (2006) [1872-1899]. Fundamentos para una teoría general de conjuntos. Escritos y correspondencia selecta. Edición de José Ferreirós. Crítica. p. 137. ISBN 84-8432-695-0.
- ↑ Spiegel, Murray R (1976). JAIRO OSUNA SUAREZ, ed. [SpiegelProbabilidad_y_Estadistica.pdf Teorías y problemas de probabilidad y estadística]. McGRAW-HILL DE MEXtCO. Consultado el 26 de julio de 2025.
- ↑ Ivorra, C. (2008). La Axiomática de la Teorıa de Conjuntos.
- ↑ Carvajal Caminos, J. (2023). Producto Cartesiano.
Bibliografía
- Courant, Richard; Robbins, Herbert; Stewart, Ian (1996). What is Mathematics? An Elementary Approach to Ideas and Methods (en inglés). Oxford University Press. ISBN 0-19-510519-2. Suplemento del capítulo II.
- Ivorra, Carlos, Lógica y teoría de conjuntos, consultado el 18 de abril de 2011..
- Jech, Thomas. «Set Theory». En Edward N. Zalta, ed. The Stanford Encyclopedia of Philosophy (Spring 2009 Edition) (en inglés). Consultado el 22 de abril de 2011.
- Lipschutz, Seymour (1991). Teoría de conjuntos y temas afines. McGraw-Hill. ISBN 968-422-926-7.
- Nachbin, Leopoldo : Álgebra elemental (1986) Rochester, Nueva York; editora: Eva V. Chesnau. Edición de la OEA, traducida al español por César E. Silva.
Bibliografía adicional
- Halmos, Paul R. : Teoría intuitiva de conjuntos (1965) Compañía editorial Continental S.A. México 22, D.F. primera edición en español.
Enlaces externos
Wikimedia Commons alberga una categoría multimedia sobre Conjuntos.- Weisstein, Eric W. «Set». En Weisstein, Eric W, ed. MathWorld (en inglés). Wolfram Research.
- Esta obra contiene una traducción derivada de «Set» de Wikipedia en inglés, publicada por sus editores bajo la Licencia de documentación libre de GNU y la Licencia Creative Commons Atribución-CompartirIgual 4.0 Internacional.