Desoxiadenosina trifosfato
| 2'-desoxiadenosina trifosfato | ||
|---|---|---|
![]() | ||
![]() | ||
| Nombre IUPAC | ||
| [[(2R,3S,5R)-5-(6-aminopurin-9-il)-3-hidroxioxolan-2-il]metoxi-hidroxifosforil] fosfono hydrógeno fosfate | ||
| General | ||
| Otros nombres | dATP, 2'-desoxiadenosina trifosfato, trifosfato de desoxiadenosina | |
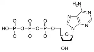
| Fórmula estructural |
![]() | |
| Fórmula molecular | C10H16N5O12P3 | |
| Identificadores | ||
| Número CAS | 1927-31-7[1] | |
| ChEBI | 16284 | |
| ChEMBL | CHEMBL335538 | |
| ChemSpider | 15194 | |
| DrugBank | DB03222 | |
| PubChem | 15993 | |
| UNII | K8KCC8SH6N | |
| KEGG | C00131 | |
| Propiedades físicas | ||
| Masa molar | 491,181623 g/mol | |
| Valores en el SI y en condiciones estándar (25 ℃ y 1 atm), salvo que se indique lo contrario. | ||
La desoxiadenosina trifosfato (o trifosfato de desoxiadenosina, abreviadamente dATP del inglés «deoxyadenosine triphosphate») es un desoxirribonucleótido. Concretamente, es el nucleótido precursor utilizado en la célula para incorporar la base nitrogenada adenina al ADN durante el proceso de replicación de éste.[2]
Referencias
- ↑ Número CAS
- ↑ www.fao.org https://www.fao.org/4/y2775s/y2775s09.htm
|url=sin título (ayuda). Consultado el 1 de agosto de 2024.


