DOPA
La dihidroxifenilalanina es un sustrato prácticamente inicial de la ruta metabólica de las catecolaminas: dopamina, noradrenalina y adrenalina. Su situación es básica en la actividad metabólica de la neurona, ya que se origina a partir de un precursor que es el aminoácido paratirosina, el cual por acción de un importante sistema enzimático como es la tirosina hidroxilasa, que necesita de cofactores como la biopteridina, permite que se sintetice la DOPA.
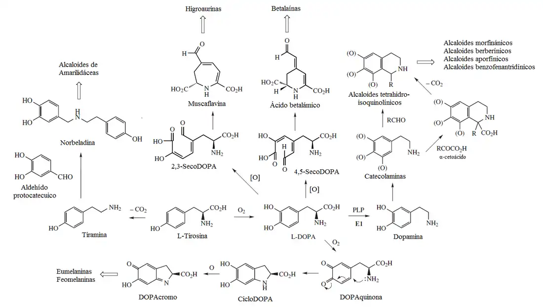
Metabolismo de la DOPA
La 3,4-dihidroxifenilalanina es un precursor relevante en el metabolismo secundario de la tirosina y la fenilalanina. Se produce por la hidroxilación de la tirosina y produce varios metabolitos secundarios tales como las melaninas, las catecolaminas, las betalaínas, las higroaurinas, los alcaloides tetrahidroisoquinolínicos y otros alcaloides.
