Degradación de Edman

La degradación de Edman, desarrollada por Pehr Edman, es un método de secuenciación de aminoácidos en un péptido.[1] En este método, el residuo amino terminal se etiqueta y se separa del péptido sin afectar a los enlaces peptídicos entre los otros residuos.
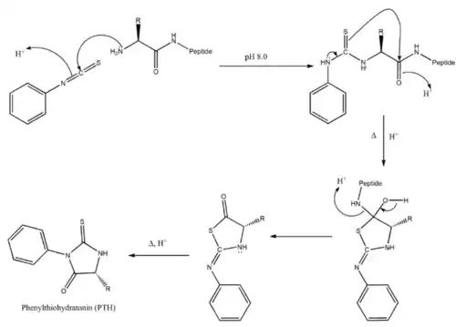
Mecanismo
En medio básico, se provoca la reacción del extremo amino con fenilisotiocianato para formar un péptido feniltiocarbamilado. A continuación, se aplica un medio ácido para que el tiocarbamoílo forme un ciclo de 5 miembros (feniltiohidantoína) con el carbonilo del enlace peptídico adyacente. De este modo, se obtiene un péptido más corto, con un nuevo extremo amino y la feniltiohidantoína del primer aminoácido.
Limitaciones
No es posible secuenciar péptidos cuyo extremo N-terminal se encuentre bloqueado (grupo amino acetilado, formilado, etc). Alrededor del 50% de las proteínas tienen el extremo amino bloqueado, bien por naturaleza o por su preparación, en tampones con sustancias susceptibles de reaccionar con este: (cianato, ácido acrílico, aldehído...).
Otra limitación de la degradación de Edman es que el rendimiento no es del 100% y por tanto cuando ya se llevan hechos muchos ciclos (más de 50 aminoácidos analizados) se obtienen errores.
Referencias
- ↑ Edman, P. Acta Chem. Scand. 1950, 4, 283.