Euphrasia
| Euphrasia | ||
|---|---|---|
![]() Euphrasia rostkoviana | ||
| Taxonomía | ||
| Reino: | Plantae | |
| División: | Magnoliophyta | |
| Clase: | Magnoliopsida | |
| Orden: | Lamiales | |
| Familia: | Orobanchaceae | |
| Tribu: | Rhinantheae | |
| Género: |
Euphrasia L. | |
| Especies | ||
| Sinonimia | ||
| ||
Euphrasia (ojo brillante) es un género de plantas herbáceas pertenecientes a la familia Orobanchaceae, con una distribución cosmopolita. Son semi-parásitas en las hierbas. Comprende 602 especies descritas y de estas, solo 241 aceptadas.[2]
Fitoquímica
Perfil lipídico
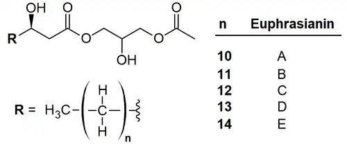
Se han identificado perfiles lipídicos en E. rostkoviana de ácidos grasos, los cuales consisten en los ácidos mirístico, pentadecanoico, palmítico, margárico, linoleico, ácido linolénico, esteárico, cis-11-eicosenoico y docosahexaenoico. También se reportaron colesterol y β-sitosterol. Se han reportado una serie de lípidos característicos con relevancia quimiotaxonómica de este género llamados eufrasianinas, que constan de 3O acetil 1O β-hidroxialcanoil gliceroles:[3]

Fenoles
Se han identificado ácido clorogénico, ácido ferúlico, ácido cafeico; se identificaron los flavonoides apigenina, luteolina, diosmetina, cinarósido y cosmosiina[4] .
Iridoides
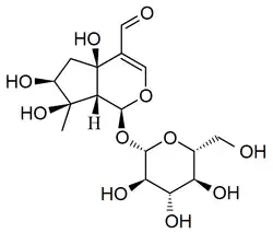
Las plantas del género Euphrasia producen iridoides tales como la aucubina, eufrasina de E. pectinata,[5] el eufrósido de E. salisburgensis[6] y el eurostósido de E. rostkoviana.[7]
![]() |
![]() |
![]() |
| Eufrasina | Eufrósido | Eurostósido |
Usos
Se utiliza un extracto de la planta en los remedios homeopáticos para los ojos rojos.
Taxonomía
El género fue descrito por Carlos Linneo y publicado en Species Plantarum 2: 604. 1753.[8] La especie tipo es: Euphrasia officinalis L.
Algunas especies
- Euphrasia alpina
- Euphrasia azorica
- Euphrasia hirtella
- Euphrasia kerneri
- Euphrasia micrantha
- Euphrasia minima
- Euphrasia montana
- Euphrasia nemorosa
- Euphrasia officinalis
- Euphrasia parviflora
- Euphrasia pectinata
- Euphrasia picta
- Euphrasia pseudokerneri
- Euphrasia pulchella
- Euphrasia rostkoviana, sinónimo de Euphrasia officinalis.
- Euphrasia salisburgensis
- Euphrasia stricta
- Euphrasia tatrica
- Euphrasia tetraquetra
- Euphrasia versicolor
Referencias
- ↑ USDA, ARS, National Genetic Resources Program. Germplasm Resources Information Network - (GRIN) [Online Database]. National Germplasm Resources Laboratory, Beltsville, Maryland. URL: http://www.ars-grin.gov/cgi-bin/npgs/html/genus.pl?4517 Archivado el 12 de mayo de 2014 en Wayback Machine. (11 May 2014)
- ↑ Euphrasia en PlantList
- ↑ Lorenz, P. et al, Chem. Biodiversity, 2016, 13, 602-612
- ↑ Petrichenko, V. M., Sukhinina, T. V., Babiyan, L. K., & Shramm, N. I. (2006). Chemical composition and antioxidant properties of biologically active compounds from Euphrasia brevipila. Pharmaceutical Chemistry Journal, 40(6), 312–316. https://doi.org/10.1007/s11094-006-0117-4
- ↑ Marcotullio, M. C., Loizzo, M. R., Messina, F., Temperini, A., Tundis, R., Menichini, F., & Curini, M. (2015). Bioassay-guided fractionation of Euphrasia pectinata Ten. and isolation of iridoids with antiproliferative activity. Phytochemistry Letters, 12, 252–256. https://doi.org/10.1016/j.phytol.2015.04.022
- ↑ Euphroside, A New Iridoid Glucoside from Euphrasia salisburgensis. Sticher, O. et al, Helv. Chim. Acta, 1981, 64, 78-81
- ↑ Iridoidglucoside von Euphrasia rostkoviana Part 4 in the series “Glycosides from Euphrasia Species”. Salama O, Sticher O (1983). Planta Med 47(2): 90–94
- ↑ «Euphrasia». Tropicos.org. Missouri Botanical Garden. Consultado el 11 de mayo de 2014.
Enlaces externos
Wikimedia Commons alberga una categoría multimedia sobre Euphrasia.
Literatura
- Hans Christian Weber: Parasitismus von Blütenpflanzen. Wissenschaftliche Buchgesellschaft, Darmstadt 1993, [ISBN 3-534-10529-X] (alemán)
- Hans Christian Weber: Schmarotzer: Pflanzen, die von anderen leben. Belser, Stuttgart 1978, [ISBN 3-7630-1834-4] (alemán)



