Griseofulvina
| Griseofulvina | ||
|---|---|---|
![]() | ||
![]() | ||
| Nombre (IUPAC) sistemático | ||
| (2''S'',6'''R'')-7-cloro-2',4,6-trimetoxi-6'-metil-3''H'', 4'''H''-espiro[1-benzofuran-2,1'-ciclohex[2]eno]-3,4'-diona | ||
| Identificadores | ||
| Número CAS | 126-07-8 | |
| Código ATC | D01AA08 | |
| PubChem | 441140 | |
| DrugBank | APRD01004 | |
| Datos químicos | ||
| Fórmula | C17H17ClO6 | |
| Peso mol. | 352.76 g/mol | |
| Farmacocinética | ||
| Biodisponibilidad | Muy variable (25% al 70%) | |
| Metabolismo | Hepático. | |
| Vida media | 9-21 horas. | |
| Excreción | Renal. | |
| Datos clínicos | ||
| Cat. embarazo | C | |
| Vías de adm. | Oral | |
La griseofulvina es un fármaco antifúngico, extraído del Penicillium griseofulvum, descrito por primera vez por Oxford y colaboradores en 1939. Es utilizado tanto en humanos como en animales para el tratamiento de las micosis de piel, cabello y uñas, con la ventaja de poder utilizarse por vía oral.
La absorción de griseofulvina a partir del tracto gastrointestinal es variable, debido a la baja hidrosolubilidad. En promedio, menos del 50 % de la dosis oral se absorbe; sin embargo, los alimentos grasos y la micronización (reducción del tamaño de la partícula) mejoran notablemente el grado de absorción. Los niveles máximos plasmáticos se obtienen después de 4 horas de administrar el producto por vía oral, valores que se mantienen de 10 a 20 horas. La vida media plasmática es de aproximadamente un día y alrededor del 50 % de la dosis oral es detectado en la orina en el curso de 5 días, principalmente en forma de 6-metil griseofulvina o como glucurónido conjugado.[1]
Bloquea la tubulina, interfiriendo la acción de los microtúbulos polimerizados y por tanto inhibiendo la división del hongo. A nivel de los queratinocitos de piel y uñas se une a la queratina formando un complejo queratina-griseofulvina sumamente estable. Cuando el dermatofito infecta las estructuras queratinizadas, la griseofulvina se desprende y aprovecha el complejo energético del hongo para adherirse a los microtúbulos, impidiendo su división. Hasta que la célula se desprende el complejo protege de la acción de los hongos.
Infecciones por hongos sensibles del grupo de los dermatofitos en piel, cabello y uñas:
Contraindicaciones
- No debe administrarse a pacientes con diversos tipos de porfirias o con daño hepático grave.
- Exacerba el lupus eritematoso sistémico.
- La griseofulvina puede inducir aneuploidía en células de mamíferos expuestos al compuesto, tanto in vitro como in vivo.
No existe evidencia de la seguridad de griseofulvina durante el embarazo en humanos; en animales, la griseofulvina es teratogénica. No deberá usarse en el embarazo, o en mujeres que intenten quedar embarazadas en el mes siguiente al término del tratamiento.
El tratamiento asociado con grisefulvina puede disminuir la efectividad de los anavulatorios orales por lo que es necesario aumentar las precauciones anticonceptivas durante su administración y hasta un mes después de suspender el tratamiento.
Se recomienda a los hombres no procrear durante los seis meses de tratamiento con GRISEFULVINA también se recomienda en aquellos casos graves de hongos en la piel.
- Puede disminuir el efecto de los anticoagulantes cumarínicos y los anticonceptivos orales.
- La absorción disminuye con la administración concomitante de fenobarbitúricos.[3]
- Los niveles sanguíneos y la eficacia de griseofulvina pueden ser modificados como resultado de la asociación con fenilbutazona, sedantes e hipnóticos, los cuales inducen la producción de enzimas metabólicas.
Puede acaecer una potenciación del efecto del alcohol etílico al ingerirlo junto con la griseofulvina, así como de fotosensibilización al exponerse a la luz natural o artificial muy intensa.
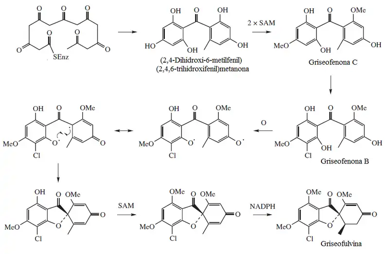
Biosíntesis
La griseofulvina es un policétido aromático[4]

Para la valoración de las reacciones adversas (RAM) se tendrán en cuenta los criterios de la CIOSM.
| Sistema implicado. | Grupo CIOSM. | Tipo de reacción. |
|---|---|---|
| Sistema Nervioso Central. | Muy frecuentes | Cefalea, confusión, mareo, descoordinación y neuropatía periférica. |
| Pruebas de laboratorio. | Poco frecuentes. | Leucopenia con neutropenia. |
| Aparato Digestivo. | Muy frecuentes | Gastralgia. |
| Piel. | Frecuentes. | Urticaria, erupciones cutáneas, eritema multiforme, necrólisis epidérmica tóxica, reacciones de fotosensibilidad y empeoramiento de los cuadros de lupus eritematoso sistémico. |
Notas
- ↑ Martindale. The Extra Pharmacopoeia. 28ª ed. Ed.: The Pharmaceutical Press. 1982 pg 714s {ISBN 0-85369-160-6} ISSN 0263-5364
- ↑ Armijo, M. Dermatosis por hongos. Ed. Médica Internacional S.A., 1989 pp 45s. {ISBN 84-86917-11-5 }/O.F.
- ↑ a b Agencia española de medicamentos y productos sanitarios. Información de fichas técnicas autorizadas. Enlace consultado el 14 de septiembre de 2008.
- ↑ Paul M. Dewick (2009). Medicinal natural products: a biosynthetic approach. John Wiley and Sons. ISBN 9780470741689.
Véase también
.

