Haouamina
| Haouaminas | ||
|---|---|---|
![]() | ||
| General | ||
| Fórmula molecular | A:C32H27NO5; BC32H27NO6 | |
| Identificadores | ||
| Número CAS | A: 496962-05-1 ; B: 496962-06-2[1] | |
| Propiedades físicas | ||
| Apariencia | Sólido blanco | |
| Masa molar | A::489.570 ; B: 505.18 g/mol | |
| Punto de descomposición | 170 K (−103 °C) | |
| Valores en el SI y en condiciones estándar (25 ℃ y 1 atm), salvo que se indique lo contrario. | ||
Las haouaminas son pseudoalcaloides azafluorénicos ciclofánicos. Garrido y colaboradores las aislaron en 2003 del tunicado marino Aplidium haouarianum, el cual se colectó en las costas del sur de España. La diferencia entre la haouamina A y la haouamina B es el grupo hidroxilo en la posición 21.[2] Las houaminas presentan una estructura de indeno-tetrahidropiridina, un azaparaciclofano con impedimento estérico, un centro diarilo cuaternario y un doble enlace anti-Bredt.
Actividad biológica
La haouamina A presenta actividad potente y selectiva contra las líneas celulares HT-29 (IC50=0.1 µg/mL). La haouamina B ha mostrado citotoxicidad contra las líneas celulares MS-1 (IC50= 5 µg/mL ).
Biosíntesis
Poco se sabe acerca de la biosíntesis de estos compuestos. La hipótesis planteada es una biosíntesis de un anillo de piridina a partir de 4 moléculas de 2-(m-hidroxifenil)acetaldehído:[3]

Síntesis
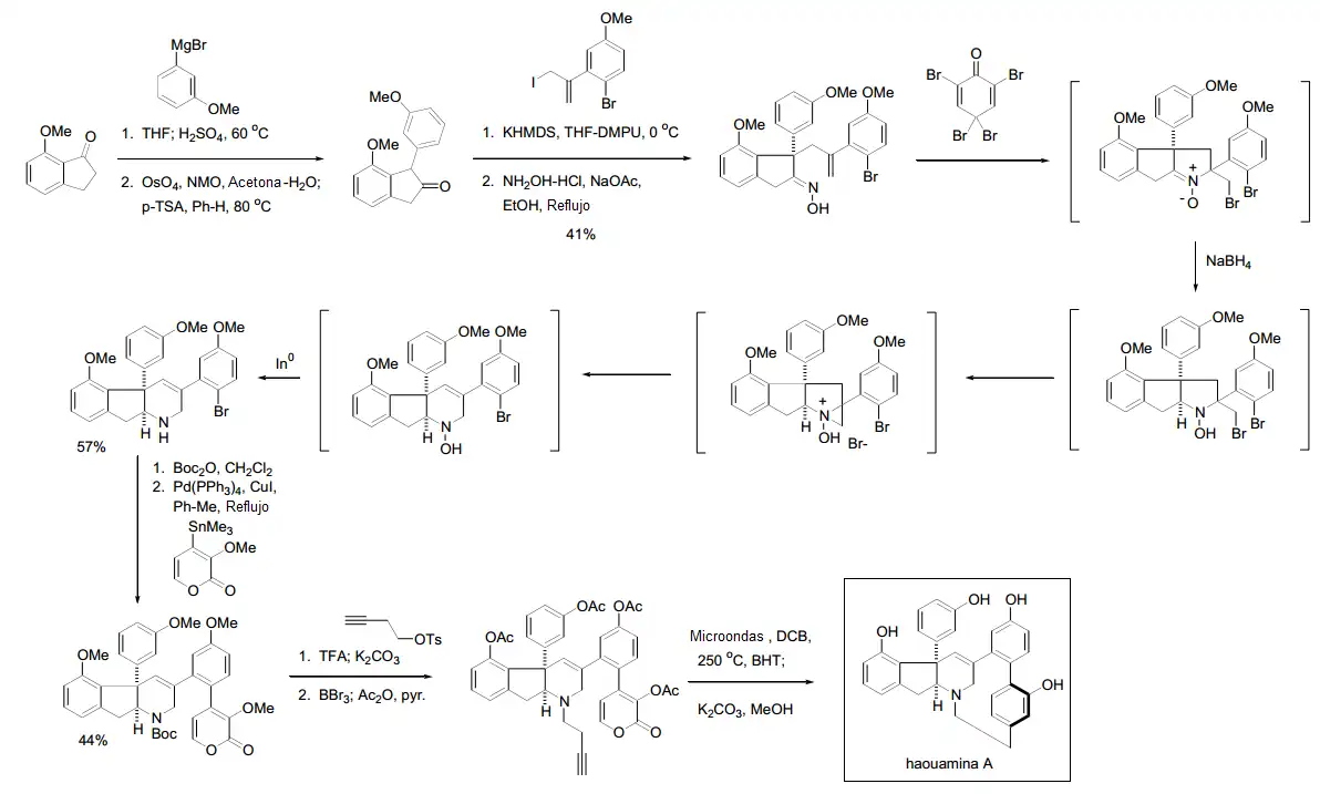
Se han realizado varias aproximaciones para lograr sintetizar las halouaminas, como Burns,[4][5] Trauner[6] y Rawal.[7] A continuación se ilustra la síntesis total de Baran:
Referencias
- ↑ A: 496962-05-1 ; B: 496962-06-2 Número CAS
- ↑ Garrido, L. et al., JOC, 2003, 68, 293- 299
- ↑ Burns, N.Z. et al., Angew. Chem., Int. Ed., 2008, 47, 205- 208
- ↑ Burns, N.Z. et al., JACS, 2009, 131, 9172- 9173
- ↑ Baran, P. S.; Burns, N. Z. J. Am. Chem. Soc. 2006, 128, 3908
- ↑ Grundl, M. A.; Trauner, D. Org. Lett. 2006, 8, 23.
- ↑ Smith, N. D.; Hayashida, J.; Rawal, V. H. Org. Lett. 2005, 7, 4309
