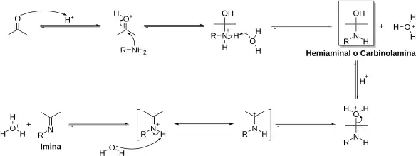
Hemiaminal

En química orgánica, un hemiaminal', es un grupo funcional o clase de compuesto químico que tiene un grupo hidroxilo y una amina unidos al mismo átomo de carbono: -C(OH)(NR2)-. R puede ser hidrógeno o un grupo alquilo. Los hemiaminales son intermediarios en la formación de iminas a partir de aminas y carbonilos, por alquilimino-de-oxo-bisustitución. Anteriormente eran llamadas carbinolaminas.

Ejemplos
Un ejemplo es el hemiaminal que se obtiene de la reacción de la amina secundaria carbazol y el formaldehído[1][2]
Los hemiaminales generados a partir de aminas primarias son inestables, al punto que nunca han sido aislados, y rara vez han sido observados directamente. En un estudio del 2007, una subestructura hemiaminal atrapada en la cavidad de un complejo huésped-hospedante fue estudiada con una vida media de 30 minutos. Debido a que tanto la amina como el grupo carbonilo son aislados en una cavidad, la formación del hemiaminal está favorecida debido a la alta velocidad de reacción directa, comparable a una reacción intramolecular, y también debido al acceso restringido de base externa (otra amina) a la misma cavidad, que favorecería la eliminación de agua para dar la imina.[3]
La formación de hemiaminal es un paso clave en la síntesis total asimétrica de la saxitoxina:[4]
En este paso de la reacción, el grupo alqueno es oxidado primero a un intermediario acroleína, por acción del cloruro de osmio(III), peroximonosulfato de potasio (catalizador de sacrificio) y carbonato de sodio (base).
Véase también
Referencias
- ↑ Carbazol-9-yl-methanol Milata Viktor, Kada Rudolf, Lokaj Ján Molbank 2004, M354 open access publication [1] Archivado el 26 de septiembre de 2018 en Wayback Machine.
- ↑ Reacción en metanol en reflujo con carbonato de potasio. La catálisis ácida transforma el hemiaminal al aminal N,N´-biscarbazol-9-il-methano.
- ↑ Stabilization of Labile Carbonyl Addition Intermediates by a Synthetic Receptor Tetsuo Iwasawa, Richard J. Hooley, Julius Rebek Jr. Science 317, 493 (2007) doi 10.1126/science.1143272
- ↑ (+)-Saxitoxin: A First and Second Generation Stereoselective Synthesis James J. Fleming, Matthew D. McReynolds, and J. Du Bois J. Am. Chem. Soc., 129 (32), 9964 -9975, 2007. doi 10.1021/ja071501o
Wikimedia Commons alberga una categoría multimedia sobre Hemiaminal.
