Iridoide
Se conocen como iridoides a un grupo de monoterpenos (C10), que presentan como esqueleto de carbono el 1-isopropil-2,3-dimetillciclopentano, denominado como iridano. El esqueleto de iridano se encuentra frecuentemente fusionado con un heterociclo de oxígeno de seis miembros, al cual se le denomina como iridoide propiamente dicho. Su denominación surge al haberse detectado por primera vez en las hormigas del género Iridomirmex. Estos compuestos pueden encontrarse como estructuras abiertas (secoiridoides) o cerradas (iridoides) generalmente en forma heterosídica, mayoritariamente como glucósidos. Por escisión del enlace entre los carbonos 1 y 5 del esqueleto de iridano se forman los secoiridoides. La secologanina es componente de la estrictosidina, la cual es precursora de los alcaloides indolterpénicos, tales como la yohimbina, la ajmalicina, , la vindolina, la catarantina, la ibogaína, la cinconamina, la quinidina y la brucina.

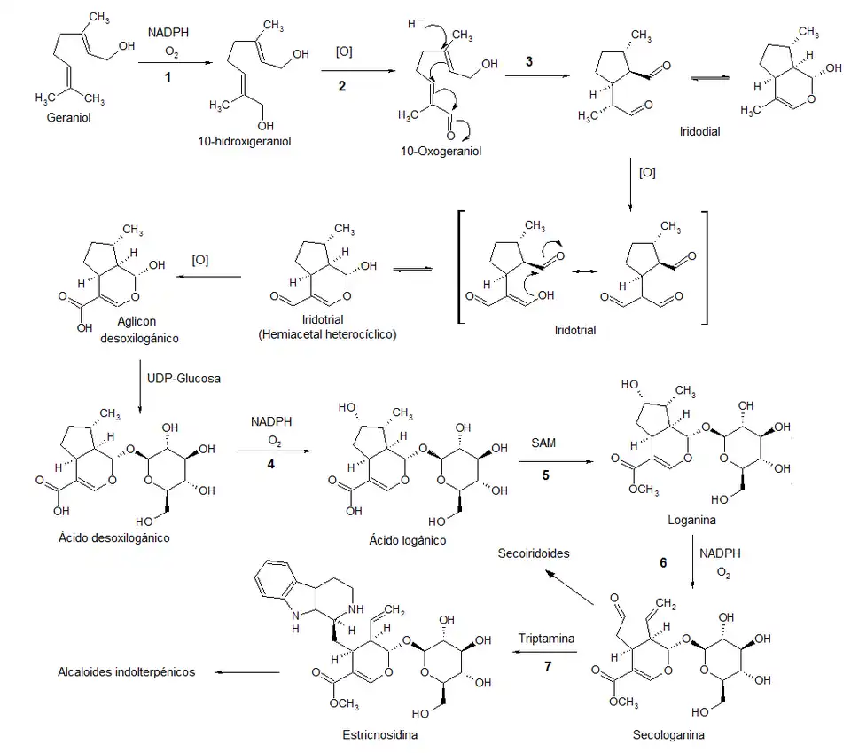
Biosíntesis
El grupo de los iridoides surge del geraniol por un tipo de plegado diferente al del esqueleto de mentano: carece de intermediarios fosforilados y de un mecanismo por transposición carbocatiónica. La ciclización fundamental para el iridodial se formula como un ataque de un hidruro sobre el dialdehído (Iridodial), producido a su vez por una serie de hidroxilaciones y oxidaciones sobre el geraniol. El dialdehído forma el hemiacetal correspondiente en forma heterocíclica. Posteriormente se glucosila para estabilizar el hemiacetal. La oxidación del otro aldehído y la metilación del carboxilo resultante da como producto la loganina, la cual es precursora de la gran mayoría de los iridoides. La loganina posteriormente se puede escindir para dar la secologanina. Ésta puede producir otros secoiridoides o condensarse con triptamina para producir estrictosidina, precursora de los alcaloides indolterpénicos.[1]

Propiedades
Existen una serie de plantas que se emplean por sus propiedades farmacológicas precisamente porque algunos de sus principios activos son de naturaleza iridoídica. Entre las más importantes destacan las pertenecientes a las familias Asteráceas, Apiáceas (Umbelíferas), magnoliáceas, Valerianáceas y Gentianáceas.Poseen diferentes actividades farmacológicas: antiinflamatoria, antimicrobiana, amebicida, etc. Sin embargo, son también causantes de procesos alérgicos, principalmente dermatitis de contacto.[2]
Se han estudiado de manera particular los iridoides del harpagófito (Harpagophytum procumbens)[3] la fruta noni (Morinda citrifolia)[4] y las hojas de olivo (Olea europaea).[5]
Véase también
Referencias
- ↑ R. Guarnaccia, L. Botta, C. J. Coscia (1974). «Biosynthesis of acidic iridoid monoterpene glucosides in Vinca Rosea». J. Am. Chem. Soc 96 (22): 7079-7084. doi:10.1021/ja00829a041.
- ↑ Paul M. Dewick (2009). Medicinal natural products: a biosynthetic approach 3th Edition. John Wiley and Sons. ISBN 9780470741689.
- ↑ Grant L, McBean DE, Fyfe L and Warnock AM (2007). «Review of the biological and potential therapeutic actions of Harpagophytum procumbens». Phytother Res 21: 199-209. doi:10.1002/ptr.2029.
- ↑ Cimanga K, Kambu K, Tona L, Hermans N, Apers S, Totté J, Pieters L, Vlietinck AJ. (2006). «Antiamoebic activity of iridoids from Morinda morindoides leaves.». Planta Med. 72: (8): 751-753.
- ↑ José A. Pérez, José M. Hernández, Juan M. Trujillo, Hermelo López (2005). «Iridoids and secoiridoids from Oleaceae». Studies in Natural Products Chemistry 32 (12): 303-363. doi:10.1016/S1572-5995(05)80059-6.