Manzamina
Las manzaminas son alcaloides β-carbolínicos complejos aislados de varias especies de esponjas marinas.
Historia
Desde el primer reporte en 1986 de la manzamina A,[1] se han aislado aproximadamente 40 compuestos relacionados descritos de una docena de especies de esponjas.
Actividad biológica
La manzamina A fue descrita como un compuesto citotóxico, exhibiendo una IC50 de 0.07 μg/mL contra las células P388 de ratón. La estructura única en la naturaleza de las manzaminas ha llamado la atención de los químicos sintéticos a efectuar su síntesis total.[2] Se han reportado 2 síntesis totales.[3] La manzamina A ha mostrado también actividad antimalárica contra el agente de malaria murina Plasmodium berghei in vivo.[4] Kara y colaboradores probaron la manzamina A, F y la (–)-8-hidroximanzamina A con respecto a la cloroquina y la artemisina, y mostraron actividad significativamente, excepto la manzamina F. Parece ser que la funcionalización del anillo de azocina es importante para la actividad.[5]
Propiedades físicas
En el siguiente cuadro se muestran las propiedades físicas de los principales tipos de manzamidas aislados de distintos invertebrados marinos:
| Nombre | Estructura | Fórmula molecular | CAS | Masa molecular (g/mol) | Estado | Fuente natural | Otras propiedades |
|---|---|---|---|---|---|---|---|
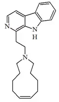
| Manzamina A (Keramina A) | ![]() |
C36H44N4O | 104196-68-1 | 548.770 | Cristales (meoH PF = 240°C | Aislado de las esponjas japonesas Haliclona sp., Xestospongia sp., Pellina sp., Acanthostrongylophora ingens.[6] | [α] 20D = +50 ( c, 0.28 in CHCl3) UV: [ácido]λmax238 (ε15300) ;278 (ε9680) ;290 (ε8350) ;346 (ε4420) ;358 (ε4770) ( clorhidrato) [neutral]λmax219 (ε22900) ;236 (ε18600) ;280 (ε10800) ;290 (ε11000) ;346 (ε5300) ;357 (ε5600) (MeOH).[7] Muestra propiedades antitumoral. Exhibe citotoxicidad contra células KB. Tiene propiedades insecticidas y antibacteriales tanto con bacterias Gram-positivas, como Gram-negativas. Exhibe también propiedades antimaláricas y antileishmánicas. Tiene fuerte actividad antituberculótica. |
| N-óxido de manzamina A | 2-N-Óxido de manzamina A | C36H44N4O2 | 184361-76-0 | 564.769 | Polvo amarillo cristalino. | Aislado de la esponja filipina Xestospongia ashmorica | Citotóxico. Muestra actividad contra Mycobacterium tuberculosis (H37Rv). UV: [neutral]λmax201 (ε26000) ;241 (ε23000) ;261 (ε23000) ;310 (ε21000) ( MeOH). |
| 3,4-Dihidromanzamina A | 3,4-Dihidromanzamina A | C36H46N4O | 162465-80-7 | 550.786 | Sólido amorfo PF = 237 - 241°C | Alcaloide aislado de una esponja japonesa del género Amphimedon.[8] | Citotóxica contra células L-1210 y KB cells. Presenta actividad antibacteriana. Muestra fuerte actividad contra Mycobacterium tuberculosis (H37Rv) |
| 3,4-Dihydromanzamine A N-óxido | 3,4-Dihidro, 2-N-óxido de la Manzamina A | C36H46N4O2 | 184361-75-9 | 566.785 | Polvo amarillo cristalino | Aislado de Xestospongia ashmorica | Agente citotóxico. Muestra fuerte actividad contra Mycobacterium tuberculosis (H37Rv)
Physical Description: Yellow cryst. powder Optical Rotation: [α] D +34.1 ( c, 0.59 in CHCl3) UV: [neutral]λmax201 (ε25000) ;355 (ε11000) ( MeOH) |
| 3,4-Dihidro-6-hidroximanzamina A | 6-Hidroxi, 3,4-dihidro manzamina A | C36H46N4O2 | 208392-25-0 | 566.785 | Sólido amorfo | Aislado de una esponja del género Amphimedon.[9] | Activo contra Mycobacterium tuberculosis (H37Rv). [α]25D = +28 (c, 1.2 en MeOH). UV: [neutral]λmax207 (ε9000) ;225 (ε6500) ;250 (ε3500) ;337 (ε2500) ( MeOH) |
| 10,11-Epoxi-3,4-dihidro-6-hidroximanzamina A | 6-Hidroxi, 3,4-dihidro, 10β,11β-epóxido de manzamina A | C36H46N4O3 | 1135678-53-3 | 582.784 | Sólido amorfo pardo | Aislado de una esponja Amphimedon. | [α]D = +35.2 (c, 0.7 en cloroformo), UV: [neutral]λmax204 (ε16000) ;212 (ε14700) ;232 (ε7700) ;289 (ε2200) ;332 (ε6700) ( MeOH) |
| 32,33-Dihidro-31-hidroximanzamina A | 31β-Hidroxi, 32,33-dihidro de la manzamina A | C36H46N4O2 | 581782-65-2 | 566.785 | Cristales (MeOH) | Aislado de una esponja no identificada de Indonesia. | 'UV: [neutro]λmax215;248;281;291;352;359 (MeOH) |
| 32,33-Dihidro-6,31-dihidroximanzamina A | 6,31β-Dihidroxi, 32,33-dihidromanzamina A | C36H46N4O3 | 581782-71-0 | 582.784 | Polvo amarillento | Aislado de una esponja indonésica no identificada. | Activo contra Mycobacterium tuberculosis (H37Rv). [α]25D = +25.9 (c, 0.5 en MeOH). UV: [neutro]λmax218;240;280;291;356;359 (MeOH) |
| 32,33-Dihidro-6-hidroxi-35-oxomanzamina A. | 35-Oxo, 6-hidroxy, 32,33-dihidro de la manzamina A | C36H44N4O3 | 581782-67-4 | 580.769 | Sólido, polvo amarillo pálido descompone a temperaturas mayores a 200ºC | Aislado de una esponja indonésica no identificada. | Muestra actividad contra Mycobacterium tuberculosis (H37Rv). [α]25D = +10 (c, 1 en MeOH); UV: [neutral]λmax219;248;268;356;395 ( MeOH) |
| 12,34-Oxamanzamina A | 12-Desoxi, 12,34-epoxi manzamina A | C36H42N4O | 546.754 | Polvo; descompone a 164ºC | Alcaloide de una esponja indopacífica no identificada[10] | Muestra actividad contra Leishmania donovani; [α]25D = +40 (c, 0.6 en cloroformo); UV: [neutral]λmax252 (log ε3.82) ;271 (log ε3.71) ;358 (log ε3.41) ( MeOH) | |
| 12,28-Oxamanzamina A | 12-Deoxi, 12,28α-epóxido de la manzamina A | C36H42N4O | 721429-59-0 | 546.754 | Sólido amorfo descompone a 148ºC | Aislado de una esponja del género Acanthostrongylophora. | [α]25D = +38 (c, 0.1 en cloroformo). UV: [neutral]λmax253 (log ε3.81) ;274 (log ε3.66) ;352 (log ε3.41) (MeOH). |
| 8-Hidroxi-12,28-oxamanzamina A | 12-Desoxi, 12,28α-epoxi, 8-hidroximanzamina A | C36H42N4O2 | 721429-60-3 | 562.753 | Sólido amorfo (EtOH) descompone a 160ºC | Aislado de la esponja Acanthostrongylophora sp.[11] | [α]25D = +8 (c, 0.1 en cloroformo); UV: [neutral]λmax251 (log ε3.85) ;273 (log ε3.78) ;356 (log ε3.38) ( MeOH) |
| Manzamina B | ![]() |
C36H46N4O | 112663-92-0 | 550.79 | Sólido | Aislado de la esponja Acanthostrongylophora sp.[12] | Presenta actividad antimalárica, antileishmania, antituberculótica, y contra el virus HIV-1. |
| Manzamina C | ![]() |
C23H29N3 | 112693-24-0 | 347.5 | Sólido | Aislado de una esponja del género Haliclona[13] | |
| Manzamina D | ![]() |
C36H48N4O | 116477-23-7 | 552.801 | Sólido | Aislado de esponjas de los géneros Haliclona, Ircinia y Amphimedon[14][15] | Agente citotóxico. Muestra fuerte actividad contra Mycobacterium tuberculosis (H37Rv).[α]24D = +44. Soluble en metanol, cloroformo. Poco soluble en agua y hexano. UV: [neutral]λmax223 (ε28800) ;281 (ε6700) ;288 (ε5400) ( MeOH). |
| 1-Epimanzamina D | 1S,2,3,4-Tetrahidro | C36H48N4O | 302327-68-0 | 552.801 | Polvo amorfo | Aislado de una esponja no identificada colectada en Palau. | Agente citotóxico. Muestra fuerte actividad contra Mycobacterium tuberculosis (H37Rv).[16] [α]23D = +77.3 (c, 0.16 en cloroformo). UV: [neutral]λmax225 (log ε4.23) ;281 (log ε3.79) (MeOH). |
| 1-Epi-2-N-metilmanzamina D | 1S,2,3,4-Tetrahidro, N2-Metilo de la manzamina D | C37H50N4O | 302327-67-9 | 566.828 | Cristales (Metanol) PF = 185 - 188°C | Aislado de una esponja de Palau | Activo contra Mycobacterium tuberculosis (H37Rv). Citotóxico. [α]23D = +91.4 (c, 0.27 en cloroformo),UV: [neutro]λmax223 (log ε4.24) ;281 (log ε3.74) (MeOH). |
| 8-Hidroximanzamina D | 8-Hidroxi, 1R,2,3,4-tetrahidromanzamina D | C36H48N4O2 | 160070-84-8 | 568.801 | Sólido | Aislado de la esponja de Papúa Nueva Guinea Petrosia contignata¡ | Muestra fuerte actividad contra Mycobacterium tuberculosis (H37Rv) |
| 8-Hidroxi-2-N-metilmanzamina D | 8-Hidroxi, 1R,2,3,4-tetrahidro, N2-Metil manzamina D | C37H50N4O2 | 160070-83-7 | 582.828 | Sólido en polvo | Aislado de la esponja de Nueva Guinea Petrosia contignata y de una especie del género Cribrochalina. | Activo contra células de leucemia P388. Muestra actividad contra Mycobacterium tuberculosis (H37Rv). [α]D = +46 (c, 0.006 en diclorometano) |
| Manzamina E | ![]() |
C36H44N4O2 | 117631-50-2 | 564.769 | Cristales (MeCN) PF = 174 - 176°C | Aislado de una especie de Xestospongia junto con la manzamina F.[17] | [α]D = +63.7 (c, 2.51 en cloroformo). Es soluble en metanol, cloroformo, acetato de etilo. UV: [ácido]λmax238 (ε15300) ;278 (ε9680) ;290 (ε8350) ;346 (ε4420) ;358 (ε4770) ( clorhidrato) [neutral]λmax219 (ε22900) ;236 (ε18600) ;280 (ε10800) ;290 (ε11000) ;346 (ε5300) ;357 (ε5600) ( MeOH) [neutral]λmax220 (ε35800) ;237 (ε28100) ;279 (ε18000) ;346 (ε7700) ;359 (ε9300) ( MeOH) |
| 6-Hidroximanzamina E | 31-Oxo, 6-hidroxi, 32,33-dihidromanzamina A | C36H44N4O3 | 580.769 | Polvo amarillo (Cloroformo) | Aislado de una esponja de Indonesia del género Acanthostrongylophora . | [α]25D = +34.4 (c, 0.2 en cloroformo). UV: [neutro]λmax218 (log ε3.64) ;239 (log ε3.63) ;280 (log ε3.25) ;288 (log ε3.09) ;346 (log ε3.42) (MeOH) | |
| 12,28-Oxamanzamina E. | 12-Desoxi, 12,28α-epoxi, 31-oxo, 32,33-dihidro manzamina A | C36H42N4O2 | 562.753 | Sólido amarillo pálido. | Aislado de una especie de esponja del género Acanthostrongylophora. | [α]25D = +29.4 (c, 0.2 en cloroformo) UV: [neutral]λmax250 (log ε3.8) ;281 (log ε3.63) ;352 (log ε3.31) ;361 (log ε3.42) (MeOH) | |
| 12,34-Oxamanzamina E. | 12-Desoxi, 12,34-epoxi, 31-oxo, 32,33-dihidro manzamina A | C36H42N4O2 | 562.753 | Sólido pálido amarillo (MeOH), descompone a 152°C | Aislado de una esponja indonésica del género Acanthostrongylophora. | [α]25D = +44.3 (c, 0.6 en cloroformo).UV: [neutral]λmax239 (log ε3.38) ;252 (log ε3.82) ;275 (log ε3.65) ;354 (log ε3.41) ( MeOH). | |
| 6-Hidroxi-12,34-oxamanzamina E | 12-Desoxi, 12,34-epoxi, 31-oxo, 6-hidroxi, 32,33-dihidro manzamina A | C36H42N4O3 | 578.753 | Polvo amarillo descompone a 163ºC | Aislado de la esponja del género Acanthostrongylophora. | [α]25D = +44.3 (c, 0.4 en cloroformo), UV: [neutral]λmax252 (log ε3.82) ;275 (log ε3.67) ;356 (log ε3.41) (MeOH) | |
| ent-12,34-Oxamanzamina E | 12-Desoxi, 12,34-epoxi, 31-oxo, 32,33-dihidromanzamina A | C36H42N4O2 | 479411-38-6 | 562.753 | Polvo amorfo pardo 152ºC | Aislado de una esponja indopacífica. | [α]25D = -54.6 (c, 0.3 en cloroformo). UV: [neutral]λmax252 (log ε3.82) ;275 (log ε3.65) ;354 (log ε3.41) (MeOH) |
| Manzamina F (Keramamina B) | ![]() |
C36H44N4O2 | 107900-75-4 | 580.769 | Cristales (MeCN) descomponen a 200ºC | Aislados de Xestospongia sponge y de Petrosia sp. | Citotóxico. Muestra actividad antimicrobiana contra Mycobacterium tuberculosis (H37Rv) [α]D = +59.9 (c, 1.67 en cloroformo); UV: [ácido]λmax245 (ε25600) ;268 (ε12100) ;353 (ε6800) ;360 (ε6820) ( as AcOH salt) [neutral]λmax220 (ε36000) ;244 (ε31000) ;265 (ε13900) ;355 (ε8100) (MeOH) |
| ent-Manzamina F | 31-Oxo, 8-hidroxi, 32,33-dihidromanzamina A | C36H44N4O3 | 403619-71-6 | 580.769 | Polvo amarillo (EtOH) Descompone a 194ºC. | Aislado de una esponja de la familia Petrosiidae. | Presenta actividad contra Toxoplasma gondii y tiene una fuerte actividad antimalárica. También muestra actividad contra Mycobacterium tuberculosis (H37Rv). [α]D = -44.6 (c, 0.11 en cloroformo). UV: [neutro]λmax266 (log ε3.04) ;300 (log ε3.02) ;380 (log ε2.92) ( MeOH) |
| ent-12,34-Oxamanzamina F | 12-Desoxi, 12,34-epoxi, 8-hidroxi, 32,33-dihidromanzamina A | C36H42N4O3 | 402935-15-3 | 578.753 | Polvo (MeOH) descompone a 164ºC | Aislado de una esponja indopacífica no identificada. | Muestra fuerte actividad contra Mycobacterium tuberculosis(H37Rv). [α]25D = +40 (c, 0.6 en cloroformo). UV: [neutro]λmax252 (log ε3.82) ;271 (log ε3.71) ;358 (log ε3.41) ( MeOH) |
| Manzamina G | ![]() |
C36H44N4O2 | 154466-37-2 | 564.769 | Cristales amarillo pálido descomponen a 230ºC | Aislado de las esponjas Acanthostrongylophora ingens, Amphimedon sp. y Pachypellina sp.[18] | Exhibe actividad antitumoral, antimalárica y anti-HSV-II. Es activa contra Leishmania donovani y Mycobacterium tuberculosis (H37Rv) |
| ent-Manzamina G | 8-Hidroximanzamina A | C36H44N4O2 | 403619-70-5 | 564.769 | Polvo amarillo (MeOH). Descompone a 197ºC | Aislado de una esponja perteneciente a la familia Petrosiidae | Exhibe actividad contra Toxoplasma gondii y una fuerte actividad antimalárica, así como actividad fuerte contra Mycobacterium tuberculosis (H37Rv).[α]25D = -112 ( c, 0.12 en cloroformo). UV: [neutro]λmax266 (log ε2.95) ;282 (log ε2.94) ;390 (log ε2.85) ( MeOH) |
| Manzamina Y | ![]() |
C36H44N4O2 | 162465-79-4 | 564.769 | Sólido amarillento amorfo. PF = 253ºC | Aislado de una esponja de Okinawa Amphimedon sp. y Haliclona sp. | Citotóxico contra células L-1210 y KB. Presenta actividad antibacterial. Muestra gran actividad contra Mycobacterium tuberculosis (H37Rv). [α]20D = +139 (c, 1.1 in MeOH). |
| Manzamina X | ![]() |
C36H44N4O3 | 164301-23-9 | 580.769 | Sólido, prismas amarillos (Hexano/acetona) PF = 250ºC | Aislada de una esponja del género Xestospongia. | Citotóxico contra células L-1210 y KB cells. Exhibe actividad antibacteriana. [α]19D = +66.1 (c, 1.93 en cloroformo). UV: [neutral]λmax215 (ε29500) ;300 (ε17000) ;378 (ε4800) (MeOH). |
| 6-Desoximanzamina X | 31,34-Epoxi, 32,33-dihidro manzamina A | C36H44N4O2 | 184361-73-7 | 564.769 | Sólido amorfo color amarillo pálido. | Aislado de Xestospongia ashmorica | Agente citotóxico. Activo contra Leishmania donovani y Mycobacterium tuberculosis (H37Rv).[α]D = +30.1 (c, 0.35 en cloroformo). UV: [neutral]λmax210 (ε26000) ;260 (ε11800) ;312 (ε10000) ;378 (ε3000) ( MeOH) |
Biosíntesis
Estos alcaloides son β-carbolinas producidas por una reacción tipo Mannich entre el triptófano y los ircinales A o B con posterior oxidación[19]

Referencias
- ↑ R. Sakai, T. Higa, C. W. Jefford, G. Bernardinelli. J. Am. Chem. Soc. 108, 6404 (1986)
- ↑ E. Magnier and Y. Langlois. Tetrahedron 54, 6201 (1998)
- ↑ J. D. Winkler and J. M. Axten. J. Am. Chem. Soc. 120, 6425 (1998); S. F. Martin, J. M. Humphrey,A. Ali, M. C. Hillier. J. Am. Chem. Soc. 121, 866 (1999)
- ↑ K. K. H. Ang, M. J. Holmes, T. Higa, M. T. Hamann, U. A. K. Kara. Antimicrob. Agents Chemother. 44, 1645 (2000)
- ↑ Ang, K.K.H. et al., Antimicrob. Agents Chemother., 2000, 44, 1645- 1649
- ↑ Sakai, R. et al., JACS, 1986, 108, 6404- 6405
- ↑ Nakamura, H. et al., Tet. Lett., 1987, 28, 621- 624
- ↑ Kobayashi, J. et al., J. Nat. Prod., 1994, 57, 1737- 1740
- ↑ Rao, K.V. et al., J. Nat. Prod., 2003, 66, 823- 828; 2004, 67, 1314- 1318
- ↑ Yousaf, M. et al., J. Med. Chem., 2004, 47, 3512- 3517
- ↑ Ichiba, T. et al., J. Nat. Prod., 1994, 57, 168- 170
- ↑ Karumanchi et al. J. Nat. Prod., 2006, 69 (7), pp 1034–1040
- ↑ Sakai et al. Tetrahedron Letters. Volume 28, Issue 45, 1987, Pages 5493–5496
- ↑ Eur. Pat., 1988, 272 056
- ↑ Winkler, J.D. et al., JACS, 1998, 120, 6425- 6426
- ↑ Crews, P. et al., Tetrahedron, 1994, 50, 13567- 13574
- ↑ Ichiba, T. et al., Tet. Lett., 1988, 29, 3083- 3086
- ↑ El Sayed, K.A. et al., JACS, 2001, 123, 1804- 1808
- ↑ Baldwin et al. Angew. Chem. Int. Ed. 1998, 37, No. 19.








