Mesoridazina
| Mesoridazina | ||
|---|---|---|
![]() | ||
| General | ||
| Fórmula estructural |
![]() | |
| Fórmula molecular | ? | |
| Identificadores | ||
| Número CAS | 5588-33-0[1] | |
| ChEBI | 6780 | |
| ChEMBL | 846 | |
| ChemSpider | 3891 | |
| DrugBank | DB00938 | |
| PubChem | 4034 | |
| UNII | U2X2H4YD3D | |
| KEGG | D08260 | |
|
CN1CCCCC1CCN2C3=CC=CC=C3SC4=CC=CC=C42S(C)=O
| ||
| Propiedades físicas | ||
| Masa molar | 386,148655 g/mol | |
La mesoridazina (de nombre comercial Serentil) es un antipsicótico de la clase de las fenotiazinas que se utilizaba en el tratamiento de la esquizofrenia.[2] Es uno de los metabolitos activos de la tioridazina. El nombre del fármaco proviene de los grupos funcionales metilsulfoxi y piperidina presentes en su estructura química.
Posee efectos antiadrenérgicos centrales, antidopaminérgicos, antiserotoninérgicos y anticolinérgicos muscarínicos débiles.
Entre sus efectos secundarios graves se encuentran la acatisia, la discinesia tardía y el síndrome neuroléptico maligno, potencialmente mortal.
La mesoridazina fue retirada del mercado de Estados Unidos en 2004 debido a efectos secundarios peligrosos, en particular la arritmia cardíaca y la prolongación del intervalo QT en el electrocardiograma.[3]
Actualmente, la mesoridazina figura en la Lista de Productos Farmacéuticos Descontinuados de la Administración de Alimentos y Medicamentos.[4]
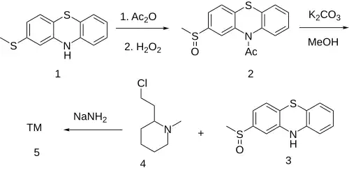
Síntesis

La 2-metiltiophenotiazina [7643-08-5] (1) se trata con anhídrido acético para obtener la amida protegida, es decir, 10-acetil-2-metiltiophenotiazina.CID:69367526 La oxidación de este compuesto mediante peróxido de hidrógeno y la posterior eliminación del grupo protector acetilo con carbonato de potasio en solución de metanol da lugar a la 2-metilsulfonilfenotiazina.[23503-68-6] (3)
La introducción de la cadena lateral mediante alquilación con 2-(2-cloroetil)-1-metilpiperidina [50846-01-0] (6), en presencia de sodamida, permite obtener la mesoridazina deseada (5).
Referencias
- ↑ Número CAS
- ↑ «Mesoridazine -- a pharmacodynamic and pharmacokinetic profile». The Journal of Clinical Psychiatry 42 (12): 463-9. Diciembre 1981. PMID 7031039.
- ↑ American Society of Health-System Pharmacists (AHFS). «Mesoridazine». Medline Plus. U.S. National Library of Medicine.
- ↑ Food and Drug Administration (Abril 2021). «Determination That SERENTIL (Mesoridazine Besylate) Tablets, 10 Milligrams, 25 Milligrams, 50 Milligrams, and 100 Milligrams, Were Not Withdrawn From Sale for Reasons of Safety or Effectiveness». National Register. U.S. Government.
Enlaces externos
- Esta obra contiene una traducción derivada de «Mesoridazine» de Wikipedia en inglés, concretamente de esta versión del 14 de enero de 2025, publicada por sus editores bajo la Licencia de documentación libre de GNU y la Licencia Creative Commons Atribución-CompartirIgual 4.0 Internacional.

