Morfina
| Morfina | ||
|---|---|---|
![]() | ||
![]() | ||
| Nombre (IUPAC) sistemático | ||
|
(5α,6α)-7,8-didehidro- 4,5-epoxi-17-metilmorfinan-3,6-diol | ||
| Identificadores | ||
| Número CAS |
57-27-3 64-31-3 (sulfato), 52-26-6 (clorhidrato) | |
| Código ATC | N02AA01 | |
| PubChem | 5288826 | |
| DrugBank | DB00295 | |
| ChemSpider | 4450907 | |
| UNII | 76I7G6D29C | |
| KEGG | D08233 | |
| ChEBI | 70 | |
| Datos químicos | ||
| Fórmula | C17H19NO3 | |
| Peso mol. | 285,34 | |
|
CN1CC[C@]23c4c5ccc(c4O[C@H]2[C@H](C=C[C@H]3[C@H]1C5)O)O
| ||
|
InChI=1S/C17H19NO3/c1-18-7-6-17-10-3-5-13(20)16(17)21-15-12(19)4-2-9(14(15)17)8-11(10)18/h2-5,10-11,13,16,19-20H,6-8H2,1H3/t10-,11+,13-,16-,17-/m0/s1
Key: BQJCRHHNABKAKU-KBQPJGBKSA-N | ||
| Datos físicos | ||
| P. de fusión | 253-254 °C (-172 °F) | |
| Solubilidad en agua | (como clorohidrato) 40 mg/mL (20 °C) | |
| Farmacocinética | ||
| Biodisponibilidad | ~25% (oral), 100% (intravenosa) | |
| Unión proteica | 30–40% | |
| Metabolismo | Hepático 90% | |
| Vida media | 2–3 horas | |
| Excreción | Renal 90%, biliar 10% | |
| Datos clínicos | ||
| Cat. embarazo | C (AU) No hay estudios en humanos. El fármaco solo debe utilizarse cuando los beneficios potenciales justifican los posibles riesgos para el feto. Queda a criterio del médico tratante. (EUA) | |
| Estado legal | S8 (AU) Lista I (CA) Grupo I ℞-Receta especial requerida (MEX) Lista II (EUA) | |
| Vías de adm. | Respiratoria, oral, rectal, subcutánea, intramuscular, intravenosa, intrarraquidea | |
La morfina es un opiáceo que se encuentra de forma natural en el opio, una resina marrón oscura producida al secar el látex de la amapola de opio (Papaver somniferum). Se utiliza principalmente como analgésico (medicamento para tratar el dolor). Existen múltiples métodos para administrar la morfina: oral, sublingual, por inhalación, inyección en un músculo, inyección debajo de la piel o inyección en el área de la médula espinal, transdérmico, o mediante supositorio rectal.[1][2] Actúa directamente en el sistema nervioso central (SNC) para inducir analgesia y alterar la percepción y la respuesta emocional al dolor. La administración repetida puede provocar drogodependencia y tolerancia física y psicológica.[1] Se puede tomar tanto para el dolor agudo como para el dolor crónico y se utiliza con frecuencia para el dolor del infarto de miocardio, los cálculos renales y durante el parto.[1] Su efecto máximo se alcanza después de unos 20 minutos cuando se administra por vía intravenosa y de 60 minutos cuando se administra por vía oral, con una duración de 3 a 7 horas.[1][3] Las formulaciones de morfina de acción prolongada se comercializan bajo las marcas MS Contin y Kadian, entre otras. También existen formulaciones genéricas de acción prolongada.[1]
Los efectos secundarios comunes de la morfina incluyen somnolencia, euforia, náuseas, mareos, sudoración y estreñimiento.[1] Los efectos secundarios potencialmente graves de la morfina incluyen hipoventilación, vómitos y presión arterial baja.[1] La morfina es altamente adictiva y propensa al abuso.[1] Si se reduce la dosis después de un uso prolongado, pueden aparecer síntomas de síndrome de abstinencia de opioides.[1] Se recomienda precaución con el uso de morfina durante el embarazo o la lactancia, ya que puede afectar la salud del bebé.[1][4]
La morfina fue aislada por primera vez en 1804 por el farmacéutico alemán Friedrich Sertürner.[5][6] Se cree que este fue el primer aislamiento de un alcaloide medicinal de una planta.[7] Merck comenzó a comercializarla en 1827.[6] La morfina se usó más ampliamente después de la invención de la jeringa hipodérmica en 1853-1855.[6][8] Sertürner originalmente nombró a la sustancia morfio, en honor al dios griego de los sueños, Morfeo, ya que tiene tendencia a causar sueño.[8][9]
La principal fuente de morfina es el aislamiento de la paja de adormidera de la planta del opio.[10] En 2013, se produjeron aproximadamente 523 toneladas de morfina,[11] Aproximadamente 45 toneladas se usaron directamente para el dolor, un aumento del 400% en los últimos veinte años.[11] La mayor parte del uso para este propósito fue en el mundo desarrollado.[11] Alrededor del 70% de la morfina se usa para fabricar otros opioides como la hidromorfona, la oximorfona y la heroína.[11][12][13] Es una droga de la Lista II en los Estados Unidos[12] de Clase A en el Reino Unido,[14] y de la Lista I en Canadá.[15] Está en la Lista de Medicamentos Esenciales de la Organización Mundial de la Salud.[16] En 2022, fue el 139.º medicamento más recetado en los Estados Unidos, con más de 4 millones de recetas.[17][18] Está disponible como medicamento genérico.[19]
Historia
Los humanos han cultivado la adormidera desde hace al menos 7.000 años. Esta planta es nativa del sur y este del Mediterráneo en Europa, donde fue por primera vez domesticada. Se ha encontrado evidencia de cultivo y uso en asentamientos de finales de la Edad de Piedra en las cercanías de los ríos Rin, Ródano, Po y Danubio, en el lago Bracciano en Italia y Alemania, aproximadamente en el año 5700 a. C.
Otro hallazgo con respecto a la adormidera fue en España, en las cercanías de Granada, una cueva llamada la Cueva de los Murciélagos, se encontraron cápsulas de esta planta en que datan del año 4200 a. C. aproximadamente.
Para el 3400 a. C., los sumerios en Mesopotamia llamaban «Gil» (felicidad) al opio y «Hul Gil» (planta de la alegría) a la adormidera. El conocimiento del cultivo de dicha planta fue traspasado a los asirios, los babilonios y finalmente los egipcios.
Alejandro Magno introdujo el opio en Persia y la India, donde fue cultivado en grandes cantidades. Ya en el año 400 d. C. el opium thebacium fue introducido a China por los comerciantes árabes.
Para el año 130 a. C. los egipcios cultivaban el opium thebacium, llamado así por la ciudad de Tebas, lugar desde donde lo comerciaban desde el Medio Oriente y hasta Europa. Durante estos años los efectos del opio se consideraban mágicos o místicos.
En Grecia, Hipócrates desechó la idea de que el opio era mágico, en cambio le dio la definición de analgésico y antihemorrágico.
Durante la Edad Media, época en la cual todo lo que provenía del oriente era considerado demoníaco, el opio fue prohibido en Europa. Sin embargo, el gran desarrollo de la navegación reintrodujo la droga a fines del siglo XV y comienzos del siglo XVI. Se cree que los navegantes portugueses fueron los primeros en fumar el opio en el siglo XV, y como cualquier droga, fumarla tiene efectos inmediatos, a diferencia de beberla o comerla.
En el año 1522, Paracelso creó el «láudano», un brebaje alcohólico con base en el opio que él mismo describió como analgésico potente que debía usarse con moderación. Esta preparación fue utilizada hasta el siglo XIX para tratar una amplia gama de enfermedades. Aún en esa época no se comprendía totalmente el mecanismo de la adicción al opio. Uno de los más grandes médicos ingleses fue Thomas Sydenham, quien también sintetizó láudano en el siglo XVII, siendo utilizado por muchos años también.
La morfina, el alcaloide que está en mayor porcentaje en el opio (11-16 %), fue el primero en ser aislado de la planta de amapola del opio por Friedrich Sertürner en diciembre de 1804 en Paderborn.[20] Este le dio el nombre de morfina en honor al dios griego de los sueños, Morfeo, ya que esta sustancia producía un sueño intenso. Este compuesto activo aislado fue comercializado por Sertürner y su compañía en 1817 como un analgésico, así como tratamiento para la adicción al alcohol y el opio.
Su amplio uso en la Guerra de Secesión dejó unas 400.000 víctimas adictas a la morfina, más conocida como «enfermedad del soldado», ya que fue el analgésico de preferencia desde su venta como alcaloide aislado del opio.
Actualmente su uso es motivo de controversia, como el de la heroína, esta última sintetizada por Charles Romley Alder Wright a partir de la morfina en 1874,[21] y comercializada en 1898 por el laboratorio alemán Bayer.
La morfina se volvió rápidamente utilizada por los médicos en el tratamiento de varios síntomas. Se utilizó como analgésico, antitusivo, antidiarreico e incluso en problemas respiratorios. Con la aparición de las agujas hipodérmicas, la morfina se hizo inyectable gracias al Dr. Alexander Wood en 1853. Los efectos eran instantáneos y más fuertes que los de la morfina oral. Al poco tiempo de la aparición de la morfina inyectable, cobró su primera víctima por sobredosis.
Con el correr de los años, y el avance tecnológico de la química, se descubrió que los opiáceos y sus derivados, causaban una fuerte adicción, es por esto que comenzó el control de estas sustancias en países como Estados Unidos a comienzos del siglo XX.
En el año 1925 se determinó la fórmula estructural de la morfina, junto con tres nuevos métodos de síntesis de esta droga. En 1952 se anunció la patente de la producción de morfina desde el alquitrán de carbón, por el Dr. Marshall Gates Jr. de la Universidad de Rochester. A pesar de estos nuevos métodos de obtención, la principal fuente de morfina sigue siendo la Amapola o Adormidera.
En el año 2003, hubo un gran descubrimiento con respecto a la morfina endógena. Durante muchos años se especuló con respecto a si existían o no receptores para esta droga endógena. El receptor opiáceo µ3 es más susceptible a los opiáceos, sobre todo a la morfina.
En la actualidad la morfina es una de las drogas con prescripción más utilizadas en tiempos de escasez de otras drogas como la metadona y la codeína, entre otras.
Farmacología
Molécula de la morfina
La morfina es una sustancia controlada, opiácea agonista utilizada en premedicación, anestesia, analgesia, tratamiento del dolor asociado a la isquemia miocárdica y para la disnea asociada al fracaso ventricular izquierdo agudo y edema pulmonar. Es un polvo blanco, cristalino, inodoro y soluble en agua.
Su estructura molecular es C17H19NO3 y su nomenclatura IUPAC es (5α, 6α)-Didehidro-4,5-epoxi-17-metilmorfinan-3,6-diol. Se administra como sulfato de morfina, con una solubilidad de 60 mg/mL siendo su estructura (C17H19NO3)2 H2SO4 5H20. También se puede administrar como clorhidrato de morfina, siendo su estructura C17H20ClNO3 3H2O.
Fue administrada primero por vía oral, luego vía subdérmica, descargando la dosis necesaria. Finalmente adquirió gran notoriedad gracias a la invención de la jeringa de Pravaz y sobre todo a su utilización masiva por parte de los militares durante la guerra de 1907. A partir de 1951 fue posible la síntesis química y de derivados morfínicos.
Actualmente sigue siendo el analgésico clásico más eficaz para aliviar los dolores agudos, pero su utilización va decreciendo a medida que aparecen nuevas drogas sintéticas, las cuales se supone son menos adictivas y permiten que personas alérgicas a ella puedan aliviar igualmente sus dolores.
La morfina también se usa para paliar la adicción a ciertas drogas como la heroína y la cocaína.
Distribución y metabolismo
Casi 30% de la morfina en el plasma está ligada a proteínas. La morfina por sí misma no persiste en los tejidos y 24 h después de la última dosis, las concentraciones de histamina son bajas. La principal vía metabólica de la morfina es la conjugación con el ácido glucurónico para dar origen a morfina-6-glucurónido y morfina-3-glucurónido; se forman pequeñas cantidades de morfina-3,6-diglucurónido. La N-desmetilación de la morfina a normorfina es una vía metabólica menor. Aunque se entiende como un proceso de excreción, los glucurónidos 3 y 6 más polares pueden atravesar la barrera hematoencefálica para ejercer efectos clínicos significativos (Christrup, 1997). De hecho, la morfina-6-glucurónido tiene acciones farmacológicas indistinguibles de las observadas con morfina y, si se administran por vía sistémica, se informa que es casi dos veces más potente que la morfina en modelos en animales y en seres humanos (Osborne et al., 1992), aunque se ha informado que las poblaciones chinas pueden ser menos sensibles a la morfina como resultado de una menor producción de morfina-6-glucurónido (Caraco et al., 1999). En los pacientes sometidos a tratamiento con morfina oral crónica, las concentraciones plasmáticas de morfina-6-glucurónido superan a las de la morfina, de modo que el 6-glucurónido causa una parte importante de la analgesia y de la mayoría de los efectos de la morfina. La morfina-6-glucurónido se excreta por vía renal y, en caso de insuficiencia renal, las concentraciones de este metabolito pueden acumularse, lo que posiblemente explique la potencia y la larga duración de la morfina en pacientes con compromiso de la función renal.[22]
Excreción
La morfina se elimina por filtración glomerular, sobre todo como morfina-3-glucurónido; casi 90 % de la excreción total de morfina tiene lugar el primer día después de la administración. Muy poca morfina se excreta sin cambios. La circulación enterohepática de la morfina y sus glucurónidos explica la presencia de pequeñas cantidades de morfina en las heces y la orina durante varios días después de la última dosis.[22]
Usos medicinales

La morfina se emplea legalmente con fines medicinales, como analgésico en hospitales para tratar dolencias, como:[cita requerida]
- Dolor en el infarto agudo de miocardio.
- Dolor posquirúrgico.
- Dolor asociado con golpes.
- Penetraciones agudas.
- Dolor provocado por el cáncer.
- Dolor provocado por los huesos.
Contraindicaciones
- Depresión respiratoria aguda.
- Pancreatitis aguda.
- Fallo renal (por la acumulación de morfina-6-glucurónido).
- Toxicidad química (potencialmente letal para personas con baja tolerancia).
Derivados químicos
- Heroína: droga ilícita y, en algunos casos, analgésico bajo el nombre de diamorfina.
- Hidromorfona: analgésico.
- Naloxona, naltrexona y metilnaltrexona: antagonistas opioides. Se unen a receptores e impiden la acción de los opioides tanto externos como internos. Se usan para evitar la toxicidad de los opioides.
- Buprenorfina: agonista parcial de los receptores opioides. Potente analgésico, útil en dolores moderados. Es más seguro en cuanto a la depresión respiratoria propia de los opioides que la morfina.
- Etilmorfina: analgésico y antidiarreico.
- Dihidrocodeína: analgésico y antitusígeno.
- Folcodina: antitusígeno.
- Tramadol: analgésico opioide parcial, para dolores moderados, menos adictivo que los opioides totales como la morfina.
Efectos secundarios
Efectos fisiológicos
- Reducción del apetito.
- Reducción de la frecuencia cardíaca.
- Reducción de la presión sanguínea.
- Reducción de la temperatura corporal.
- Contracción de la pupila.
- Boca seca.
- Dependencia.
- Disfunción sexual.
- Estreñimiento.
- Gastroparesia.
- Incoordinación.
- Letargo.
- Mareo.
- Náusea.
- Pérdida de peso.
- Picazón.
- Respiración lenta.
- Retención urinaria.
- Somnolencia.
- Visión borrosa.
- Vómitos.
Efectos psicológicos
- Adicción.
- Agresión.
- Alucinaciones.
- Apatía.
- Arrebatos de ira.
- Delírium.
- Depresión.
- Cambios de humor.
- Confusión mental.
- Euforia.
- Falsa sensación de bienestar.
- Hostilidad.
- Ideación suicida.
- Irritabilidad.
Clasificación legal
- En el Reino Unido, se enumera la morfina como una droga de clase A bajo la ley de uso no permitido de drogas de 1972.[cita requerida]
- En los Estados Unidos, se clasifica como Schedule II bajo la Ley de control de substancias.[cita requerida]
- En Canadá, se clasifica como Schedule I bajo la Ley de control de drogas y substancias.[cita requerida]
- En Australia, se clasifica Schedule 8.[cita requerida]
- Internacionalmente, la morfina es una droga Schedule I bajo la convención única sobre estupefacientes.[23]
Síntesis
La síntesis total de la morfina fue realizada por primera vez por Marshall D. Gates, Jr. en 1952 y es considerada un método clásico.[24][25] La síntesis total de Gates de la morfina es uno de los primeros ejemplos de la reacción de Diels-Alder en el contexto de una síntesis total.

Muchas otras síntesis han sido reportadas, tales como las realizadas por Rice,[26] Evans,[27] Fuchs,[28] Parker,[29] Overman,[30] Mulzer-Trauner,[31] White,[32] Taber,[33] Trost,[34] Fukuyama,[35] Guillou[36] y Stork.[37]
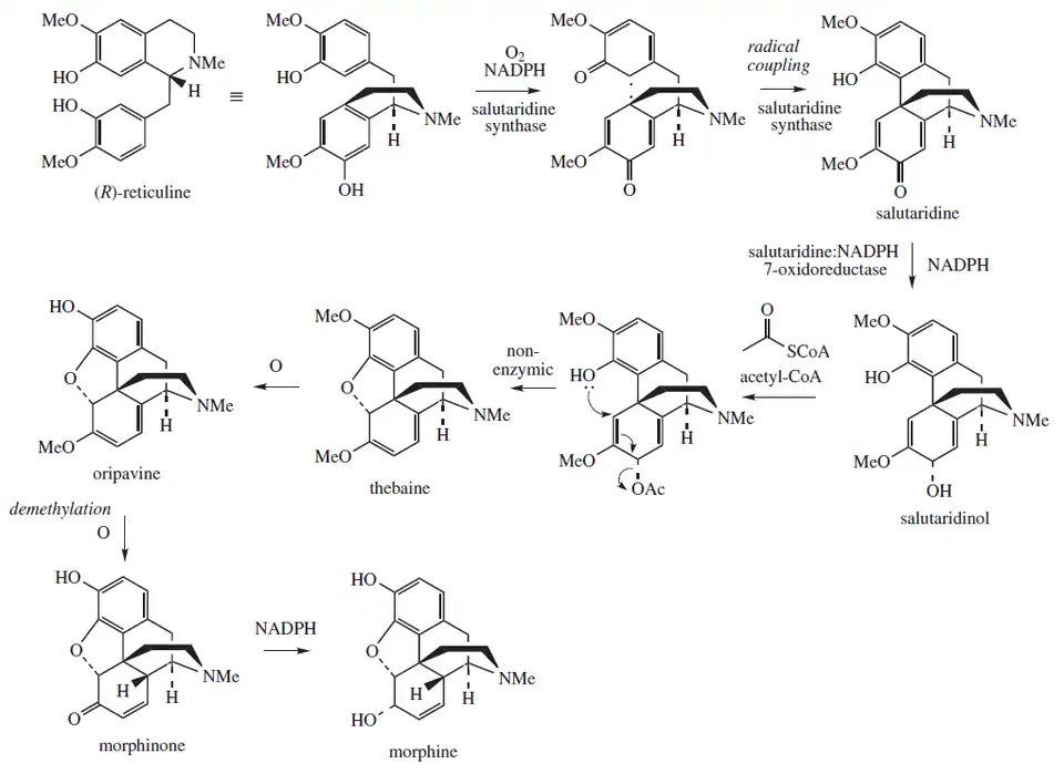
Biosíntesis
La morfina es biosintetizada en una serie de reacciones en donde están implicadas la salutaridina sintasa, la salutaridina:NADPH 7-oxidoreductasa, y la salutaridinol 7-O-acetiltransferasa.[cita requerida]

Véase también
Referencias
- ↑ a b c d e f g h i j «Morphine sulfate». The American Society of Health-System Pharmacists. Archivado desde el original el 2 de mayo de 2015. Consultado el 1 June 2015.
- ↑ «Endogenous morphine: up-to-date review 2011». Folia Biologica 58 (2): 49-56. 2012. PMID 22578954. doi:10.14712/fb2012058020049. Archivado desde el original el 24 August 2016. Consultado el 10 October 2016. «Positive evolutionary pressure has apparently preserved the ability to synthesize chemically authentic morphine, albeit in homeopathic concentrations, throughout animal phyla.» Parámetro desconocido
|vauthors=ignorado (ayuda) - ↑ Rockwood and Wilkins' fractures in children (7th edición). Philadelphia, Pa.: Lippincott Williams & Wilkins. 2009. p. 54. ISBN 978-1-58255-784-7. Archivado desde el original el 8 September 2017. Parámetro desconocido
|vauthors=ignorado (ayuda) - ↑ «Morphine Use During Pregnancy». Drugs.com. 14 October 2019. Consultado el 21 August 2020.
- ↑ «Opioid Pharmacology». Pain Physician 11 (2): S133-53. March 2008. PMID 18443637. doi:10.36076/ppj.2008/11/S133. Parámetro desconocido
|vauthors=ignorado (ayuda) - ↑ a b c Forces of habit drugs and the making of the modern world (1 edición). Cambridge, Mass.: Harvard University Press. 2009. pp. 36-37. ISBN 978-0-674-02990-3. Archivado desde el original el 8 September 2017. Parámetro desconocido
|vauthors=ignorado (ayuda) - ↑ Molecular, clinical and environmental toxicology. Springer. 2009. p. 20. ISBN 978-3-7643-8335-0. Parámetro desconocido
|veditors=ignorado (ayuda) - ↑ a b Drugs and Drug Policy: The Control of Consciousness Alteration. SAGE Publications. 2013. p. 123. ISBN 978-1-4833-2188-2. Archivado desde el original el 8 September 2017. Parámetro desconocido
|vauthors=ignorado (ayuda) - ↑ Encyclopedia of substance abuse prevention, treatment, & recovery. Los Angeles: SAGE. 2009. p. 564. ISBN 978-1-4522-6601-5. Archivado desde el original el 8 September 2017. Parámetro desconocido
|vauthors=ignorado (ayuda) - ↑ Narcotic Drugs Estimated World Requirements for 2008, Statistics for 2006. New York: United Nations Pubns. 2008. p. 77. ISBN 978-92-1-048119-9. Archivado desde el original el 8 September 2017.
- ↑ a b c d Narcotic Drugs 2014. INTERNATIONAL NARCOTICS CONTROL BOARD. 2015. pp. 21, 30. ISBN 978-92-1-048157-1. Archivado desde el original el 2 June 2015.
- ↑ a b Morphine. New York: Chelsea House Publishers. 2006. pp. 20-21. ISBN 978-1-4381-0211-5. Parámetro desconocido
|vauthors=ignorado (ayuda) - ↑ Drug abuse handbook (2nd edición). Boca Raton: CRC/Taylor & Francis. 2006. pp. 7-8. ISBN 978-1-4200-0346-8. Parámetro desconocido
|vauthors=ignorado (ayuda) - ↑ Black's Medical Dictionary. Nature 87 (2184) (40th edición). 2002. p. 162. Bibcode:1911Natur..87R.313.. ISBN 978-0-7136-5442-4. S2CID 3979058. doi:10.1038/087313b0. Archivado desde el original el 8 September 2017. Parámetro desconocido
|veditors=ignorado (ayuda) - ↑ Davis's Canadian Drug Guide for Nurses. F.A. Davis. 2014. p. 1409. ISBN 978-0-8036-4086-3.
- ↑ World Health Organization model list of essential medicines: 22nd list (2021). Geneva: World Health Organization. 2021. hdl:10665/345533. WHO/MHP/HPS/EML/2021.02. Parámetro desconocido
|vauthors=ignorado (ayuda) - ↑ «The Top 300 of 2022». ClinCalc. Archivado desde el original el 30 August 2024. Consultado el 30 August 2024.
- ↑ «Morphine Drug Usage Statistics, United States, 2013 - 2022». ClinCalc. Consultado el 30 August 2024.
- ↑ «First Generic Drug Approvals 2023». U.S. Food and Drug Administration (FDA). 30 de mayo de 2023. Archivado desde el original el 30 June 2023. Consultado el 30 June 2023.
- ↑ Friedrich Sertürner (1805) (Untitled letter to the editor), Journal der Pharmacie für Aerzte, Apotheker und Chemisten (Periodico de Farmacia para médicos, boticarios y quimicos), 13 : 229–243 ; ver especialmente "III. Säure im Opium" (ácido en opium), pp. 234–235, y "I. Nachtrag zur Charakteristik der Säure im Opium" (Adenda sobre las caracteristicas del ácido en opium), pp. 236–241.
- ↑ García, Óscar Prospero (14 de noviembre de 2018). Las adicciones. UNAM, Dirección General de Divulgación de la Ciencia. ISBN 978-607-02-6556-3. Consultado el 11 de enero de 2025.
- ↑ a b Bunton, Laurence L.; Hilal-Dandan, Randa; Knollmann, Bj̲rn C.; Gilman, Alfred Goodman; Gilman, Alfred; Timossi Baldi, Carlos (cop. 2019). Las bases farmacológicas de la terapéutica (13ª ed edición). McGraw-Hill. ISBN 978-1-4562-6356-0. OCLC 1086379837. Consultado el 18 de enero de 2023.
- ↑ «Convención única sobre estupefacientes». Organización de las Naciones Unidas. 1961. Consultado el 25 de abril de 2025.
- ↑ Gates, M. D.; Tschudi, G. J. Am. Chem. Soc. 1952, 74 (4), 1109–1110. doi 10.1021/ja01588a033
- ↑ Gates, M. D.; Tschudi, G. J. Am. Chem. Soc. 1956, 78 (7), 1380–1393. doi 10.1021/ja01588a033
- ↑ Rice, K. C. J. Org. Chem. 1980, 45 (15), 3135-3137. doi 10.1021/jo01303a045
- ↑ Evans, D. A.; Mitch, C. H. Tetrahedron Lett., 1982, 23 (3), 285-288. doi 10.1016/S0040-4039(00)86810-0
- ↑ Toth, J. E.; Hamann, P. R.; Fuchs, P. L. J. Org. Chem. 1988, 53 (20), 4694-4708. doi 10.1021/jo00255a008
- ↑ Parker, K. A.; Fokas, D. J. Am. Chem. Soc., 1992, 114 (24), 9688-9689. doi 10.1021/ja00050a075
- ↑ Hong, C. Y.; Kado, N.; Overman, L. E. J. Am. Chem. Soc., 1993, 115 (23), 11028-11029. doi 10.1021/ja00076a086
- ↑ Mulzer, J.; Dürner, G.; Trauner, D. Angew. Chem. Int. Ed., 1996, 35 (23-24), 2830-2832. doi 10.1002/anie.199628301
- ↑ White, J. D.; Hrnciar, P.; Stappenbeck, F. J. Org. Chem. 1999, 64 (21), 7871-7884. doi 10.1021/jo990905z
- ↑ Taber, D. F.; Neubert, T. D.; Rheingold, A. L. J. Am. Chem. Soc., 2002, 124 (42), 12416–12417. doi 10.1021/ja027882h
- ↑ Trost, B. M.; Tang, W. J. Am. Chem. Soc., 2002, 124 (49), 14542-14543. doi 10.1021/ja0283394
- ↑ Uchida, K.; Yokoshima, S.; Kan, T.; Fukuyama, T. Org. Lett., 2006, 8 (23), 5311-5313. doi 10.1021/ol062112m
- ↑ Varin, M.; Barré, E.; Iorga, B.; Guillou, C. Chem. Eur. J., 2008, 14 (22), 6606-6608. doi 10.1002/chem.200800744
- ↑ Stork, G.; Yamashita, A.; Adams, J.; Schulte, G. R.; Chesworth, R.; Miyazaki, Y.; Farmer, J. J. J. Am. Chem. Soc., 2009, 131 (32), 11402-11406. doi 10.1021/ja9038505

