Necatorona
| Necatorona | ||
|---|---|---|
![]() | ||
| Nombre IUPAC | ||
| 5,10-Dihidroxi-6H-pirido[4,3,2-kl]acridin-6-ona | ||
| General | ||
| Fórmula estructural |
![]() | |
| Fórmula molecular | C15H8N2O3 | |
| Identificadores | ||
| Número CAS | 92631-70-4[1] | |
| Propiedades físicas | ||
| Apariencia | Agujas rojas (MeOH) | |
| Masa molar | 264,24 g/mol | |
| Punto de fusión | 360 °C (633 K) | |
| Valores en el SI y en condiciones estándar (25 ℃ y 1 atm), salvo que se indique lo contrario. | ||
La necatorona es un pigmento alcaloidal aislado de los cuerpos fructíferos de los hongo Lactarius turpis o L. necator y Lactarius atroviridis.[2] Es soluble en DMSO y disolventes básicos; es ligeramente soluble en metanol y acetona. La necatorona es un mutágeno.[3]
Dímeros
Además de la necatorona, se han aislado dímeros de este alcaloide en ambas especies de Lactarius. Como los monómeros, estos compuestos son mutagénicos.[4]
| Nombre | Estructura | Fórmula molecular | CAS | Masa molecular (g/mol) | Estado | Otras propiedades |
|---|---|---|---|---|---|---|
| 4,4′-Binecatorona | ![]() |
C30H14N4O6 | 126647-31-2 | 526.464 | Sólido cristalino pardo rojizo (metanol) PF = 360 °C | Soluble en metanol y DMSO. UV: [neutro] 236;438 (Metanol) |
| 10-Desoxi-4,4′-binecatorona | ![]() |
C30H14N4O5 | 126624-08-6 | 510.464 | Sólido cristalino pardo rojizo (metanol) PF = 360 °C | Soluble en metanol y DMSO. UV: [neutro] 226;264;420 (Metanol) |
| 10,10′-Didesoxi-4,4′-binecatorona | ![]() |
C30H14N4O4 | 126647-32-3 | 494.465 | Sólido cristalino anaranjado PF = 360 °C | Soluble en metanol y DMSO. UV: [neutro]223;264;358;428 (Metanol) |
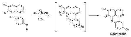
Síntesis
Se han propuesto diversos métodos de síntesis de la necatorona.[5] Se puede realizar la síntesis por ciclización oxidativa de la 1-(2-amino-5-hidroxifenil)isoquinolino-6,7-diol.[6]




