Oxidación del persulfato de Elbs
La Oxidación del persulfato de Elbs es una reacción orgánica desarrollada por el químico alemán Karl Elbs en 1893, en donde un fenol es hidroxilado en la posición para, empleándose persulfato de potasio alcalino.[1]

Diversos estudios han sido publicados:[2][3][4]
Mecanismo de reacción
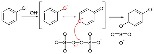
Un mecanismo de reacción, ha sido postulado considerando la sustitución para observada con el carbanión tautomérico del ion fenolato de partida:[5]

lo que da una sustitución nucleófila en el peróxido de oxígeno del ion peroxodisulfato . Los intermediarios sulfato se hidrolizan al grupo hidroxilo.
Se puede controlar la disminución del rendimiento con la recuperación de materia prima y el consumo total del persulfato. Se sugiere que el fenol, en muchos casos es un catalizador que convierte el persulfato en un sulfato.
Referencias
- ↑ Elbs, K. J. Prakt. Chem. 1893, 48, 179.
- ↑ S. M. Sethna (1951). «The Elbs Persulfate Oxidation». Chem. Rev. 49 (1): 91-101. doi:10.1021/cr60152a002.
- ↑ Lee, J. B.; Uff, B. C. Quart. Rev. 1967, 21, 453. (Review)
- ↑ Behrman, E. J. Org. React. 1988, 35, 421-511. (Review)
- ↑ E. J. Behrman (2006). «The Elbs and Boyland-Sims peroxydisulfate oxidations». Beilstein Journal of Organic Chemistry 2 (1): 22. PMC 1697820. PMID 17090305. doi:10.1186/1860-5397-2-22.
6. E. J. Behrman, Chemical Educator, 15, 392-393(2010)