Oxima

Una oxima es una clase de compuestos orgánicos cuya fórmula general es RR'C=NOH, donde R es un residuo orgánico y R' puede ser un hidrógeno o un grupo orgánico. Una oxima es el resultado de la condensación de la hidroxilamina con un aldehído, llamándose en este caso aldoxima, o con una cetona, denominándose en este caso cetoxima.[1]
El término oxima data del siglo XIX, posiblemente de la contracción de las palabras oxígeno e imina.
Al igual que el doble enlace de los alquenos, también aquí existe isomería cis-trans (Z/E) cuando los sustituyentes R y R' son diferentes. La estabilidad relativa de un isómero respecto al otro es de esperar que siga los mismos criterios que para los alquenos.
Las oximas son habitualmente sólidos cristalinos, que históricamente, antes de la aparición de los métodos espectroscópicos, se usaron para separar y caracterizar compuestos que contuvieran la función carbonilo, aldehídos y cetonas, como por ejemplo monosacáridos.
Síntesis
Las oximas pueden ser preparadas mediante condensación, con catálisis ácida, de un aldehído o una cetona con hidroxilamina:
- RR'C=O + NH2OH → RR'C=NOH + H2O
También se obtienen oximas de la reacción de nitritos, tales como el nitrito de isoamilo, con compuestos enolizables. Ejemplos son la reacción del acetoacetato de etilo y el nitrito de sodio en ácido acético,[2][3] la reacción de la etil metil cetona con nitrito de etilo en ácido clorhídrico[4] y una reacción similar, esta vez con nitrito de metilo, con propiofenona,[5] la reacción del cloruro de fenacilo[6] y la reacción de malononitrilo con nitrito de sodio en ácido acético.[7]
Reacciones
Al ser una reacción reversible, la hidrólisis de las oximas tiene lugar de forma fácil calentando en presencia de un ácido inorgánico, descomponiendo en el correspondiente aldehído o cetona y en la hidroxilamina. La reducción de oximas mediante, por ejemplo, LiAlH4 produce la amina, y con un reductor más suave como el NaBH3CN, en una reacción análoga a la aminación reductora, es posible detener la reducción en la correspondiente hidroxilamina.
En general las oximas pueden ser transformadas en la amida por tratamiento con ácido (p. ej. H2SO4 o H3PO4). A esta reacción se la conoce como transposición de Beckmann, en la cual el grupo hidroxilo de la oxima es desplazado por el grupo que está en la posición anti a la suya. La transposición de Beckmann se usa en la síntesis industrial de la caprolactama, que es el compuesto usado en la fabricación del nylon-6.
La reacción de Ponzio (1906)[8] consiste en la conversión de m-nitrobenzaldoxima a m-nitrofenildinitrometano con tetróxido de dinitrógeno; esta reacción fue resultado de la investigación de explosivos con actividad similar al TNT:[9]

Ponzio reaction
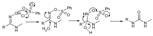
Ciertas amidoximas reaccionan con cloruro de bencensulfonilo para producir ureas sustituidas en la transposición de Tiemann [10][11]

Las oximas pueden reaccionar con compuestos de organomagnesio (Reactivos de Grignard) para dar anillos de aziridina (Síntesis de aziridina de Hoch-Campbell)
Referencias
- ↑ IUPAC Compendium of Chemical Terminology, Electronic version, http://goldbook.iupac.org/O04372.html.
- ↑ Organic Syntheses, Coll. Vol. 2, p.202 (1943); Vol. 15, p.17 (1935) Artículo
- ↑ Organic Syntheses, Coll. Vol. 3, p.513 (1955); Vol. 21, p.67 (1941) Artículo
- ↑ Organic Syntheses, Coll. Vol. 2, p.204 (1943); Vol. 10, p.22 (1930) Artículo
- ↑ Organic Syntheses, Coll. Vol. 2, p.363 (1943); Vol. 16, p.44 (1936) Artículo
- ↑ Organic Syntheses, Coll. Vol. 3, p.191 (1955); Vol. 24, p.25 (1944) Artículo
- ↑ Organic Syntheses, Coll. Vol. 5, p.32 (1973); Vol. 48, p.1 (1968) Artículo
- ↑ Giacomo Ponzio (1906). «Einwirkung von Stickstofftetroxyd auf Benzaldoxim». J. Prakt. Chem. 73: 494. doi:10.1002/prac.19060730133.
- ↑ Louis F. Fieser and William von E. Doering (1946). «Aromatic-Aliphatic Nitro Compounds. III. The Ponzio Reaction; 2,4,6-Trinitrobenzyl Nitrate». J. Am. Chem. Soc. 68: 2252. doi:10.1021/ja01215a040.
- ↑ Ferdinand Tiemann (1891). «Ueber die Einwirkung von Benzolsulfonsäurechlorid auf Amidoxime». Chemische Berichte 24: 4162-4167. doi:10.1002/cber.189102402316.
- ↑ Robert Plapinger, Omer Owens (1956). «Notes - The Reaction of Phosphorus-Containing Enzyme Inhibitors with Some Hydroxylamine Derivatives». J. Org. Chem. 21: 1186. doi:10.1021/jo01116a610.
Bibliografía
- K. Peter C. Vollhardt (1994). Química Orgánica. Barcelona: Ediciones Omega S.A. ISBN 84-282-0882-4.