Poliinos
Los Poliinos son un grupo de compuestos orgánicos con alternancia de enlaces covalentes simples y triples. El ejemplo más simple es el diacetileno o buta-1,3-diino.HC≡C-C≡CH. Al igual que los cumuleno s, los poliinos se distinguen de las otras cadenas orgánicas por su rigidez, lo que los hace viables para nanotecnología molecular. Los poliinos se encuentran en las nubes moleculares interestelares en donde el hidrógeno es escaso.
El poliino sintético más largo que se ha reportado contiene 22 unidades de acetileno y se encuentra sustituido con grupos triisopropilsililo en los extremos.[1] El poliino de longitud infinita es un compuesto hipotético llamado carbino, uno de los alótropos de carbono[2]
Presencia en la naturaleza
En plantas

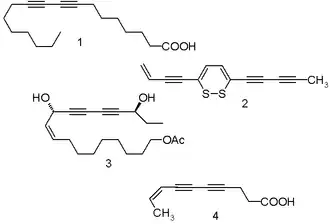
Los mono y poliinos naturales se encuentran en muchas plantas[3] y muchos de ellos tienen propiedades farmacológicas y toxicológicas. El ácido 8,10-octadecadiinoico (1) fue aislado de la corteza de la raíz de Paramacrolobium caeruleum (Loranthaceae). Los tallos y las hojas de especies pertenecientes a esta familia han sido utilizados para el tratamiento del cáncer en Indonesia. La tiarrubrina B (2) es un pigmento aislado de la planta Ambrosia trifida. Estas especies han sido utilizadas para tratar infecciones de la piel y como desparasitantes intestinales por nativos de África y Canadá.
La corteza y las raíces del garrote del Diablo (Oplopanax horridus) es utilizado por los nativos de América para tratar diversos padecimientos. Uno de los poliinos aislados de esta fuente es el oplopandiolacetato (3). El ácido dihidromatricárico (4) es un poliino obtenido de las cantáridas (Cantharidae). Otros compuestos acetilénicos incluyen la enantotoxina, la cicutoxina, la carotatoxina y el falcarinol.
Debido a las posibles propiedades medicinales de los poliinos, varios procedimientos de síntesis se están estudiando con la esperanza de que estos se pueden replicar industrialmente por síntesis orgánica. Muchos de estos procedimientos implican un acoplamiento de Cadiot-Chodkiewicz.
Poliinos espaciales
Los radicales octatetrainilo y hexatriinil han sido detectados en el espacio.
Lista de mono y poliinos encontrados en diversos seres vivos
| Nombre común | Estructura | Nombre IUPAC | Fuente |
|---|---|---|---|
| Ácido tarírico | ![]() |
Ácido 7-nonadecinoico | Picramnia tariri[4] |
| Ácido santálbico | ![]() |
Ácido (10Z)-heptadec-10-en-8-inoico | Santalum album[5] |
| Ácido pirúlico | ![]() |
Ácido (10E)-heptadec-10-en-8-inoico | Pyrularia pubera, Heisteria silvanii[6] |
| Ácido crepenínico | ![]() |
Ácido (9Z)-octadec-9-en-12-inoico | Crepis foetida[7] |
| Ácido escleropírico | ![]() |
Ácido heptadec-16-en-12-inoico | Scleropyrum wallichianum[8] |
| Ácido heistérico | ![]() |
Ácido (7Z,11E)-octadeca-7,11-dien-9-inoico | Heisteria silvanii[9] |
| Ácido fomalénico C | ![]() |
Ácido (9R)-octadeca-9,10-dieno-12,14-diinoico | Phoma sp.[10] |
| Ácido orofeico | ![]() |
Ácido octadec-17-eno-9,11,13-triinoico | Orophea enneandra[11] |
| Ácido corticático A | ![]() |
Ácido (4Z,15Z,23E)25-hidroxiheptacosa-4,15,23-trieno-2,18,26-triinoico | Petrosia corticata[12] |
| Panaxacol | ![]() |
(9R,10R)-9,10-dihidroxiheptadeca-4,6-diin-3-ona | Panax ginseng[13] |
| Falcarinol | ![]() |
(3S,9Z)-heptadeca-1,9-dieno-4,6-diin-3-ol | Falcaria vulgaris[14] |
| Ácido dehidromatricárico | ![]() |
Ácido nona-4,6,8-triinoico | Solidago altissima[15] |
| Enantotoxina | ![]() |
(2E,8E,10E,14R)-heptadeca-2,8,10-trieno-4,6-diino-1,14-diol | Oenanthe crocata[16] |
| Cicutoxina | ![]() |
(8E,10E,12E,14S)-heptadeca-8,10,12-trieno-4,6-diino-1,14-diol | https://es.m.wikipedia.org/wiki/Cicuta_virosa sp[17] |
| Panaxitriol | ![]() |
(3R,9S,10S)-Heptadec-1-en-4,6-diino-3,9,10-triol | Panax ginseng[18] |
| Carotatoxina | ![]() |
(10E)-Heptadeca-1,10-dien-5,7-diin-3-ol | Daucus carota[19][20] |
| Oploxina A | ![]() |
(1R,6S)-1-[(2R,3S)-3-heptiloxiran-2-il]octa-2,4-diino-1,6-diol | Oplopanax elatus[21] |
| Estrongilodiol D | ![]() |
Ácido (6R)-1,6-dihidroxi-25-metilhexacosa-2,4,15-triinoico | Petrosia sp.[22] |
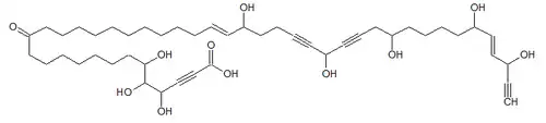
| Haliclonina | ![]() |
Ácido (25E) 4,5,6,27,32,36,41,44-octahidroxi-14-oxohexatetraconta-25-eno-2,30,33,46-tetrainoico | Haliclona[23] |
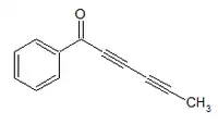
| Capilina | ![]() |
1-Fenilhexa-2,4-diin-1-ona | Artemisia nilagirica[24] |
| Wierona | ![]() |
Ácido (2E)-3-{5-[(4Z)-1-metilenhept-4-en-2-inil]-2-furil}acrílico | Vicia faba[25] |
| Condriol | ![]() |
(2E,3R,7R,8R)-2-(1-bromopropiliden)-7-cloro-8-[(2Z)-pent-2-en-4-inil]-3,6,7,8-tetrahidro-2H-oxocin-3-ol | Chondria oppositiclada,[26] |
Referencias
- ↑ Synthesis of polyynes to model the sp-carbon allotrope carbyne Wesley A. Chalifoux1 & Rik R. Tykwinski Nature Chemistry 2, 967 - 971 (2010) | doi 10.1038/nchem.828
- ↑ Synthesis of extended polyynes: Toward carbyne Wesley A. Chalifouxa and Rik R. Tykwinsk Comptes Rendus Chimie Volume 12, Issues 3-4, March-April 2009, Pages 341-358 Avancés récentes en chimie des acétylènes - Recent advances in acetylene chemistry doi 10.1016/j.crci.2008.10.004
- ↑ Annabelle, L. K.; Shi Shun; Tykwinski, Rik R. (2006). «Synthesis of Naturally Occurring Polyynes». Angewandte Chemie International Edition 45 (7): 1034-1057. PMID 16447152. doi:10.1002/anie.200502071.
- ↑ Arnaud A (1892). C R Acad Sci 114: 79.
- ↑ Madhuranah MK et al (1938). J Indian Chem Soc 15: 389.
- ↑ Spitzer V et al. (1997). Lipids 32: 1189.
- ↑ Mikolajczak KL et al. (1964). J Org Chem 29: 318.
- ↑ Suksamrarn A et al. (2005). Chem Pharm Bull 53: 1327.
- ↑ Spitzer V et al. (1997). Lipids 32: 1189.
- ↑ Ondeyka JG et al (2006). «Discovery of bacterial fatty acid synthase inhibitors from a Phoma species as antimicrobial agents using a new antisense-based strategy.». J Nat prod 69: 377.
- ↑ Cavin A et al. (1998). J Nat Prod 61: 1497.
- ↑ Nishimura S. et al (2002). J Nat Prod 65: 1353.
- ↑ Yasuo Fujimoto, Mitsuru Satoh (1987). «Acetylenes from the callus of Panax ginseng». Phytochemistry 26 (10): 2850-2852. doi:10.1016/S0031-9422(00)83604-3.
- ↑ Bohlmann F et al. (1966). Chem Ber 99: 3552.
- ↑ Hiroshi Saiki and Kimio Yoneda (1981). «Possible dual roles of an allelopathic compound, cis-dehydromatricaria ester». Journal of Chemical Ecology 8 (1): 185-193. doi:10.1007/BF00984015.
- ↑ «Copia archivada». Archivado desde el original el 4 de marzo de 2016. Consultado el 31 de diciembre de 2010.
- ↑ Schep LJ, Slaughter RJ, Becket G, Beasley DM (abril de 2009). «Poisoning due to water hemlock». Clin Toxicol (Phila) 47 (4): 270-8. PMID 19514873. doi:10.1080/15563650902904332.
- ↑ Shim, Sang Chul; Koh, Hun Yeoung; Han, Byung Hoon (1983). «Polyacetylenes from Panax ginseng roots». Phytochemistry 22 (8): 1817-18. doi:10.1016/S0031-9422(00)80278-2.
- ↑ D.G. Crosbya and N. Aharonson (1967). «The structure of carotatoxin, a natural toxicant from carrot.». Tetrahedron 23 (1): 465-472. doi:10.1016/S0040-4020(01)83330-5.
- ↑ Badui (1988). Diccionario de Tecnología de Alimentos. D.F. Mx,: Alhambra Mexicana. ISBN 968-444-071-5.
- ↑ Yang MC et al. (2010). «Oploxynes A and B, polyacetylenes from the stems of Oplopanax elatus.». J Nat Prod 73 (5): 801. PMID 20387902.
- ↑ Kinzo Watanabe et al. (2005). «Acetylenic Strongylodiols from a Petrosia (Strongylophora) Okinawan Marine Sponge». J. Nat. Prod. 68 (7): 1001-1005. doi:10.1021/np040233u.
- ↑ Chill L et al. (2000). «Haliclonyne, a New Highly Oxygenated Polyacetylene from the Marine Sponge Haliclona Species». J Nat Prod 63 (4): 523-526. doi:10.1021/np990342m.
- ↑ Whelan, L.C., Ryan, M.F. (2004). «Effects of the polyacetylene capillin on human tumor cells». Anticancer Res.
- ↑ R.M. Letcher, D.A. Widdowson, B.J. Deverall and J.W. Mansfield (1970). «Identification and activity of wyerone acid as a phytoalexin in broad bean (Vicia faba) after infection by botrytis». Phytochemistry 9 (2): 249-252. doi:10.1016/S0031-9422(00)85131-6.
- ↑ James J. Sims, Mark S. Donnell, John V. Leary, George H. Lacy (1975). «Antimicrobial Agents from Marine Algae». Antimicprobial Agents And Chemotherapy: 320-321.
Enlaces externos
Wikimedia Commons alberga una categoría multimedia sobre Poliinos.





















