Digestión

La digestión es el proceso de transformación por hidrólisis de los alimentos en moléculas suficientemente pequeñas (nutrientes) para que atraviesen la membrana plasmática por vía mecánica o química.[1]
El aparato digestivo[2] es muy importante en la digestión, ya que los organismos heterótrofos dependen de fuentes externas de materias primas y energía para crecimiento, mantenimiento y funcionamiento. El alimento se emplea para generar y reparar tejidos y obtención de energía. Los organismos autótrofos (las plantas, organismos fotosintéticos), por el contrario, captan la energía lumínica y la transforman en energía química, utilizable por los animales.
En cada paso de la conversión energética de un nivel a otro hay una pérdida de materia y energía utilizable asociada al mantenimiento de tejidos y también a la degradación del alimento en partículas más pequeñas, que después se reconstituirán en moléculas tisulares más complejas.
En el cuerpo humano la digestión es el proceso por el que los alimentos, al pasar por el sistema digestivo, son transformados en los nutrientes necesarios para su buen funcionamiento.
Visión general
La digestión en los animales y algunas plantas, ocurre a niveles multicelular, celular y subcelular. Este proceso se lleva a cabo en el aparato digestivo, tracto gastrointestinal o canal alimentario. El aparato digestivo, como un todo es un tubo con un solo sentido, con órganos accesorios como el hígado, la vesícula biliar y el páncreas, que asisten en el proceso químico involucrado en la digestión.[3]
La digestión normalmente está dividida en procesos mecánicos, para reducir el tamaño de los alimentos y en una acción química para reducir adicionalmente el tamaño de las partículas y para que posteriormente se lleve a cabo el proceso de absorción y transporte hacia las células.
En la mayoría de los vertebrados, la digestión es un proceso de varias etapas en el sistema digestivo, siguiendo a la ingestión . En los humanos, previo al proceso de ingestión, usualmente involucra algún tipo de procesamiento mecánico o químico del alimento.
La digestión está dividida en seis procesos separados:[1][3]
- Ingestión: entrada de alimento y líquidos al aparato digestivo.
- Secreción: liberación de jugos digestivos en respuesta a estímulos específicos (en promedio 7 L al día).
- Digestión mecánica: desmenuzamiento mecánico de los alimentos, debido a los movimientos de los dientes, el estómago y los intestinos. En este paso se rompen la mayoría de los enlaces inter-moleculares relativamente débiles; y se produce el mezclado y propulsión, que consiste en la contracción y relajación de los músculos que propician la motilidad o peristaltismo.
- Digestión química: descomposición química de los alimentos, debida a las enzimas secretadas en la boca, el estómago y los intestinos. En este paso se rompen enlaces intra-moleculares relativamente fuertes, para que las moléculas complejas se conviertan en moléculas simples mucho más pequeñas (nutrientes) que se pueden absorber, así que atraviesen la membrana plasmática por una de dos técnicas, mecánica o química.
- Absorción: movimiento paso de los nutrientes (moléculas simples) desde el sistema digestivo hasta el interior de la célula intestinal (o alguna otra célula con capacidad de absorción) a través de los capilares circulatorios y linfáticos.
- Defecación: remoción o eliminación de desechos no digeridos por el tracto digestivo a través de la defecación (heces) o la regurgitación.
Digestión en los distintos organismos
Las personas e igual los animales mamíferos, poseen un sistema digestivo completo cuya función es digerir los alimentos, es decir, transformar los alimentos en moléculas más pequeñas que puedan ser asimiladas por las células del cuerpo.
Plantas, hongos, etc.
No solo los animales digieren comida. Algunas plantas carnívoras capturan otros organismos, generalmente animales invertebrados y algunos pequeños vertebrados, y los digieren químicamente. Los hongos también digieren con mucha eficacia materia orgánica.
Vertebrados
En los vertebrados, la digestión se inicia con la ingestión o la entrada de alimento por la boca y continúa en el aparato digestivo, ocurriendo dos tipos de fenómenos, los cuales pueden modificarse.
Fenómenos mecánicos
- Masticación: Realizada por los dientes, es imprescindible sobre todo en la digestión de las verduras, legumbres y frutas crudas (todas sin excepción), puesto que estos alimentos están rodeados por membranas de celulosa no digeribles que es preciso destruir.
- Deglución: Mecanismo complejo que consta de una etapa voluntaria, que inicia el acto deglutorio; una etapa faríngea involuntaria, que constituye el paso del alimento al esófago, y una etapa esofágica.
- Motilidad intestinal: Proceso por el cual los alimentos en diferentes estados de digestión (quimo), son desplazados mediante movimientos de la musculatura intrínseca de la pared del intestino, para facilitar la digestión y la absorción.
Fenómenos químicos
Producen la transformación de los alimentos formados por moléculas complejas en moléculas más sencillas que son fácilmente absorbibles por el intestino. Así los hidratos de carbono se convierten en monosacáridos como la glucosa, las grasas se rompen en ácidos grasos y glicerina, y las proteínas se transforman en aminoácidos. Las reacciones químicas más importantes en la digestión son las de hidrólisis, favorecidas por enzimas que contienen los jugos digestivos.
La digestión en los humanos
Fases
- Fase cefálica: esta fase ocurre antes de que los alimentos entren al estómago e involucra la preparación del organismo para el consumo y la . La vista y el pensamiento, estimulan la corteza cerebral. Los estímulos al gusto y al olor son enviados al hipotálamo y la médula espinal. Después de esto, se libera acetilcolina por estimulación parasimpática (nervios vagos), que inicia la liberación de gastrina en las células G. Se estima que entre el 30 % y el 50 % de la respuesta ácida se produce a través de esta vía.[1][3]
- Fase gástrica: es estimulada por la distensión del estómago y el pH ácido. La distensión activa los receptores de estiramiento y la puesta en marcha de reflejos vagovagales e intragástricos cortos. Esto produce la liberación de acetilcolina, que estimula la liberación de más jugos gástricos. Cuando las proteínas entran al estómago, unen iones de hidrógeno, lo cual disminuye el pH del estómago hasta un nivel ácido, aproximadamente el pH oscila entre 1,0-4,0. Esto dispara las células G para que liberen gastrina, la cual por su parte estimula las células parietales para que secreten HCl (ácido clorhídrico), factor intrínseco y pepsinógeno. La producción de HCl también es desencadenada por la acetilcolina y la histamina. La fase gástrica es responsable del 40-50 % de la secreción ácida en cada comida.[1][3]
- Fase intestinal: esta fase tiene dos partes, la excitatoria y la inhibitoria. Los alimentos parcialmente digeridos llenan el duodeno. Esto desencadena la liberación de gastrina intestinal. El reflejo enterogástrico inhibe el núcleo vago, activando las fibras simpáticas causando que el esfínter pilórico se apriete para prevenir la entrada de más comida, inhibiendo los reflejos. Se estima que el 5 % de la respuesta ácida se produce en esta fase de la digestión.[1][3]
Proceso
- La digestión comienza en la boca, donde los alimentos se mastican y se mezclan con la saliva que contiene enzimas que inician el proceso químico de la digestión, formándose el bolo alimenticio.
- La comida es comprimida y dirigida desde la boca hacia el esófago mediante la deglución, y del esófago al estómago, donde los alimentos son mezclados con ácido clorhídrico que los descompone, sobre todo, a las proteínas desnaturalizándolas. El bolo alimenticio se transforma en quimo.
- Debido a los cambios de acidez (pH) en los distintos tramos del tubo digestivo, se activan o desactivan diferentes enzimas que descomponen los alimentos.
- En el intestino delgado el quimo, gracias a la bilis secretada por el hígado, favorece la emulsión de las grasas y gracias a las lipasas de la secreción pancreática se produce su degradación a ácidos grasos y glicerina. Además, el jugo pancreático contiene proteasas y amilasas que actúan sobre proteínas y glúcidos. La mayoría de los nutrientes se absorben en el intestino delgado. Toda esta mezcla constituye ahora el quilo.
- El final de la digestión es la acumulación del quilo en el intestino grueso donde se absorbe el agua y posteriormente la expulsión de las heces.
Cavidad oral
En los humanos, la digestión empieza en la cavidad oral, donde los alimentos son masticados. La saliva es secretada en la boca, en grandes cantidades (1-1,5 L/d) por tres pares de glándulas salivales (parótida, submaxilar y sublingual) y es mezclada por la lengua, con la comida masticada.
Hay dos tipos de saliva: una es una secreción acuosa, delgada y su propósito es humedecer la comida. La otra es una secreción mucosa, espesa, que contiene las enzimas ptialina o amilasa salival que hidroliza el almidón y la lisozima que desinfecta las posibles bacterias infecciosas; actúa como lubricante y causa que las partículas de alimento se mantengan pegadas unas a otras formando un bolo.
La saliva sirve para limpiar la cavidad oral, humedecer el alimento y además contiene enzimas digestivas tales como la amilasa salival, la cual ayuda en la degradación química de los polisacáridos, tales como el almidón, en disacáridos tales como la maltosa. También contiene mucina, una glicoproteína la cual ayuda a ablandar los alimentos en el bolo.
Al tragar, se transporta la comida masticada hasta el esófago, pasando a través de la orofaringe y la hipofaringe. El mecanismo para tragar es coordinado por el centro de tragado en la médula espinal. El reflejo inicial es iniciado por receptores de tacto en la faringe cuando el bolus de alimentos es empujado hasta la parte de atrás de la boca.
Esófago
El esófago, un tubo muscular delgado, de aproximadamente 25 cm (centímetros) de largo, comienza en la faringe, pasa a través del tórax y el diafragma y termina en el cardias del estómago. La pared del esófago posee dos capas de músculo liso que forman una capa continua desde el esófago hasta el recto y se contraen lentamente por largos períodos de tiempo. La capa interna de músculos está dispuesta de forma circular en una serie de anillos descendentes, mientras que la capa externa está dispuesta longitudinalmente. Al comienzo del esófago hay una solapa de tejido llamada epiglotis, que se cierra por el proceso de tragado para evitar que la comida entre en la tráquea. La comida masticada es empujada a través del esófago hasta el estómago gracias a las contracciones peristálticas de estos músculos.
Estómago
La comida llega al estómago después de pasar a través del esófago y superar el esfínter llamado cardias. En el estómago, la comida es degradada adicionalmente y minuciosamente mezclada con el ácido gástrico y las enzimas digestivas que degradan las proteínas, en su gran medida pepsina. El ácido por sí mismo no degrada las moléculas de alimento, más bien proporciona un pH óptimo para la reacción de la enzima pepsina. Las células parietales del estómago también secretan una glicoproteína llamada factor intrínseco, que permite la absorción de vitamina B12. Otras moléculas pequeñas, tales como el alcohol son absorbidas en el estómago pasando a través de la membrana y entrando al sistema circulatorio directamente. Un corte transverso del canal alimentario revela cuatro capas distintas y bien desarrolladas, llamadas serosa, capa muscular, submucosa y mucosa.
- Serosa: es la capa más externa, formada por una delgada capa de células simples llamadas mesoteliales.
- Capa muscular: está bien desarrollada para agitar la comida. Tiene una capa externa longitudinal, una media lisa y una interna oblicua.
- Submucosa: tiene tejido conjuntivo incluyendo vasos linfáticos, vasos sanguíneos y nervios.
- Mucosa: contiene grandes pliegues llenos de tejido conectivo. Las glándulas gástricas están en lámina propia. Las glándulas gástricas pueden ser simples o tubulares ramificadas y segregan ácido clorhídrico, moco, pepsinógeno y renina.
Intestino delgado
Después de haber sido procesados en el estómago, los alimentos pasan al intestino delgado a través del esfínter pilórico. La mayor parte de la digestión y absorción ocurre aquí cuando el quimo entra al duodeno. Aquí es mezclado adicionalmente con tres líquidos diferentes:
1. Bilis. La cual emulsiona las grasas para permitir su absorción, neutraliza el quimo y es usada para excretar productos de desecho tales como la bilirrubina y los ácidos biliares. Sin embargo no es una enzima.
2. Jugo pancreático. El jugo pancreático es la secreción exocrina del páncreas, secretada por los acinos pancreáticos y vertida mediante el conducto pancreático en el colédoco y de ahí a la segunda porción del duodeno. Este interviene en la digestión de todos los principios inmediatos(carbohidratos, lípidos, proteínas y ácidos nucleicos). El jugo pancreático está integrado por un componente acuoso vertido por la acción de la secretina y un componente enzimático que es vertido en forma inactiva, gracias a la acción de la colecistoquinina en respuesta a la presencia de acidez y presencia del quimo duodenal.
El jugo pancreático se compone de agua, sales minerales, bicarbonato de sodio (que neutraliza la acidez del quimo impidiendo que las células intestinales puedan resultar dañadas) y diversas enzimas: proteasas (que degradan proteínas: tripsina, quimiotripsina y carboxipeptidasa), amilasa pancreática (que digiere almidones), nucleasas (Desoxirribonucleasas y Ribonucleasas) y lipasas (lipasa pancreática). Una persona sana segrega de 1,2 a 1,5 L (litros) de jugo pancreático. El pH de este es de 7,1 a 8,0; esto se debe a la necesidad de contrarrestar la acidez del quimo y permitir la acción enzimática, y actúa a una temperatura aproximada de 25 a 37 °C (grados Celsius).
3. Enzimas intestinales de la mucosa alcalina. Estas incluyen: maltasa, lactasa, sacarasa, para procesar los azúcares; tripsina y quimiotripsina también son agregadas en el intestino delgado. La absorción de la mayoría de los nutrientes se realiza en el intestino delgado. Cuando el nivel de acidez cambia en el intestino, más enzimas son activadas para romper la estructura molecular de los diversos nutrientes de manera que se puedan absorber en los sistemas circulatorio y linfático. Los nutrientes pasan a través de la pared del intestino delgado, la cual contiene pequeñas estructuras parecidas a dedos llamadas vellosidades, cada una de las cuales está cubierta por estructuras aún más pequeñas, parecidas a cabellos, llamadas microvellosidades. La sangre que ha absorbido los nutrientes, es llevada a través de la vena porta hepática hasta el hígado, para su filtración, remoción de toxinas y procesamiento de los nutrientes.
El intestino delgado y el resto del tracto digestivo realiza la peristalsis para transportar los alimentos desde el estómago hasta el recto y permitir a la comida ser mezclada con los jugos digestivos y ser absorbida. Los músculos circulares y longitudinales son músculos antagonistas, cuando uno se contrae el otro se relaja. Cuando los músculos circulares se contraen, el lumen se hace más angosto y largo y la comida es exprimida y empujada hacia adelante. Cuando los músculos longitudinales se contraen, los músculos circulares se relajan y el intestino se dilata y se vuelve más amplio y corto para permitir que los alimentos entren. Después que los alimentos han pasado a través del intestino delgado, la comida entra en el intestino grueso. El intestino grueso mide aproximadamente 1,5 metros de largo, con tres partes: el ciego, en la unión con el intestino delgado, el colon y el recto. El colon tiene cuatro partes: el colon ascendente, el colon transverso, el colon descendente y el colon sigmoide. El intestino grueso absorbe agua del bolus y almacena las heces hasta que estas puedan ser defecadas. Los productos alimenticios que no pueden ir a través de las vellosidades, tales como la celulosa (fibra dietaria), son mezclados con otros productos de desecho del organismo y constituyen las heces.
Intestino grueso
Su función principal es absorber agua, sales y algunas vitaminas que se sintetizan ahí por acción de ciertas bacterias que viven en su interior.
Las funciones del colon consisten en la absorción de agua y electrolitos a partir del quimo, que se verifica en la primera mitad del colon, y el almacenamiento de materias fecales hasta el momento de su expulsión, lo que ocurre en la segunda mitad.
Estas funciones no requieren movimientos intensos, por lo que las contracciones del colon suelen ser suaves y lentas. No obstante, se siguen cumpliendo las dos funciones fundamentales de la motilidad intestinal: la mezcla y la propulsión. Con los movimientos de mezcla todas las materias fecales resultan trituradas y movidas y entran en contacto con la pared del colon; el líquido se absorbe y se elimina una pequeña parte. Los movimientos de propulsión obligan al contenido del colon a emigrar en masa hacia el recto; cuando cierta cantidad de excrementos penetra en este último segmento, surge la necesidad de evacuar.
Los materiales no absorbidos conforman el excremento o materia fecal, que sigue su recorrido hacia el recto.
Digestión de carbohidratos
Los carbohidratos (polisacáridos, disacáridos, monosacáridos) se forman en plantas en crecimiento y se encuentran en granos, vegetales de hojas y otras plantas comestibles. Están formados por la glucosa, que es un polihidroxialdehído, y la fructosa, que es una polihidroxicetona.[4]
Las plantas forman cadenas de carbohidratos durante su crecimiento atrapando carbono de la atmósfera, inicialmente dióxido de carbono (CO2). Este carbono es almacenado dentro de la planta, junto con agua (H2O), para formar un almidón complejo que contiene una combinación de carbonohidrógeno-oxígeno en una proporción fija de 1:2:1 respectivamente. Las plantas con un alto contenido de azúcar y el azúcar de mesa representan una estructura menos compleja y son llamados disacáridos o dos moléculas de azúcar enlazadas.[1][3]
Una vez que la digestión de cualquiera de estas formas de carbohidratos está completa, el resultado es una estructura de azúcar simple, un monosacárido (única forma química que puede absorberse en las vellosidades intestinales). Estos monosacáridos pueden ser absorbidos hacia la sangre (cara apical de las células absortivas) y usados por las células para producir el compuesto de energía adenosín trifosfato (ATP).[1][3]

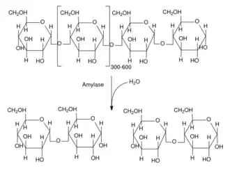
El proceso digestivo comienza durante el proceso de degradación de los polisacáridos en la boca a través de la introducción de la amilasa, una enzima digestiva de la saliva. El alto contenido ácido del estómago inhibe la actividad de la enzima, por lo que la digestión de los carbohidratos se suspende en el estómago. Al irse vaciando en el intestino delgado, el potencial de hidrógeno (pH) cambia dramáticamente desde un ácido fuerte hasta un contenido alcalino.
El páncreas secreta bicarbonato para neutralizar el ácido proveniente del estómago y el mucus secretado en el tejido que recubre el intestino es alcalino, lo cual promueve la actividad digestiva de las enzimas. La amilasa está presente en el intestino delgado y trabaja con otras enzimas para completar la degradación de los carbohidratos hasta monosacáridos los cuales son absorbidos hacia los capilares alrededor de las vellosidades.[3]
Los nutrientes en la sangre son transportados hasta el hígado vía el circuito porta hepático, donde la digestión final de los hiposincráticos se lleva a cabo.
Los carbohidratos no digeribles por el tubo digestivo son lo que constituye la fibra dietética (celulosa, hemicelulosa, peptinas, rafinosa y las gomas); estas forman parte de la composición de las heces.[3]
El hígado, llevada a cabo la digestión de los carbohidratos en respuesta a las hormonas insulina y glucagón. A medida que los niveles de azúcar en la sangre se elevan después de la digestión de una comida, el páncreas secreta insulina, haciendo que el hígado transforme la glucosa en glucógeno, el cual es almacenado en el hígado, tejido adiposo y músculo, previniendo la hiperglucemia. Unas pocas horas después de la comida, la glucosa sanguínea caerá debido a la actividad muscular; entonces el páncreas secretará glucagón, el cual ocasiona que el glucógeno sea convertido en glucosa para prevenir la hipoglucemia.
| Ingestión de alimentos | Lugares anatómicos donde se realiza la digestión de carbohidratos | ||||
| Boca | Esófago | Estomago | Intestino | ||
| Procesos donde pasa el carbohidrato y sufre una hidrólisis: mecánica, química, o enzimática | |||||
| Almidón o polisacáridos (cereales, leguminosas, tubérculos, raíces, etc.)
Celulosa o hemicelulosas (vegetales y frutas) |
Masticación (Subdivisión de alimentos)
Deglución |
Paso al estómago | Lumen intestinal | ||
| Enzimas | |||||
| ptialina o amilasa salival
pH óptimo 6,8 activador Cl- actúa sobre enlaces a1-4 de sustratos dextrinas y polisacáridos (almidón)
|
No sufre transformación | Proceso de licuefacción, formación del quimo | Amilasa pancreática (páncreas)
pH óptimo 7,5-8 actúa sobre enlaces a1-4 de sustratos dextrinas y polisacáridos (almidón) Borde en cepillo: Lactasa (que hidroliza la lactosa en glucosa + galactosa) Maltasa (que hidroliza la maltosa en glucosa + glucosa) Sacarasa, (que hidroliza la sacarosa en glucosa + fructosa) aDextrinasa (hidroliza Dextrinas α, maltosa y maltotriosa en glucosa) Trehalasa (hidroliza trehalosa en glucosa) |
Absorción | |
Nota: Los nombres terminados en el sufijo osa, usualmente indican un azúcar, tal como la lactosa. Los nombres de las enzimas usualmente se inician con el del sustrato que degradan. Por ejemplo: la maltosa, un disacárido, es degradado por la enzima maltasa (por el proceso de hidrólisis), resultando en dos moléculas de glucosa, un monosacárido.
Digestión de grasas
Comienza en la boca, por la segregación de la lipasa lingual y continua en el intestino delgado: La presencia de grasa en el intestino delgado produce hormonas las cuales estimulan la liberación de lipasa por el páncreas (jugo pancreático) y bilis de la vesícula biliar, estos desembocan en el intestino delgado mediante el la ampolla de Vater. La lipasa, degrada la grasa en monoglicéridos (glicerol) y ácidos grasos libres. La bilis emulsiona los ácidos grasos de manera que puedan ser fácilmente absorbidos. Los ácidos grasos de cadena corta y mediana, son absorbidos directamente dentro de la sangre vía los capilares del intestino delgado y viajan a través de la vena porta tal como lo hacen otros nutrientes. Sin embargo, los ácidos grasos de cadena larga, son demasiado largos para ser liberados directamente dentro de los pequeños capilares intestinales. En vez de esto, son absorbidos dentro de las paredes de las vellosidades del intestino y reensamblados otra vez como triacilglicéridos. Los triacilglicéridos son recubiertos con colesterol y proteínas dentro de un componente llamado quilomicron. Dentro de la vellosidad, el quilomicron entra a los capilares linfáticos, los cuales se fusionan en un vaso linfático mayor. Son transportados vía el sistema linfático y el conducto torácico hasta una localización cerca del corazón (donde las arterias y las venas son más grandes). El conducto torácico vacía los quilomicrones en el torrente sanguíneo vía la vena subclavia izquierda. En este punto, los quilomicrones pueden transportar los triacilglicéridos hasta donde los necesiten.
Regulación de la digestión
Reguladores hormonales
Una característica fascinante del aparato digestivo es que contiene sus propios reguladores. Las principales hormonas que controlan las funciones del aparato digestivo se producen y liberan a partir de células de la mucosa del estómago y del intestino delgado. Estas hormonas pasan a la sangre que riega el aparato digestivo, van hasta el corazón, circulan por las arterias y regresan al aparato digestivo, en donde estimulan la producción de los jugos digestivos y provocan el movimiento de los órganos.
Las hormonas que controlan la digestión son la gastrina, la secretina y la colecistoquinina.
- La gastrina hace que el estómago produzca ácido clorhídrico que disuelve y digiere algunos alimentos. Es necesaria también para el crecimiento normal de la mucosa del estómago, el intestino delgado y el colon. Está en el estómago y estimula las glándulas gástricas para secretar pepsinógeno (una forma inactiva de pepsina) y ácido clorhídrico. La secreción de gastrina es estimulada por la llegada de la comida al estómago. La secreción es inhibida por el pH bajo.
- La secretina hace que el páncreas secrete un jugo digestivo rico en bicarbonato. Estimula al estómago para que produzca pepsina, una enzima que digiere las proteínas, y al hígado para que produzca bilis.
- La colecistoquinina hace que el páncreas crezca y produzca las enzimas del jugo pancreático, y hace que la vesícula biliar se vacíe. Está en el duodeno y esta hormona es secretada en respuesta a la grasa del quimo.
- Péptido inhibidor gástrico (GIP): está en el duodeno y disminuye la agitación en el estómago para enlentecer el vaciamiento gástrico. Otra función es la inducción de la secreción de insulina.
- Péptido inhibidor vasoactivo.
Reguladores nerviosos
Dos clases de nervios ayudan a controlar el trabajo del aparato digestivo, los nervios extrínsecos y los nervios intrínsecos.
- Los nervios extrínsecos (de afuera) llegan a los órganos digestivos desde el cerebro o desde la médula espinal y provocan la liberación de dos sustancias químicas: la acetilcolina y la adrenalina. La acetilcolina hace que los músculos de los órganos digestivos se contraigan con más fuerza y empujen mejor los alimentos y líquidos a través del tracto digestivo. También hace que el estómago y el páncreas produzcan más jugos. La adrenalina relaja el músculo del estómago y de los intestinos y disminuye el flujo de sangre que llega a estos órganos.
- Los nervios intrínsecos (de adentro), que forman una red densa incrustada en las paredes del esófago, el estómago, el intestino delgado y el colon, son aún más importantes. La acción de estos nervios se desencadena cuando las paredes de los órganos huecos se estiran con la presencia de los alimentos. Liberan muchas sustancias diferentes que aceleran o retrasan el movimiento de los alimentos y la producción de jugos en los órganos digestivos.
Hidrólisis digestiva
Utilizar un alimento para los propósitos mencionados requiere que un animal lo digiera.
Digestión: Proceso químico complejo en el que enzimas especiales, catalizan la degradación de grandes moléculas, en otras más simples que son lo suficientemente pequeñas para atravesar fácilmente las membranas de las células e incorporarse a los tejidos.
Todos los procesos de digestión implican hidrólisis: utilización de agua para romper los enlaces, de manera que el H+ se une a uno de los residuos y el OH- al otro.
La energía liberada durante la hidrólisis en el tubo digestivo solo puede ser utilizada como calor. Por esta razón no se hidrolizan los enlaces más energéticos (sentido adaptativo) así, durante la digestión solo se libera una pequeña parte de la energía contenida en la molécula.
La mayor parte de la energía está contenida en los residuos individuales desde los cuales, posteriormente es liberada.
El material digerido pasa del tubo digestivo al torrente sanguíneo o a la linfa por el proceso de absorción.
La asimilación se produce después, cuando de la sangre pasa a los tejidos.
Requisitos nutricionales
Los nutrientes son sustancias que sirven como fuente de energía metabólica y de materias primas para el crecimiento, reparación y génesis de tejidos corporales.
Los animales tienen necesidades nutricionales concretas muy diferentes dependiendo de la especie y en una misma especie varían según la composición genética, talla, composición corporal, actividad, sexo y estado sexual (hembra encinta o no).
Para que un animal esté en un estado nutricional equilibrado debe tener u obtener:
- Suficiente energía para que funcionen todos los procesos corporales.
- Suficiente proteína para mantener un balance de N positivo (es decir evitar las pérdidas de proteínas corporales)
- Suficiente agua y minerales para compensar las pérdidas o incorporación.
- Las vitaminas esenciales que no sintetiza su propio cuerpo.
El balance energético requiere que la entrada de energía sea igual a la energía requerida para la mantención y reparación de los tejidos, y para el trabajo metabólico, más la producción de calor corporal si corresponde.
La digestión es la reducción del alimento a moléculas pequeñas, capaces de incorporarse al metabolismo celular. Esto proceso lo realizan las llamadas enzimas digestivas. La digestión puede ser extracelular o intracelular, según se realice fuera o dentro de las células. La digestión extracelular puede ser a su vez interna o externa, según que el alimento esté dentro del organismo, en el llamado aparato digestivo, o fuera del mismo, como sucede, por ejemplo, en las arañas, que vierten sus enzimas digestivas sobre sus presas para luego poderlas ingerir mediante succión.
Significado del pH en la digestión
La digestión es un proceso complejo, el cual es controlado por diversos factores. El pH juega un papel crucial en el funcionamiento normal del tracto digestivo. En la boca, faringe y esófago, el pH es típicamente, de 6-8, ácido muy débil. La saliva controla el pH en esta región, del tracto digestivo. La amilasa salival, está contenida en la saliva e inicia la degradación de los carbohidratos hasta monosacáridos. La mayoría de las enzimas digestivas son sensibles al pH y no funcionarán en un ambiente con bajo pH, como el del estómago. El pH bajo (por debajo de 5), indica un ácido fuerte, mientras que un pH alto (mayor que 8), indica una base fuerte; sin embargo, la concentración del ácido y la base, también juegan un papel.
El pH en el estómago es muy ácido e inhibe la degradación de los carbohidratos mientras están allí. El contenido ácido fuerte del estómago, provee dos beneficios, ambos ayudando a la degradación de las proteínas, para una degradación adicional en el intestino delgado, así como, proporcionando inmunidad no específica, retardando o eliminando varios patógenos.
En el intestino delgado, el duodeno provee el balance cítrico del pH para activar las enzimas digestivas.
El hígado secreta bilis en el duodeno para neutralizar las condiciones acídicas del estómago. También el conducto pancreático, se vacía en el duodeno, agregando bicarbonato para neutralizar el quimo ácido, creando un ambiente neutro. El tejido mucosal del intestino delgado, es alcalino, creando un pH de aproximadamente 8,5, permitiendo de esta manera la absorción en un ambiente alcalino suave.
Referencias
- ↑ a b c d e f g h Ascencio Peralta, Claudia (2012). Fisiología de la nutrición. McGRAW-HILL INTERAMERICANA EDITORES, S. A. de C. V. ISBN 978-607-15-0670-2.
- ↑ Rosell Puig, Washington; González Fano, Beatriz; Cué Mourelos, Clementina; Dovale Borjas, Caridad (2004). «Organización de los sistemas orgánicos del cuerpo humano para facilitar su estudio». Educación Médica Superior (Ciudad de La Habana, Cuba: Editorial Ciencias Médicas) 18 (3). ISSN 1561-2902. Archivado desde el original el 22 de octubre de 2011. Consultado el 8 de octubre de 2011. «Sistema y aparato son términos que se utilizan en las ciencias biológicas para designar el conjunto de órganos que realizan una función común. Se diferencian en que el sistema agrupa órganos homogéneos y el aparato, heterogéneos;sin embargo, estas denominaciones se usan indistintamente, aunque la tendencia es a emplear la palabra sistema.»
- ↑ a b c d e f g h i j
- ↑ Wade Leroy G., Jr. (2012). «23 Carbohidratos y ácidos nucleicos». QUÍMICA ORGÁNICA. PEARSON EDUCACIÓN, México. p. 1097. ISBN 978-607-32-0793-5.
- ↑ 3. Barrett Kim E, Barman Susan M, Boitano Scott, Brooks Heddwen L (2010). GANONG, FISIOLOGÍA MÉDICA. McGRAW-HILL INTERAMERICANA EDITORES, S.A. de C.V. ISBN 978-607-15-0305-3.
Bibliografía
- National Digestive Diseases Information Clearinghouse.
- Kimball's Biology Pages, Digestión.
- Chemistry lecture.
- American Journal of Physiology, article.
- Matón, Anthea; Jean Hopkins, Charles William McLaughlin, Susan Johnson, Maryanna Quon Warner, David LaHart, Jill D. Wright (1993). Human Biology and Health. Englewood Cliffs, New Jersey, USA: Prentice Hall. ISBN 0-13-981176-1, LaGomaVh.