Psoraleno
| Psoraleno | ||
|---|---|---|
![]() | ||
| Nombre IUPAC | ||
| 7H-Furo[3,2-g]cromen-7-ona | ||
| General | ||
| Fórmula estructural |
| |
| Fórmula molecular | C11H6O3 | |
| Identificadores | ||
| Número CAS | 66-97-7[1] | |
| ChEBI | 27616 | |
| ChEMBL | 164660 | |
| ChemSpider | 5964 | |
| DrugBank | DB18665 | |
| PubChem | 6199 | |
| UNII | KTZ7ZCN2EX | |
| KEGG | D08450 | |
|
O=C/3Oc2cc1occc1cc2\C=C\3
| ||
| Propiedades físicas | ||
| Masa molar | 186,16 g/mol | |
| Punto de fusión | 158 °C (431 K) | |
| Índice de refracción (nD) | 1,667 | |
| Valores en el SI y en condiciones estándar (25 ℃ y 1 atm), salvo que se indique lo contrario. | ||
Psoraleno es un compuesto de origen en una familia de productos naturales conocidos como furanocumarinas con fórmula C11H6O3. Está estructuralmente relacionada con la cumarina por la adición de un anillo de furano, y puede ser considerado como un derivado de la umbeliferona. Psoraleno se produce de forma natural en las semillas de la Psoralea corylifolia, así como en la Ficus carica, el apio, el perejil y Zanthoxylum. Es ampliamente utilizado en PUVA (psoraleno + UVA =) en el tratamiento para la psoriasis, eccemas, vitíligo, y linfoma de células T cutáneo. Muchas furocumarinas son extremadamente tóxicas para los peces, y algunas se depositan en los arroyos en Indonesia para capturar peces.
Las fuentes vegetales
Ficus carica (higuera) es probablemente la fuente más abundante de psoralenos. También se encuentran en pequeñas cantidades en Ammi visnaga, Pastinaca sativa, Petroselinum crispum, Levisticum officinale, Foeniculum vulgare', Daucus carota, Psoralea corylifolia y Apium graveolens.[2]
Aplicaciones
El psoraleno es un mutágeno y se utiliza para este propósito en la investigación de biología molecular. El psoraleno se intercala en el ADN y al exponerlo a la radiación ultravioleta (UVA) puede formar monoaductos y enlaces cruzados intercatenarios (ICL) covalentes con timinas, preferentemente en sitios 5'-TpA en el genoma, induciendo la apoptosis. La terapia con psoraleno más UVA (PUVA) puede usarse para tratar trastornos hiperproliferativos de la piel como la psoriasis y ciertos tipos de cáncer de piel[3] Desafortunadamente, el tratamiento PUVA por sí mismo conlleva un mayor riesgo de cáncer de piel.[4]
Un uso importante del psoraleno es en el tratamiento con PUVA para problemas de la piel como la psoriasis y (en menor medida) el eczema y el vitiligo. Esto aprovecha la alta absorbancia UV del psoraleno. El psoraleno se aplica primero para sensibilizar la piel, luego se aplica la luz UVA para limpiar el problema de la piel. El psoraleno también se ha recomendado para tratar la alopecia.[5] Los psoralenos también se usan en la fotoféresis, donde se mezclan con los leucocitos extraídos antes de aplicar la radiación UV.
A pesar de las propiedades fotocarcinogénicas del psoraleno,[6][7] se usó como un activador de bronceado en protectores solares hasta 1996.[8] Los psoralenos se utilizan en los aceleradores de bronceado, ya que el psoraleno aumenta la sensibilidad de la piel a la luz. Algunos pacientes han tenido pérdida severa de la piel después de tomar el sol con activadores de bronceado que contienen psoraleno.[9] Los pacientes con un color de piel más claro sufren cuatro veces más de las propiedades generadoras de melanoma de los psoralenos que aquellos con piel más oscura.[8] Los efectos secundarios a corto plazo del psoraleno incluyen náuseas, vómitos, eritrema, prurito, xerosis, dolor en la piel debido al daño fototóxico del nervio dérmico y pueden causar neoplasias malignas cutáneas y genitales de la piel.[10]
Un uso adicional para psoralenos optimizados es para la inactivación de patógenos en productos sanguíneos. El amino-psoraleno sintético, amotosalen HCl, se ha desarrollado para la inactivación de patógenos infecciosos (bacterias, virus, protozoos) en los componentes sanguíneos de plaquetas y plasma preparados para el apoyo transfusional de los pacientes. Antes del uso clínico, las plaquetas tratadas con amotosalen se han probado y se ha encontrado que no son carcinogénicas cuando se usa el modelo estándar de ratón p53 knockout.[11] La tecnología actualmente se usa de forma rutinaria en ciertos centros de sangre europeos y ha sido aprobada recientemente en los EE. UU.[12][13][14][15]
Estructura
La estructura del psoraleno se dedujo originalmente identificando los productos de sus reacciones de degradación. Exhibe las reacciones normales de la lactona de la cumarina, como la apertura del anillo por álcali para dar un ácido cumarínico o un derivado de ácido cumárico. El permanganato de potasio causa la oxidación del anillo de furano, mientras que otros métodos de oxidación producen ácido furan-2,3-carboxílico.

La angelicina es un isómero del psoraleno y la mayoría de las furocumarinas se pueden considerar como derivados de psoraleno o angelicina. Algunos derivados importantes del psoraleno incluyen la imperatorina, la xantotoxina, el bergapteno y la nodakenetina.
Biosíntesis
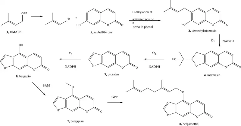
El psoraleno se biosintetiza a partir de la umbeliferona, una cumarina derivada de la ruta de los fenilpropanoides, a partir del aminoácido aromático tirosina, en la ruta del ácido shikímico.
Considerándose la biosíntesis a partir de la cumarina, la ruta consiste en las siguientes etapas:[16]
- a) Prenilación del anillo aromático: El pirofosfato de dimetilalilo (DMAPP) forma un intermediario electrofílico, el cual reacciona con el anillo aromático activado en orto por el hidroxilo fenólico de la cumarina, en una reacción similar a la alquilación de Friedel-Crafts. El producto es un o-isopentenil (llamado "prenil") fenol. En el caso de la umbeliferona, el producto se ha identificado como desmetilsuberosina.
- b) Endociclización heterocíclica oxidativa: El carbono vinílico disustituido del sustituyente prenilo es oxidado con oxígeno para formar un alcohol, y su posición vinílica vecina se activa como electrófilo, en donde el hidroxilo fenólico se adiciona de manera tal que se forma un anillo dihidrobenzofuranoide. El producto de esta etapa se denomina marmesina. Esta reacción es catalizada por una monooxigenasa dependiente de citocromo P450 y NADH como coenzima.
- c) Escisión oxidativa: La ruptura oxidativa con oxígeno del sustituyente isopropilo del anillo difuranoide de la marmesina produce acetona y una insaturación que aromatiza al anillo furanoide. En esta etapa se forma el psoraleno propiamente dicho. Esta etapa es llevada a cabo por una segunda monooxigenasa dependiente de citocromo P450. Se postula que el mecanismo es radicalario.

Referencias
- ↑ Número CAS
- ↑ Dr. Duke's Phytochemical and Ethnobotanical Databases (on line)
- ↑ Wu Q, Christensen LA, Legerski RJ, Vasquez KM (June 2005). «Mismatch repair participates in error-free processing of DNA interstrand crosslinks in human cells». EMBO Rep. 6 (6): 551-7. PMC 1369090. PMID 15891767. doi:10.1038/sj.embor.7400418.
- ↑ Momtaz K, Fitzpatrick TB (April 1998). «The benefits and risks of long-term PUVA photochemotherapy». Dermatol Clin 16 (2): 227-34. PMID 9589196. doi:10.1016/S0733-8635(05)70005-X.
- ↑ «Alopecia Areata: Psoralen With Ultraviolet A Light (PUVA) Therapy-Topic Overview». WebMD (en inglés estadounidense). Consultado el 10 de noviembre de 2016.
- ↑ M. J. Ashwood-Smith; G. A. Poulton; M. Barker; M. Mildenberger E (1980). «5-Methoxypsoralen, an ingredient in several suntan preparations, has lethal, mutagenic and clastogenic properties». Nature 285 (5): 407-9. PMID 6991953. doi:10.1038/285407a0.
- ↑ Zajdela F, Bisagni E (1981). «5-Methoxypsoralen, the melanogenic additive in suntan preparations, is tumorigenic in mice exposed to 365 nm UV radiation». Carcinogenesis 2: 121-7. PMID 7273295. doi:10.1093/carcin/2.2.121.
- ↑ a b Autier P.; Dore J.-F.; Cesarini J.-P. (1997). «Should subjects who used psoralen suntan activators be screened for melanoma?». Annals of Oncology 8 (5): 435-7. PMID 9233521. doi:10.1023/A:1008205513771.
- ↑ Nettelblad H, Vahlqvist C, Krysander L, Sjöberg F (December 1996). «Psoralens used for cosmetic sun tanning: an unusual cause of extensive burn injury». Burns 22 (8): 633-5. PMID 8982544. doi:10.1016/S0305-4179(96)00028-9.
- ↑ Shenoi, Shrutakirthi D.; Prabhu, Smitha; Indian Association of Dermatologists, Venereologists and Leprologists (November 2014). «Photochemotherapy (PUVA) in psoriasis and vitiligo». Indian Journal of Dermatology, Venereology and Leprology 80 (6): 497-504. ISSN 0973-3922. PMID 25382505. doi:10.4103/0378-6323.144143.
- ↑ Ciaravino V, McCullough T, Dayan AD: Pharmacokinetic and toxicology assessment of INTERCEPT (S-59 and UVA treated)platelets. Human Exp Toxicol 2001;20:533–550
- ↑ Osselaer (2009). «Universal adoption of pathogen inactivation of platelet components: impact on platelet and red blood cell component use». Transfusion 49: 1412-1422. PMID 19389022. doi:10.1111/j.1537-2995.2009.02151.x.
- ↑
- ↑ http://www.fda.gov/NewsEvents/Newsroom/PressAnnouncements/ucm427111.htm
- ↑ http://www.fda.gov/NewsEvents/Newsroom/PressAnnouncements/ucm427500.htm
- ↑ Dewick, P.M. (2009). Medicinal Natural Products: A Biosynthetic Approach (3rd edición). Wiley. pp. 164–5. ISBN 0-471-49641-3.
Enlaces externos
Wikimedia Commons alberga una categoría multimedia sobre Psoraleno.- USDA ARS info on uses & plants
