Reacción de Arndt-Eistert
La Síntesis de Arndt-Eistert , también denominada Homologación de Arndt-Eistert es un método de síntesis que añade un grupo metileno a un ácido carboxílico (Homólogo más alto)[1][2][3] Fue desarrollada por dos químicos orgánicos:
- Fritz Arndt (1885-1969 N. Hamburgo, Alemania). Descubrió esta reacción en la Universidad de Breslavia, donde estudió de manera extensa la síntesis de diazometano y sus reacciones con aldehídos, cetonas y cloruros de acilo.
- Bernd Eistert (1902-1978 N. Ohlau, antigua Silesia). Era el estudiante de F. Arndt. Posteriormente Eistert ingresó a I. G. Farbenindustrie (La cual se convirtió en BASF)
El método consiste en lo siguiente: el haluro de ácido reacciona con diazometano para dar la diazocetona. Posteriormente, en la presencia de un nucleófilo (agua) y un catalizador metálico como Ag2O, las diazocetonas forman el homólogo esperado del ácido.[4][5]

The Arndt-Eistert synthesis
Mientras la reacción clásica de Arndt-Eistert emplea cloruro de tionilo para convertir el ácido inicial en su halogenuro de acilo correspondiente, se puede partir de cualquier método que produzca a éste.
La diazocetonas se generan de manera habitual por el método antes descrito; sin embargo, existen diversas alternativas para generarlas.[6]
Ya que el diazometano es explosivo y tóxico, para efectuar la reacción se deben tomar las precauciones pertinentes.[7] tales como el uso de inolatos (Véase. Homologación de ésteres Kowalski)[8] o trimetilsilildiazometano.[9][10]
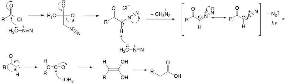
Mecanismo de reacción
El diazometano en uno de sus híbridos de resonancia presenta una forma carbaniónica que ataca al grupo carbonilo del grupo acilo, el cual sufre Sustitución nucleofílica acílica. Se forma la sal de diazonio, la cual inmediatamente sufre una reacción de α-eliminación, formando el carbeno correspondiente. El paso clave de la reacción es la transposición de Wolff, donde el acilcarbeno[11] se transforma a su correspondiente cetena. Calor, luz, y sales de platino, plata y cobre catalizan la transposición de Wolff.[12]

Arndt-Eistert Synthesis Mechanism
Variaciones
Se han desarrollado homologaciones con carbonato de di-ter-butilo de la (S)-fenilalanina (Ácido 2-amino-3-fenilpropanoico), donde se forma como producto final (S)-3-ácido 2-amino-4-fenilbutanoico.[5] En la Modificación de Newman-Beal, la adición de trietilamina a diazometano evita la formación de α-clorometillcetonas como productos secundarios.[13]

Homologation of N-boc-phenylalanine
Homologación de ésteres de Kowalski
La homologación de ésteres de Kowalski es una alternativa con menos riesgos que la homologación de Arndt-Eistert, ya que el diazometano es un gas amarillo muy tóxico, que bajo ciertas condiciones puede resultar explosivo.[14][15]

Véase también
- Transposición de Curtius
- Transposición de Lossen
- Reacción de Nierenstein
- Degradación de Barbier-Wieland
Referencias
- ↑ Arndt, F.; Eistert, B. (1935). «Ein Verfahren zur Überführung von Carbonsäuren in ihre höheren Homologen bzw. deren Derivate». Ber. Dtsch. Chem. Ges. (en alemán) 68 (1): 200-208. doi:10.1002/cber.19350680142.
- ↑ Bachmann, W. E.; Struve, W. S. (1942). «The Arndt-Eistert Reaction». Org. React. 1: 38.
- ↑ Ye, T.; McKervey, M. A. (1994). «Organic Synthesis with α-Diazo Carbonyl Compounds». Chem. Rev. 94 (4): 1091-1160. doi:10.1021/cr00028a010.
- ↑ (1970) "Ethyl 1-Naphthylacetate". Org. Synth. 50; Coll. Vol. 6: 613.
- ↑ a b (2002) "(S)-3-(tert-Butyloxycarbonylamino)-4-phenylbutanoic acid". Org. Synth. 79; Coll. Vol. 10: 194.
- ↑ (1996) "Detrifluoroacetylative Diazo Group Transfer: (E)-1-Diazo-4-phenyl-3-buten-2-one". Org. Synth. 73: 134; Coll. Vol. 9: 197.
- ↑ Katritzky, A. R.; Zhang, S.; Hussein, A. H. M.; Fang, Y.; Steel, P. J. (2001). «One-Carbon Homologation of Carboxylic Acids via BtCH2TMS: A Safe Alternative to the Arndt−Eistert Reaction». J. Org. Chem. 66 (16): 5606-5612. doi:10.1021/jo0017640.
- ↑ (1993) "Ethyl 1-Naphthylacetate: Ester Homologation Via Ynolate Anions". Org. Synth. 71: 146; Coll. Vol. 9: 426.
- ↑ Aoyama, T.; Shiori, T. (1980). «New Methods and Reagents in Organic Synthesis. 8. Trimethylsilyldiazomethane. A New, Stable, and Safe Reagent for the Classical Arndt-Eistert Synthesis». Tetrahedron Lett. 21 (46): 4461-4462. doi:10.1016/S0040-4039(00)92200-7.
- ↑ Cesar, J.; Dolenc, M. S. (2001). «Trimethylsilyldiazomethane in the Preparation of Diazoketones via Mixed Anhydride and Coupling Reagent Methods: a New Approach to the Arndt–Eistert Synthesis». Tetrahedron Lett. 42 (40): 7099-7102. doi:10.1016/S0040-4039(01)01458-7.
- ↑ [IUPAC Golden Book: Acil carbeno http://goldbook.iupac.org/A00121.html]
- ↑ Huggett, C.; Arnold, R. T.; Taylor, T. I. (1942). «The Mechanism of the Arndt-Eistert Reaction». J. Amer. Chem. Soc. 64 (12): 3043. doi:10.1021/ja01264a505.
- ↑ Newman, M. S.; Beal, Philip F. (1950). «An Improved Wolff Rearrangement in Homogeneous Medium». J. Amer. Chem. Soc. 72 (11): 5163-5165. doi:10.1021/ja01167a101.
- ↑ Kowalski, C. J.; Haque, M. S.; Fields, K. W. J. Am. Chem. Soc. 1985, 107, 1429. (doi 10.1021/ja00291a063)
- ↑ Organic Syntheses, Coll. Vol. 9, p.426 (1998); Vol. 71, p.146 (1993). (Article Archivado el 14 de mayo de 2011 en Wayback Machine.)