Reacción de Betti
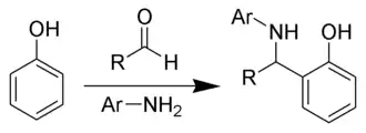
La Reacción de Betti es una reacción orgánica entre un aldehído, una amina aromática primaria y un fenol donde se obtiene como producto un α-aminobencilfenol. La reacción de Betti es un caso especial de la reacción de Mannich.

Referencias
- Betti, M. Gazz. Chim. Ital. 1900, 30 II, 301.
- Betti, M. Gazz. Chim. Ital. 1903, 33 II, 2.
- Organic Syntheses, Coll. Vol. 1, p.381 (1941); Vol. 9, p.60 (1929). (Article)
- Pirrone, F Gazz. Chim. Ital. 1936, 66, 518.
- Pirrone, F Gazz. Chim. Ital. 1937, 67, 529.
- Phillips, J. P. Chem. Rev. 1956, 56, 286.
- Phillips, J. P.; Barrall, E. M. J. Org. Chem. 1956, 21, 692.