Reacción de Gewald
La síntesis de tiofenos de Gewald es una reacción orgánica que consiste en la condensación de una cetona (o aldehído cuando R2 = H) con un α-cianoéster en presencia de azufre elemental y una base para dar como producto un 2-amino-tiofeno polisustituido.[1][2]

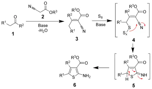
Mecanismo de reacción
El mecanismo de la reacción de Gewald recientemente ha sido elucidado.[3] El primer paso es una condensación de Knoevenagel entre la cetona (1) y el α-cianoéster (2) para producir el intermediario estable 3. El mecanismo de la adición de azufre elemental es desconocido. Se postula que procede a través del intermediario 4. La ciclización y la tautomerización hacen que se obtenga el producto deseado (6).

La irradiación de microondas se ha demostrado provechoso para el rendimiento y los tiempos de reacción.[4]
Variaciones
En una variación de la reacción Gewald se sintetiza un 3-acetil-2-aminotiofeno a partir de un ditiano [Un aducto de azufre y acetona (R = CH3)] y la sal sódica de la cianoacetona, la cual es inestable:[5]

Referencias
- ↑ Gewald, K.; Schinke, E.; Böttcher, H. Ber. 1966, 99, 94-100.
- ↑ Sabnis, R. W. Sulfur Rep. 1994, 16, 1-17. (Review)
- ↑ Sabnis, R. W.; Rangnekar, D. W.; Sonawane, N. D. J. Heterocyclic Chem. 1999, 36, 333.
- ↑ Sridhar, M.; Raoa, R. M.; Babaa, N. H. K.; Kumbhare, R. M. Tetrahedron Lett. 2007, 48, 3171-3172. (doi 10.1016/j.tetlet.2007.03.052)
- ↑ Gernot A. Eller, Wolfgang Holzer Molecules 2006, 11, 371-376 Online article