Reacción de Kabachnik–Fields
La reacción de Kabachnik-Fields es una reacción orgánica tricomponente que consiste en la formación de un α-aminofosfonato, a partir de la reacción entre amoniaco (o una amina primaria), un compuesto carbonílico y un fosfito dialquílico. Los aminofosfonatos son objetivos importantes en síntesis orgánica como análogos de α-aminoácidos bioisostéricos. Esta reacción fue descubierta de manera independiente por Martin Izrailevich Kabachnik[1] y Ellis K. Fields[2] en 1952. La reacción es muy similar a la reacción de Pudovik bicomponente, que implica la condensación de un fosfito y una imina.

Kabachnik-Fields Reaction
El primer paso de esta reacción es la formación de la imina, seguida de un paso de hidrofosfonilación en el que el enlace fosfonato P-H atraviesa el enlace doble C=N.[3] El componente carbonilo inicial es generalmente un aldehído y, a veces, una cetona. La reacción puede acelerarse con una combinación de reactivo deshidratante y ácido de Lewis.[4][5] Está relacionada con la reacción de Mannich.
Se han desarrollado variantes enantioselectivas de la reacción Kabachnik-Fields, por ejemplo, el empleo de α-metilbencilamina proporciona un α-aminofosfonato quiral no racémico:[6]
Mecanismo de la reacción
El mecanismo de acción de esta reacción depende totalmente de la naturaleza de los sustratos. La amina y el H-fosfonato forman un complejo en el cual una de las partes puede reaccionar con el compuesto carbonílico. A menudo, es la basicidad de la amina la que determina la vía de reacción. La aminas débilmente básicas, como las anilinas, pueden actuar como dadores de H+, a favor de la formación de una imina, mientras que las alquilaminas tales como las ciclohexilaminas, no forman iminas.
Tomando el caso de una amina débilmente básica, el mecanismo de acción consistiría:

En la primera etapa, la amina ataca el átomo de carbono del carbonilo aldehído. El resultado es un ion zwitterión, que reacciona mediante transposición de un átomo de hidrógeno (tautomería) y la posterior eliminación de agua da la imina. En el siguiente paso, el ácido fosfónico se adiciona a la imina. Después de una nueva transferencia de un átomo de hidrógeno da, en última instancia, un α-aminofosfonato.[7]
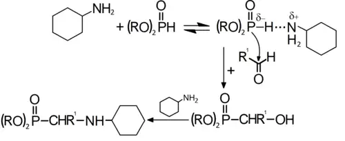
En el caso de una amina más básica, como la ciclohexilamina, la formación del complejo produce unas cargas parciales opuestas al caso anterior:[8]

En este caso, al tener la densidad de carga parcial negativa sobre el átomo de fósforo, en lugar de en el de nitrógeno como en el caso anterior, es este primero el responsable de producir la reacción de adición sobre el átomo de carbono carbonílico (reacción de Abramov), produciéndose un α-hidroxialquilfosfonato intermedio, que posteriormente reaccionará con la amina produciéndose la sustitución del grupo hidroxi por el ciclohexilamino.
Referencias
- ↑ Kabachnik, Martin I.; T. Ya. Medved (1952). «Новый метод синтеза сс-аминофосфиновых кислот». Doklady Akademii Nauk SSSR 83: 689.
- ↑ Fields, Ellis K. (1952). «The synthesis of esters of substituted amino phosphonic acids». Journal of the American Chemical Society 74 (6): 1528-1531. doi:10.1021/ja01126a054.
- ↑ Zefirov, Nikolay S.; Elena D. Matveeva (18 de enero de 2008). «Catalytic Kabachnik-Fields reaction: New horizons for old reaction». ARKIVOC 2008 (i): 1-17. Consultado el 8 de diciembre de 2009.
- ↑ Organic Chemistry Portal. «Kabachnik-Fields Reaction».
- ↑ A. Manjula; B. Vittal Rao; P. Neelakantan (2003). «One-Pot Synthesis of α-Aminophosphonates: An Inexpensive Approach». Journal Synthetic Communications 33 (17): 2963-2969. doi:10.1081/SCC-120022468.
- ↑ Gilmore, F.; McBride, A. (1972). «Synthesis of an optically active -aminophosphonic acid». J. Am. Chem. Soc. 94 (12): 4361. PMID 5036657. doi:10.1021/ja00767a065.
- ↑ Wang, Z.: Comprehensive Organic:Name Reactions and Reagents, Wiley Verlag, 2009, S. 1588−1591, ISBN 978-0-471-70450-8.
- ↑ Kolio D. Troev (2018). Reactivity of P-H Group of Phosphorus Based Compounds. Academic Press. pp. 330-333. ISBN 978-0-12-813834-2.
