Reacción de Prévost
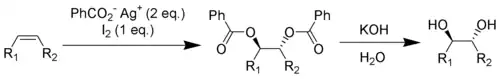
La reacción de Prévost es una reacción química en la que un alqueno se convierte mediante yodo y la sal de plata del ácido benzoico en un diol vecinal con antiestereoquímica.[1][2] La reacción fue descubierta por el químico francés Charles Prévost (1899-1983).

Mecanismo de reacción
La reacción entre el benzoato de plata (1) y el yodo es muy rápida y produce un intermedio de benzoato de yodo muy reactivo (2). La reacción de la sal de yodinio (2) con un alqueno produce otra sal de yodinio de vida corta (3). La sustitución nucleofílica (SN2) por la sal de benzoato da el éster (4). Otro ion de plata provoca la sustitución del grupo vecino del éster de benzoato para dar la sal de oxonio (5). Una segunda sustitución SN2 por el anión benzoato da el diéster deseado (6).

En el paso final, la hidrólisis de los grupos éster produce el antidiol. Este resultado es el opuesto al de la cis-hidroxilación de Woodward relacionada, que da lugar a la adición syn.
Referencias
- ↑ Charles Prévost (1933). «Sur un complexe iodo-argento-benzoïque et son application à l'oxydation des combinaisons éthyléniques en α-glycols». Comptes rendus 196: 1129.
- ↑ Wilson, C. V. (1957). «The Reaction of Halogens with Silver Salts of Carboxylic Acids». Organic Reactions 9: 332-387. ISBN 0471264180. doi:10.1002/0471264180.or009.05.