Reacción de Reimer–Tiemann

La reacción de Riemer-Tiemann es una reacción química utilizada para la orto-formilación de fenoles; el ejemplo más sencillo es la conversión de fenol a salicilaldehído.[1][2][3][4][5] La reacción fue descubierta por Karl Reimer (de) y Ferdinand Tiemann.[6] El Reimer en cuestión era Karl Reimer (1845-1883), no el menos conocido Carl Ludwig Reimer (1856-1921).[7]
Mecanismo de reacción

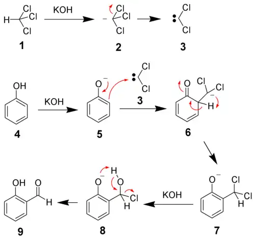
El cloroformo (1) es desprotonado por una base fuerte (normalmente hidróxido) para formar el carbanion triclorometiluro (2) el cual inmediatamente presenta eliminación alfa para dar diclorocarbeno (3); esta es la principal especie reactiva . El hidróxido también desprotona al fenol (4) para dar fenóxido cargado negativamente (5). La carga negativo es deslocalizada en el anillo aromático, haciéndolo mucho más nucleofílico y con mayor selectividad orto. El ataque nucleofílico del diclorocarbeno a la posición orto forma un intermediario de diclorometilfenol (7). Después de una hidrólisis básica se forma el producto deseado (9) .
Condiciones de reacción
Los hidróxidos no son fácilmente solubles en el cloroformo, por ello la reacción es generalmente llevada a cabo en un sistema de disolvente difásico. En el sentido más sencillo esto consta de una solución de hidróxido acuosa y una fase orgánica que contiene el cloroformo. Los dos reactivos son por tanto separados y tiene que formar una fase dispersa para que la reacción tenga lugar. Esto se puede conseguir con un mezclado rápido, catalizadores de transferencia de fase, o agente emulsificantes (el uso de 1,4-Dioxano como disolvente es un ejemplo).
La reacción típicamente necesita ser calentada para iniciar el proceso, aun así una vez iniciada, la reacción puede Reimer-Tiemann tiende a ser ser altamente exotérmica.
Alcance
Comparación a otros métodos
La formilación directa de compuestos aromáticos puede ser llevada a cabo con otros métodos como la reacción de Gattermann, la reacción de Gattermann–Koch reacción, la reacción de Vilsmeier–Haack o la reacción de Duff ; la reacción de Reimer–Tiemann es a menudo la ruta más ventajosa escogido en síntesis química. La reacción Reimer–Tiemann es una alternativa que no requiere acídos y/o condiciones anhidras . También procede con furanos y pirroles.
Variaciones
La reacción de Reimer–Tiemann puede ser alterada para producir ácidos fenólicos por sustitución del cloroformo con tetracloruro de carbono.[8] Para el caso, la reacción alterada con fenol produciría el ácido salicíclico.
Véase también
- Reacción de Rieche
- Reacción de Vilsmeier-Haack
- Reacción de Gattermann-Koch
- Reacción de Friedel-Crafts
Referencias
- ↑ Reimer, K. and Tiemann, Ferd, K.; Tiemann, Ferd. (1876). «Ueber die Einwirkung von Chloroform auf Phenole und besonders aromatische Oxysäuren in alkalischer Lösung». Berichte der deutschen chemischen Gesellschaft 9 (2): 1268-1278. doi:10.1002/cber.18760090270. Consultado el 3 de enero de 2014.)
- ↑ Wynberg, Hans (1960). «The Reimer-Tiemann Reaction». Chemical Reviews 60 (2): 169-184. doi:10.1021/cr60204a003. Consultado el 3 de enero de 2014.
- ↑ Wynberg, Hans and Meijer, Egbert, Hans; Meijer, Egbert W. (2005). «The Reimer–Tiemann Reaction». Wiley Online Library: pg.14. ISBN 9780471264187. doi:10.1002/0471264180.or028.01. Consultado el 3 de enero de 2014.)
- ↑ Dauben, William G. (1982). Organic Reactions, Volume 28. Hoboken, NJ: Wiley-Interscience. p. 347. ISBN 978-0471861416.
- ↑ Wynberg, Hans (1991). «The Reimer–Tiemann Reaction». Comprehensive Organic Synthesis 2 (Part 2): 769-775. ISBN 978-0-08-052349-1. doi:10.1016/B978-0-08-052349-1.00048-2. Consultado el 3 de enero de 2014.
- ↑ Karl Reimer, Berichte der deutschen chemischen Gesellschaft 9, S. 423–424 (1876). - [1]
- ↑ see "Karl Reimer Nachruf 1883.pdf" at Commons and text on page 101.
- ↑ Gaonkar, A.V.; Kirtany, J.K. (2010). «ChemInform Abstract: Reimer-Tiemann Reaction Using Carbon Tetrachloride». ChemInform 22 (41): 1991. doi:10.1002/chin.199141092.