Reducción de Birch
La reducción de Birch es una reacción orgánica que fue reportada en 1944 por el químico australiano Arthur Birch (1915-1995) quien trabajaba en el Laboratorio de Dyson Perrins en la Universidad de Oxford,[1][2][3][4][5][6] basándose en el trabajo de Wooster y Godfrey en 1937. En principio, se convierten los anillos de benceno en 1,4-ciclohexadienos, en donde dos átomos de hidrógeno se han unido en los extremos opuestos de la molécula. Es una reducción orgánica de anillos aromáticos en amoniaco líquido con sodio, litio o potasio, y un alcohol, como el etanol y ter -butanol. Esta reacción es una hidrogenación homogénea que por lo general puede reducir el anillo aromático hasta ciclohexano.
En la reacción inicial reportada por Birch en 1944 se utilizó sodio y etanol.[7] Posteriormente, A. L. Wilds notó que se obtenían mejores rendimientos utilizando litio.[8] También es común el uso de ter-butanol. El uso de la reducción de Birch se ha extendido en diversas síntesis orgánicas.
Un ejemplo es la reducción de la naftalina:[9]
Varias revisiones han sido publicadas.[10][11][12][13]
La reacción de Birch puede ser utilizada también en la hidrogenación de alquinos para dar alquenos trans:

Mecanismo de reacción
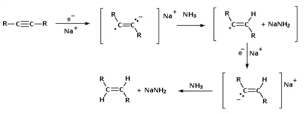
Una solución de sodio en amoníaco líquido consiste en la sal de electruro [Na(NH3)x]+ e−, asociado con el color azul intenso de estas soluciones. Los electrones solvatados se adicionan al anillo aromático para formar un radical aniónico. El alcohol proporciona un protón al carbanión. Posteriormente se vuelve a adicionar otro electrón solvatado, se produce otro carbanión que reacciona con otro protón del alcohol. Para la mayoría de los sustratos, el amoníaco no es suficientemente ácido.[14]

En el caso de los alquinos, el anión viniluro es suficientemente básico para desprotonar una molécula de amoniaco:

En 1961, se demostró por medio de cálculos de Hückel que el mecanismo de Birch era incorrecto. El mecanismo elucidado por este método se muestra a continuación.[15][16]

Regioselectividad
La reducción del anisol es uno de los ejemplos más simples y se muestra en la ecuación 1. Otro ejemplo es el del ácido benzoico que se ilustra en la ecuación 2.
El sitio de adición del radical aniónico protonado inicialmente determina la estructura del producto. Con un donador de electrones como el grupo metóxido o alquilo, la protonación ha sido considerada por algunos investigadores como orto para el sustituyente. Otros investigadores han considerado que la protonación es meta al sustituyente. Arthur Brich se inclinó por la hipótesis de la protonación meta. En el caso de sustituyentes electroatractores, se ha pensado que la protonación se lleva a cabo en la posición ipso del sustituyente. Una vez más, ha habido opiniones diversas. Las reglas empíricas de Birch dictan que los anillos con sustituyentes electrodonadores tienden a dar productos en donde una de las dobles ligaduras resultantes contiene a dichos sustituyentes en posición vinílica. En el caso de los grupos electroatractores, los dobles enlaces tienden a dejar a dichos sustituyentes en posición alílica.
_Birch-Anisole.png)
_Birch-Benzoic.gif)
Alquilación de Birch
En la alquilación de Birch, el anión formado en la reducción de Birch reacciona con carbonos electrófilos, tales como los de los halogenuros de alquilo:[17]

Birch Alkylation Org Synth 1990
En la reacción se muestra a continuación, se añade benzoato de t-butilo al 1,4-dibromobutano para formar un 1,4-ciclohexadieno alquilado como producto:[18]

Birch alkylation
En presencia de un halogenuro de alquilo, el carbanión puede someterse a la sustitución nucleófila con la formación de enlaces carbono-carbono. En compuestos aromáticos sustituidos, los grupos electroatractores como los ácidos carboxílicos,[17] estabilizan al carbanión y se genera la olefina menos sustituida. Con un sustituyente donador de electrones se obtiene el efecto contrario.[18] La reacción produce más productos no conjugados 1,4-ciclohexadieno que los dienos conjugados 1,3 más estables termodinámicamente debido a que el coeficiente mayor de los orbitales HOMO del anión conjugado pentadienilo intermediario se encuentra en el átomo de carbono central. Una vez formado, el 1,4-ciclohexadieno resultante es incapaz de equilibrar el producto termodinámicamente más estable, por lo tanto, se observa mayor producción del producto cinético. Experimentales alternativas de metales alcalinos que son más seguras de manejar, tales como el agente reductor a base de amalgama de sodio y potasio M-SG.
Reducción de Benkeser
La reducción de Benkeser es un método de hidrogenación de hidrocarburos policíclicos aromáticos, especialmente naftalenos, utilizándose litio o calcio metálico en presencia de una amina primaria como agentes reductores. Pueden utilizarse grupos alquilo de bajo peso molecular, como -CH3, -CH2CH3, -CH2CH2CH3, -CH2CH2NH2.
Dado que para la reducción de Birch el amoníaco líquido tiene que ser condensado en el matraz y tiene que evaporarse durante la noche después de la reacción se complete, todo el procedimiento puede ser muy problemático y requiere mucho tiempo. Sin embargo, han empleado disolventes alternativos, como THF,[19] así como una mezcla de n -propilamina y etilendiamina,[20] que producen con resultados comparables. Este último es en realidad una modificación de la reducción de Benkeser, que en su forma original, tiende a reducir la naftalina hasta octahidro y decahidronaftaleno.

Modified Benkeser reduction
Esta reducción de la naftalina a isotetralina (1,4,5,8-tetrahidronaftaleno) produce algunas tetralinas (1,2,3,4-tetrahidronaftaleno) como subproducto, como es el caso de la reducción de Birch regular.
Referencias
- ↑ Birch, A. J. (1944'). «117. Reduction by dissolving metals. Part I». J. Chem. Soc.: 430. doi:10.1039/JR9440000430.
- ↑ Birch, A. J. (1945). «212. Reduction by dissolving metals. Part II». J. Chem. Soc.: 809. doi:10.1039/jr9450000809.
- ↑ Birch, A. J. (1946). «119. Reduction by dissolving metals. Part III». J. Chem. Soc.: 593. doi:10.1039/jr9460000593.
- ↑ Birch, A. J. (1947). «25. Reduction by dissolving metals. Part IV». J. Chem. Soc.: 102. doi:10.1039/jr9470000102.
- ↑ Birch, Arthur J. (1947). «327. Reduction by dissolving metals. Part V». J. Chem. Soc.: 1642. doi:10.1039/jr9470001642.
- ↑ Birch, A. J.; Mukherji, S. M. (1949). «532. Reduction by dissolving metals. Part VI. Some applications in synthesis». J. Chem. Soc.: 2531. doi:10.1039/jr9490002531.
- ↑ Birch, A. J., J. Chem. Soc. 1944, 430-436; Birch, A. J., 1944, J. Chem. Soc., 430; 1945, 809; 1946, 593.
- ↑ A. L. Wilds, A. L.; N. A. Nelson, N. A. J. Am. Chem. Soc. 1953, 75, 5360-5365.
- ↑ Vogel, E.; Klug, W.; Breuer, A. (1974). "1,6-Methano[10]annulene". Org. Synth.; Coll. Vol. 6.
- ↑ Birch, A. J.; Smith, H. (1958). «Reduction by metal–amine solutions: applications in synthesis and determination of structure». Quart. Rev. (review) 12 (1): 17. doi:10.1039/qr9581200017.
- ↑ Caine, D. (1976). Org. React. (review) 23: 1-258.
- ↑ Rabideau, P. W.; Marcinow, Z. (1992). Org. React. (review) 42: 1-334.
- ↑ Mander, L. N. (1991). Comp. Org. Syn. (review) 8: 489-521.
- ↑ Jerry March (2007). Advanced Organic Chemistry: Reactions, Mechanisms And Structure 6th Edition. Wiley. ISBN 978-0-471-72091-1.
- ↑ "Orientation in Metal Ammonia Reductions," Zimmerman, H. E, Tetrahedron, 1961, 16, 169-176.
- ↑ "Base-Catalyzed Rearrangements," Chapter 6 of "Molecular Rearrangements," Zimmerman, H. E., Ed. P. DeMayo, Interscience, 345-406, New York, 1963.
- ↑ a b Kuehne, M. E.; Lambert, B. F. (1963). "1,4-Dihydrobenzoic acid". Org. Synth.; Coll. Vol. 5: 400.
- ↑ a b Paquette, L. A.; Barrett, J. H. (1969). "2,7-Dimethyloxepin". Org. Synth.; Coll. Vol. 5: 467.
- ↑ Timothy J. Donohoe and David House (2002). «Ammonia Free Partial Reduction of Aromatic Compounds Using Lithium Di-tert-butylbiphenyl (LiDBB)». Journal of Organic Chemistry 67 (14): 5015-5018. PMID 12098328. doi:10.1021/jo0257593.
- ↑ Michael E. Garst et al. (2000). «Reductions with Lithium in Low Molecular Weight Amines and Ethylenediamine». Journal of Organic Chemistry 65 (21): 7098-7104. PMID 11031034. doi:10.1021/jo0008136.



.png)