Reumitsina
| Reumitsina | ||
|---|---|---|
![]() | ||
| Nombre IUPAC | ||
| 6-Metilpirimido[5,4-e]-1,2,4-triazino-5,7(1H,6H)-diona | ||
| General | ||
| Fórmula estructural |
![]() | |
| Fórmula molecular | C6H5N5O2 | |
| Identificadores | ||
| Número CAS | 5016-18-2[1] | |
| ChEBI | 121196 | |
| ChEMBL | CHEMBL1703515 | |
| ChemSpider | 4508266 | |
| PubChem | 5351216 | |
| UNII | N94S395MFA | |
| Propiedades físicas | ||
| Masa molar | 179,138 g/mol | |
| Punto de fusión | 210 °C (483 K) | |
| Punto de descomposición | 244 °C (517 K) | |
| Valores en el SI y en condiciones estándar (25 ℃ y 1 atm), salvo que se indique lo contrario. | ||
La reumitsina es un alcaloide pirimido[5,4-e]-1,2,4-triazínico que fue aislado de Actinomyces rectus bruneus. Es un polvo amarillo con potente actividad antineoplástica. Es soluble en metanol, agua, acetato de etilo y DMF. Es poco soluble en acetona, éter de petróleo y éter etílico. UV: [neutral]λmax235 (ε17800) ;265 (ε3090) ;340 (ε5248) ;400 (ε741) ( EtOH) [base]λmax258 (ε15130) ;400 (ε2630) (EtOH/NaOH).
Derivados
Se han reportado dos derivados naturales de la reumitsina: la toxoflavina y la 7-Metoxireumicina'
La Toxoflavina (referida también como Xantotricina) es una toxina producida por bacterias como la Burkholderia gladioli[2] y la Pseudomonas cocovenenans. Tiene propiedades antibióticas[3]
La toxoflavina actúa como indicador de pH, cambiando de amarillo a incoloro a pH 10.5.[4] La toxoflavina producida por Burkholderia glumae BGR1 es el factor responsable de la necrosis en las hojas de arroz infectadas con esta bacteria. Se ha reportado una enzima degradadora de toxoflavina (TxDE) identificada de otra bacteria, Paenibacillus polymyxa JH2, la cual se estudia como agente de control contra esta enfermedad.[5] La capacidad de la toxoflavina de producir peróxido de hidrógeno puede ser responsable de la fuerte actividad como antibiótico y su carácter altamente tóxico a humanos. Una de las bases de este principio es que la toxiflavina es inactiva en condiciones anaerobias[6]
La 7-metoxireumicina es un antineoplástico aislado de Actinomyces rectus bruneus
| Nombre | Estructura | Fórmula molecular | CAS | Masa molecular | Estado | Otras propiedades |
|---|---|---|---|---|---|---|
| 7-metoxireumicina | ![]() |
C7H7N5O2 | 51590-95-5 | 193.165 | Sólido | Soluble en MeOH, EtOAc, DMF, H2O; poco soluble en acetona, benceno e insoluble en hexano o éter dimetílico. |
| Toxoflavina (1-Metilreumicina o xantotricina) | ![]() |
C7H7N5O2 | 84-82-2 | 193.165 | Agujas amarillas (EtOH o MeOH) PF = 172 | Soluble en agua y metanol. UV: [ácido] λmax258 (ε18400) ;397 (ε4500) ( pH 1 H2O) [básico] λmax322 (ε6400) ( pH 11) [neutro] λmax259 (ε22500) ;330 (ε1950) ;395 (ε5500) ( EtOH). |
Biosíntesis
La formación de la toxoflavina ha sido obtenido tanto en condiciones de crecimiento en un medio químicamente complejo, como en suspensiones celulares con condiciones de cultivo específicas. Los experimentos de marcaje isotópico han mostrado que:
- a) El fragmento de pirimidina se origina de la fracción correspondiente de un derivado purínico a un nivel de oxidación no mayor a la xantina.
- b) La metilación se lleva a cabo por la acción de la S-Adenosil metionina
- c) El carbono 8 de la purina precursora se elimina durante la biosíntesis y es reemplazado por un grupo aminometilo de la glicina.
- d) La formación del enlace dinitrógeno se lleva a cabo por una oxidación de los nitrógenos del aminometilo transferido y el de la aminopirimidina precursora.
La estimulación de la biosíntesis de la toxoflavina se logra cuando el medio se enriquece con metionina, purinas y glicina en presencia de oxígeno.[7]
Síntesis
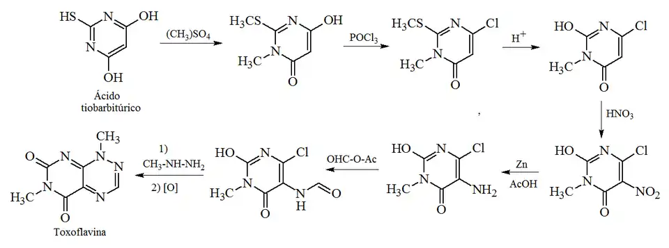
Daves y colaboradores sintetizaron por primera vez la molécula de toxoflavina en 1961 a partir de ácido tiobarbitúrico. La síntesis consiste en un procedimiento de 8 pasos:.[8]
- 1) Dimetilación en el átomo de azufre y del nitrógeno 1 del ácido tiobarbitúrico.
- 2) Reemplazo de un átomo de oxígeno por uno de cloro con cloruro de fosforilo.
- 3) Hidrólisis ácida del metilsulfuro.
- 4) Nitración con ácido nítrico.
- 5) Reducción del grupo nitro
- 6) Formilación del nitrógeno del grupo amino formado con anhídrido acético-fórmico.
- 7) Formación de la hidrazonamida por reacción con metilhidrazina con posterior ciclización.
- 8) Oxidación

Referencias
- ↑ Número CAS
- ↑ Van Damme, P.A. et al., Recl. Trav. Chim. (J. R. Neth. Chem. Soc.) (1960) 79, 255
- ↑ Xanthothricin, a new antibiotic. Machlowitz, Roy A.; Fisher, W. P.; McKay, Betsey S.; Tytell, Alfred A.; Charney, Jesse. Antibiotics and Chemotherapy (1954) 4: pp. 259–261}}
- ↑ Merck Index
- ↑ Jung W-S, Lee J, Kim M-I, Ma J, Nagamatsu T, et al. (2011) Structural and Functional Analysis of Phytotoxin Toxoflavin-Degrading Enzyme. PLoS ONE 6(7): e22443. doi:10.1371/journal.pone.0022443
- ↑ Latuasan, H.E. et al., Biochim. Biophys. Acta (1961) 52:p.502
- ↑ Levenberg, P. et al., J. Biol. Chem. (1966) 241, 846
- ↑ G. Doyle Daves Jr., Roland K. Robins , C. C. Cheng. J. Am. Chem. Soc. (1961) 83 (18), pp 3904–3905



