Síntesis de piridina de Hantzsch
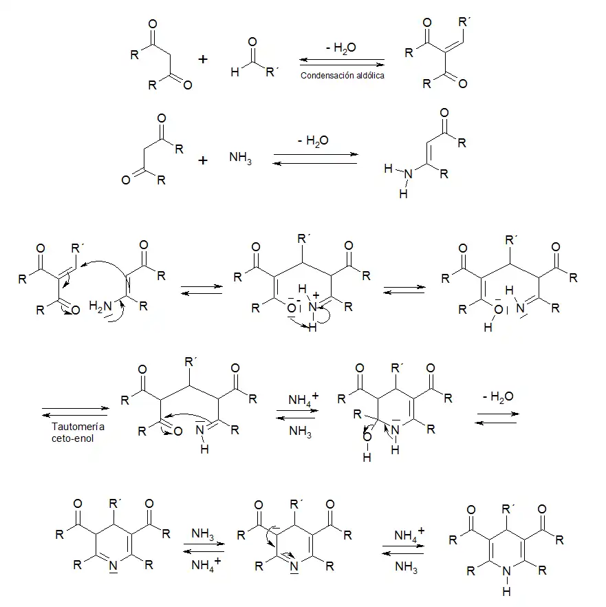
La síntesis de piridinas de Hantzsch, descrita en 1881 por Arthur Rudolph Hantzsch, es uno de los métodos más comunes para la síntesis de piridinas sustituidas. En este proceso se combinan dos equivalentes de un compuesto 1,3-dicarbonílico, un aldehído y una molécula que contenga nitrógeno,[1] como amoniaco o acetato de amonio, para dar una 1,4-dihidropiridina. Este precursor, también conocido como intermedio de Hantzsch, se transforma en el producto aromático mediante una posterior etapa de oxidación[2] con tricloruro de hierro o nitrito de sodio,cuya fuerza directora es la aromatización que tiene lugar.

Mecanismo de reacción
El mecanismo se compone de dos etapas iniciales, una condensación aldólica y la formación de una imina en equilibrio con la enamina, que forman los productos intermedios que posteriormente se unen dando la 1,4-dihidropiridina.[3]

El grupo R suele ser un grupo electrodonador( -OMe, -NR2…) aunque también puede ser una cadena carbonada, generalmente metilo o etilo.
Modificación de Knoevenagel-Fries
La modificación de Knoevenagel-Fries permite la síntesis a partir de compuestos 1,3-dicarbonilicos no simétricos, dando piridinas asimétricamente sustituidas.[4]
Referencias
- ↑ Hantzsch, A. (1881). «Condensationprodukte aus Aldehydammoniak und Ketoniartigen Verbindungen». Chemische Berichte 14 (2): 1637-1638. doi:10.1002/cber.18810140214.
- ↑ Jing-Jing Xia, Guan-Wu Wang (2005). «One-Pot Synthesis and Aromatization of 1,4-Dihydropyridines in Refluxing Water» (abstract). Synthesis 2005 (14): 2379-2383. doi:10.1055/s-2005-870022. Archivado desde el original el 4 de diciembre de 2007.
- ↑ Alan R. Katritzky, Daryl L. Ostercamp, and Taher I. Yousaf (1986). «The mechanism of the Hantzsch pyridine synthesis: a study by 15N and 13C NMR spectroscopy». Tetrahedron (42): 5729-5738.
- ↑ Synthesen in der Pyridinreihe. Ueber eine Erweiterung der Hantzsch'schen Dihydropyridinsynthese Berichte der deutschen chemischen Gesellschaft 1898 (p 761-767) E. Knoevenagel, A. Fries doi 10.1002/cber.189803101157
Jean Jacques Vanden Eynde, Annie Mayence (2003). «Synthesis and Aromatization of Hantzsch 1,4-Dihydropyridines under Microwave Irradiation. An Overview». Molecules 8.