Sucesión de Fibonacci
En matemáticas, la sucesión de Fibonacci es:
- .


La sucesión comienza con dos números naturales (dependiendo de la referencia, con 0 y 1 en ciertos casos, otras inician con 1 y 1) y a partir de estos, «cada término es la suma de los dos anteriores», es la relación de recurrencia que la define.
Esta sucesión fue descrita en Europa por Leonardo de Pisa, matemático italiano del siglo XIII también conocido como Fibonacci. Tiene numerosas aplicaciones en ciencias de la computación, matemática, tendencias bursátiles y teoría de juegos. También aparece en configuraciones biológicas, como por ejemplo en las ramas de los árboles, en la disposición de las hojas en el tallo, en las flores de alcachofas y girasoles, en las inflorescencias del brécol romanesco, en la configuración de las piñas de las coníferas, en la reproducción de varias especies, en la estructura espiral del caparazón de algunos moluscos, como el nautilus, dinámica de los huracanes, organización de las galaxias, proporciones del cuerpo humano, sus partes y subpartes y en cómo el ADN codifica el crecimiento de las formas orgánicas complejas.
Historia
La sucesión fue descrita y dada a conocer en occidente por Fibonacci ejemplificándolo con la solución a un problema de la cría de conejos, dando inicio a ese simpático mito de que así la descubriera.[2]
Leonardo Pisano, Leonardo de Pisa, o Leonardo Bigollo, también conocido como Fibonacci, nació en 1170 y murió en 1240. Fue un divulgador y estudioso de la matemática indo-arábiga aprendida en Alejandría, Argelia, Bujía y otras ciudades del mediterráneo sur, exponiendo múltiples aplicaciones prácticas de una matemática desconocida en Occidente, como los numerales árabes (con un sistema de numeración decimal, notación posicional y un dígito de valor nulo: el cero), con énfasis en su uso en contabilidad, física y pedagogía y disciplina matemática, tanto que la República de Pisa lo honra concediéndole un salario permanente en agradecimiento a sus servicios asesorando en materias de contabilidad a la ciudad y enseñado a los ciudadanos.[cita requerida]
Antes de ser conocida en Occidente, la sucesión de Fibonacci ya estaba descrita en la matemática en la India, en conexión con la prosodia sánscrita.[3][4]
Susantha Goonatilake sugiere que el desarrollo de la secuencia de Fibonacci «es atribuido en parte a Pingala (año 200), posteriormente asociado con Virahanka (hacia el año 700), Gopāla (hacia 1135) y Hemachandra (hacia 1150)».[5] Parmanand Singh cita a Pingala (hacia 450) como precursor en el descubrimiento de la secuencia.[6]
Aplicación de las secuencias de Fibonacci aplicadas al ejemplo de los conejos:
| Número de mes | Explicación de la genealogía | Parejas de conejos |
|---|---|---|
| Comienzo del mes 1 | Nace una pareja de conejos (pareja A). | 1 pareja en total. |
| Fin del mes 1 | La pareja A tiene un mes de edad. Se cruza la pareja A. | 1+0=1 pareja en total. |
| Fin del mes 2 | La pareja A da a luz a la pareja B. Se vuelve a cruzar la pareja A. | 1+1=2 parejas en total. |
| Fin del mes 3 | La pareja A da a luz a la pareja C. La pareja B cumple 1 mes. Se cruzan las parejas A y B. | 2+1=3 parejas en total. |
| Fin del mes 4 | Las parejas A y B dan a luz a D y E. La pareja C cumple 1 mes. Se cruzan las parejas A, B y C. | 3+2=5 parejas en total. |
| Fin del mes 5 | A, B y C dan a luz a F, G y H. D y E cumplen un mes. Se cruzan A, B, C, D y E. | 5+3=8 parejas en total. |
| Fin del mes 6 | A, B, C, D y E dan a luz a I, J, K, L y M. F, G y H cumplen un mes. Se cruzan A, B, C, D, E, F, G y H. | 8+5=13 parejas en total. |
| ... | ... | ... |
| ... | ... | ... |
Nota: al contar la cantidad de letras distintas en cada mes, se puede saber la cantidad de parejas totales que hay hasta ese mes.

De esta manera Fibonacci presentó la sucesión en su libro Liber Abaci, publicado en 1202. Muchas propiedades de la sucesión de Fibonacci fueron descubiertas por Édouard Lucas, responsable de haberla denominado como se la conoce en la actualidad.[7]
También Kepler describió los números de Fibonacci, y el matemático escocés Robert Simson descubrió en 1753 que la relación entre dos números de Fibonacci sucesivos se acerca a la relación áurea fi () cuando tiende a infinito. Esta sucesión tuvo popularidad en el siglo XX especialmente en el ámbito musical, en el que compositores con tanto renombre como Béla Bartók, Olivier Messiaen, la banda Tool y Delia Derbyshire la utilizaron para la creación de acordes y de nuevas estructuras de frases musicales.
Definición recurrente
Los números de Fibonacci quedan definidos por las ecuaciones
(1)
(2)
(3)
Con n>=2.
Esto produce los siguientes números:
y así sucesivamente.
Si bien, en algunas publicaciones se omite en la presentación el término , y en otras se inicia con , la definición usual inicia con con lo cual los valores coinciden con los valores de la cantidad de conejos en los primeros dos meses, en el problema correspondiente del Liber Abaci.
Función generadora
Una función generadora ordinaria para una sucesión cualquiera es la serie formal de potencias , donde cada coeficiente es un elemento de la sucesión. Los números de Fibonacci tienen la función generadora
(4)
Cuando esta función se expande en potencias de , los coeficientes resultan ser la sucesión de Fibonacci:
Fórmula explícita
La definición de la sucesión de Fibonacci es recurrente; es decir: se necesitan calcular todos los términos anteriores para poder calcular un término específico. Se puede obtener una fórmula explícita de la sucesión de Fibonacci (que no requiere calcular términos anteriores) notando que las ecuaciones (), () y () definen la relación de recurrencia
con las condiciones iniciales
- y
El polinomio característico de esta relación de recurrencia es , y sus raíces son
De esta manera, la fórmula explícita de la sucesión de Fibonacci tendrá la forma
- .
Si se toman en cuenta las condiciones iniciales, entonces las constantes y satisfacen la ecuación anterior cuando y , es decir que satisfacen el sistema de ecuaciones
Al resolver este sistema de ecuaciones se obtiene
Por lo tanto, cada número de la sucesión de Fibonacci puede ser expresado como
(5)
Para simplificar aún más es necesario considerar el número áureo
de manera que la ecuación () se reduce a
(6)
Esta fórmula, conocida como fórmula de Binet se le atribuye al matemático francés Édouard Lucas, y es fácilmente demostrable por inducción matemática. A pesar de que la sucesión de Fibonacci consta únicamente de números naturales, su fórmula explícita incluye al número irracional . De hecho, la relación con este número es estrecha.
Observando los valores que adoptan los dos sumandos de la fórmula (), se comprueba que el segundo sumando siempre tiene un valor absoluto menor que , y va cambiando de signo sucesivamente, compensando la parte no entera, irracional, que tiene el primer sumando, para que la suma de dos números irracionales dé un número natural.
Teniendo en cuenta entonces que ese segundo sumando de la fórmula () es siempre un número de valor absoluto menor que , (el máximo valor absoluto es para , aproximadamente ), la fórmula puede escribirse, eliminando este segundo sumando, así:
(7)
o lo que es lo mismo, empleando el número áureo :
(8)
Forma matricial
Otra manera de obtener la sucesión de Fibonacci es considerando el sistema lineal de ecuaciones
Este sistema se puede representar mediante su notación matricial como
Conociendo a y , al aplicar la fórmula anterior veces se obtiene
(9)
Los autovalores de la matriz , son precisamente y , (el número áureo ; y el negativo de su inverso o conjugado ); y sus autovectores y .
Aplicando técnicas de descomposición espectral de la matriz, utilizando sus autovalores, y la base de sus autovectores, o diagonalizando la matriz, se puede substituir o simplificar la operación de potenciación de la matriz, y obtener, por otros dos métodos, la fórmula explícita () que proporciona el término general de la sucesión.
También se verifica
(10)
Esta igualdad puede probarse mediante inducción matemática.
Propiedades de la sucesión

Los números de Fibonacci aparecen en numerosas aplicaciones de diferentes áreas. Por ejemplo, en modelos de la crianza de conejos o de plantas, al contar el número de cadenas de bits de longitud que no tienen ceros consecutivos y en una vasta cantidad de contextos diferentes. De hecho, existe una publicación especializada llamada Fibonacci Quarterly[8] dedicada al estudio de la sucesión de Fibonacci y temas afines. Se trata de un tributo a la amplitud con la que los números de Fibonacci aparecen en matemática y sus aplicaciones en otras áreas. Algunas de las propiedades de esta sucesión son las siguientes:
- La razón o cociente entre un término y el inmediatamente anterior varía continuamente, pero se estabiliza en el número áureo. Es decir:
- Los cocientes son oscilantes; es decir, que un cociente es menor al límite y el siguiente es mayor. Los cocientes pueden ordenarse en dos sucesiones que se aproximan asintóticamente por exceso y por defecto al valor límite.
- Cualquier número natural se puede escribir mediante la suma de un número limitado de términos de la sucesión de Fibonacci, cada uno de ellos distinto a los demás. Por ejemplo, , .
- Tan solo un término de cada tres es par, uno de cada cuatro es múltiplo de 3, uno de cada cinco es múltiplo de 5, etc. Esto se puede generalizar, de forma que la sucesión de Fibonacci es periódica en las congruencias módulo , para cualquier .
- La sucesión puede expresarse mediante otra fórmula explícita llamada forma de Binet (de Jacques Binet). Si y , entonces
- y
- Cada número de Fibonacci es el promedio del término que se encuentra dos posiciones antes y el término que se encuentra una posición después. Es decir
- Lo anterior también puede expresarse así: calcular el siguiente número a uno dado es 2 veces este número menos el número 2 posiciones más atrás.
- La suma de los primeros números es igual al número que ocupa la posición menos uno. Es decir
- Otras identidades interesantes incluyen las siguientes:
- Si , entonces para cualquier
- (Identidad de Cassini)
-
Phi forma parte de una expresión de la sucesión de Fibonacci.
- (con φ = número áureo) o, despejando f(n+1) y aplicando 1/φ = φ-1:
- El máximo común divisor de dos números de Fibonacci es otro número de Fibonacci. Más específicamente
- Esto significa que y son primos relativos y que divide exactamente a
- Los números de Fibonacci aparecen al sumar las diagonales del triángulo de Pascal. Es decir que para cualquier ,

- y más aún
- Si , tal que es un número primo, entonces también es un número primo, con una única excepción, ; 3 es un número primo, pero 4 no lo es.
- La suma infinita de los términos de la sucesión es exactamente .
- La suma de diez números Fibonacci consecutivos es siempre 11 veces superior al séptimo número de la serie.
- El último dígito de cada número se repite periódicamente cada 60 números. Los dos últimos, cada 300; a partir de ahí, se repiten cada números.
- Al surgir la sucesión de Fibonacci de la suma de las diagonales del triángulo de Pascal. Se puede caracterizar también a (el número áureo) con base en estas sumas. Representando el límite en el infinito de la razón entre las sumas de las diagonales pares del triángulo y las sumas de las diagonales impares ; de esta forma:
o [9]
Generalización

El concepto fundamental de la sucesión de Fibonacci es que cada elemento es la suma de los dos anteriores. En este sentido la sucesión puede expandirse al conjunto de los números enteros como de manera que la suma de cualesquiera dos números consecutivos es el inmediato siguiente. Para poder definir los índices negativos de la sucesión, se despeja de la ecuación () de donde se obtiene
De esta manera, si es impar y si es par.[10]
La sucesión se puede expandir al campo de los números reales tomando la parte real de la fórmula explícita (ecuación ()) cuando es cualquier número real. La función resultante
tiene las mismas características que la sucesión de Fibonacci:
- para cualquier número real
Una sucesión de Fibonacci generalizada es una sucesión donde
(11) para
Es decir, cada elemento de una sucesión de Fibonacci generalizada es la suma de los dos anteriores, pero no necesariamente comienza en 0 y 1.
Una sucesión de fibonacci generalizada muy importante, es la formada por las potencias del número áureo.
- .
La importancia de esta sucesión reside en el hecho de que se puede expandir directamente al conjunto de los números reales.
- .
...y al de los complejos.
- .
Una característica notable es que, si es una sucesión de Fibonacci generalizada, entonces
Por ejemplo, la ecuación () puede generalizarse a
Esto significa que cualquier cálculo sobre una sucesión de Fibonacci generalizada se puede efectuar usando números de Fibonacci.
Sucesión de Lucas

Un ejemplo de sucesión de Fibonacci generalizada es la sucesión de Lucas, descrita por las ecuaciones
- para
La sucesión de Lucas tiene una gran similitud con la sucesión de Fibonacci y comparte muchas de sus características. Algunas propiedades interesantes incluyen:
- La proporción entre un número de Lucas y su sucesor inmediato se aproxima al número áureo. Es decir
- La fórmula explícita para la sucesión de Lucas es
- La suma de los primeros números de Lucas es el número que se encuentra en la posición menos uno. Es decir
- Cualquier fórmula que contenga un número de Lucas puede expresarse en términos de números de Fibonacci mediante la igualdad
- Cualquier fórmula que contenga un número de Fibonacci puede expresarse en términos de números de Lucas mediante la igualdad
Algoritmos de cálculo

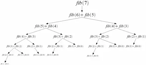
Para calcular el -ésimo elemento de la sucesión de Fibonacci existen varios algoritmos (métodos). Su definición misma puede emplearse como uno de estos algoritmos, aquí expresado en pseudocódigo:
| Algoritmo 1 Versión recursiva descendente (Complejidad ) |
|
función
|
Usando técnicas de análisis de algoritmos es posible demostrar que, a pesar de su simplicidad, el algoritmo requiere efectuar sumas para poder encontrar el resultado. Dado que la sucesión crece tan rápido como , entonces el algoritmo está en el orden de . Es decir, que este algoritmo es muy lento. Por ejemplo, para calcular este algoritmo requiere efectuar 20.365.011.073 sumas.
Para evitar hacer tantas operaciones, es común recurrir a una calculadora y utilizar la ecuación () del matemático Édouard Lucas. Sin embargo, dado que es un número irracional, la única manera de utilizar esta fórmula es empleando una aproximación de , obteniendo en consecuencia un resultado aproximado pero no exacto. Por ejemplo, si se usa una calculadora de 10 dígitos, entonces la fórmula anterior arroja como resultado aun cuando el resultado correcto es . Este error se hace cada vez más grande conforme crece . De igual forma se puede crear una función utilizando la fórmula, muy eficiente, , aunque hay que tener en cuenta algunas consideraciones, cada lenguaje de programación tiene una forma específica de ejecución de las funciones matemáticas, y es probable que se necesite redondear el número obtenido de la ecuación, y en ciertos casos, si el número es muy grande, puede ser impreciso.
| Algoritmo 2 Versión con fórmula explícita () (Complejidad ) |
|
función
|
Otro método más práctico a la recursión, que evita calcular las mismas sumas más de una vez, es la iteración. Considerando un par de números consecutivos de la sucesión de Fibonacci, el siguiente par de la sucesión es , de esta manera se divisa un algoritmo donde solo se requiere considerar dos números consecutivos de la sucesión de Fibonacci en cada paso. Este método es el que se usaría normalmente para hacer el cálculo con lápiz y papel. El algoritmo se expresa en pseudocódigo como:
|
|
|
Estas versiones requieren efectuar solo sumas para calcular , lo cual significa que los métodos iterativos son considerablemente más rápidos que el algoritmo . Por ejemplo, en el algoritmo solo se requiere efectuar 50 sumas para calcular .

Un algoritmo todavía más rápido se deduce partiendo de la ecuación (). Utilizando leyes de exponentes es posible calcular como
De esta manera se divisa el algoritmo de tipo Divide y Vencerás donde solo se requeriría hacer, aproximadamente, multiplicaciones matriciales. Sin embargo, no es necesario almacenar los cuatro valores de cada matriz dado que cada una tiene la forma
De esta manera, cada matriz queda completamente representada por los valores y , y su cuadrado se puede calcular como
Por lo tanto el algoritmo queda como sigue:
| Algoritmo 6 Versión Divide y Vencerás (Complejidad ) |
|
función
|
A pesar de lo engorroso que parezca, este algoritmo permite reducir enormemente el número de operaciones que se necesitan para calcular números de Fibonacci muy grandes. Por ejemplo, para calcular , en vez de hacer las 573.147.844.013.817.084.100 sumas del algoritmo o las 100 sumas con el algoritmo , el cálculo se reduce a tan solo 9 multiplicaciones matriciales.
La sucesión de Fibonacci en la naturaleza
La secuencia de Fibonacci se encuentra en múltiples configuraciones biológicas,[11] donde aparecen números consecutivos de la sucesión, como en la distribución de las ramas de los árboles, la distribución de las hojas en un tallo, los frutos de la piña tropical,[12] las flores de la alcachofa, en las piñas de las coníferas,[13] o en el "árbol genealógico" de las abejas melíferas.[14] Sin embargo, también se han hecho muchas invocaciones infundadas a la aparición de los números de Fibonacci aprovechando su relación con el número áureo en la literatura popular.[15]
Przemysław Prusinkiewicz avanzó la idea de considerar la sucesión de Fibonacci en la naturaleza como un grupo libre.[16]

Un modelo del patrón de distribución de las semillas del girasol fue propuesto por H. Vogel en 1979.[17] Presenta la forma
donde n es el índice de la flor y c es un factor de escala; entonces las semillas se alinean según espirales de Fermat. El ángulo de divergencia, de aproximadamente 137.51°, está relacionado con el número áureo. Debido a que el coeficiente es un número irracional, ninguna semilla tiene ninguna vecina al mismo ángulo respecto al centro, por lo que se compactan eficientemente. Debido a que las aproximaciones racionales al número aúreo son de la forma F(j):F(j + 1), los vecinos más próximos al número de semillas n están todos en n ± F(j) para cada índice j, que depende de r, la distancia al centro. Suele afirmarse que los girasoles y flores similares tienen 55 espirales en una dirección y 89 en la otra (o alguna otra pareja de números adyacentes de la sucesión de Fibonacci), pero esto solo es cierto en ciertos rangos de radio, generalmente raros (y por ello más notables).[18]
El árbol genealógico de las abejas
Los machos de una colmena de abejas tienen un árbol genealógico que cumple con esta sucesión. El hecho es que un zángano (1), el macho de la abeja, no tiene madre, pero sí que tiene una madre (1, 1), dos abuelos, que son los padres de la reina (1, 1, 2), tres bisabuelos, ya que el padre de la reina no tiene padre (1, 1, 2, 3), cinco tatarabuelos (1, 1, 2, 3, 5), ocho tatarabuelos (1, 1, 2, 3, 5, 8) y así sucesivamente, cumpliendo con la sucesión de Fibonacci.
Recientemente, un análisis histórico-matemático acerca del contexto de Leonardo de Pisa y la proximidad de la ciudad de Bejaia, una importante exportadora de cera en los tiempos de Leonardo (de la cual proviene el nombre en francés de esta ciudad, Bougie, que significa «vela»), ha sugerido que fueron los criadores de abejas de Bejaia y el conocimiento de la ascendencia de las abejas lo que inspiró los números de Fibonacci más que el modelo de reproducción de conejos.[19]

Divisibilidad
- Sean n y m enteros positivos. Si el número n es divisible por m entonces el término n-ésimo de Fibonacci es divisible por el término m-ésimo de la misma sucesión. En efecto 4 divide a 12, por tanto el término de orden cuatro, el 3 divide a 144, término de orden 12 en la citada sucesión.[20]
- Cualquiera que sea el entero m, entre los primeros números de Fibonacci habrá al menos uno divisible por m. A modo de ejemplo para m = 4, entre los primeros quince números están 8 y 144, números de Fibonacci, divisibles por 4.[21]
- Si k es un número compuesto diferente de 4, entonces el número k-ésimo de Fibonacci es compuesto.[22] Para el caso 10, compuesto distinto de 4, el décimo número de Fibonacci 55, es compuesto.
- Los números consecutivos de Fibonacci son coprimos entre sí.
La sucesión de Fibonacci en la cultura popular
- Es mencionada en obra Rama II (novela), de Arthur C. Clarke, cuando el personaje Michael O'toole la describe como una referencia para memorizar una larga clave secreta, principalmente por su facilidad de ser extrapolada.
- En el popular anime/manga Jojo's Bizarre Adventure, específicamente en Steel Ball Run, una de las facetas de los protagonistas para que sus poderes se potencien tiene que ver con esto (la sucesión de Fibonacci) y es mencionado como el "Rectángulo dorado" aunque posiblemente no tenga nada que ver con este. Hoy en día la sucesión también es utilizada por quienes estudian trading.[23]
- La banda estadounidense de metal progresivo Tool usa esta secuencia para su canción Lateralus, del álbum homónimo. La sucesión de números puede verse tanto en el número de sílabas en cada línea de la letra y también en el cambio de compás de la canción (que va de 9/8 a 8/8 y luego a 7/8, siendo el número 987 el que está en la posición 17 de la sucesión). La espiral creada por la sucesión también es mencionada en la canción.
Véase también
- Número áureo
- Teselación de Penrose
- Sucesión (matemática)
- Sistema-L
- Espiral logarítmica
- Montículo de Fibonacci
- Identidades de Cassini y Catalan
- Número de Lucas
- Número de Pell
Referencias
- ↑ John Hudson Tiner (2004). Exploring the World of Mathematics: From Ancient Record Keeping to the Latest Advances in Computers. Master Books división de New Leaf Publishing Group. ISBN 9781614581550.
- ↑ «Fibonacci, el matemático que se puso a contar conejos y descubrió la secuencia divina». BBC News Mundo. Consultado el 23 de noviembre de 2021.
- ↑ Singh, Parmanand (1985), «The So-called Fibonacci numbers in ancient and medieval India», Historia Mathematica 12 (3): 229-44, ISSN 0315-0860, doi:10.1016/0315-0860(85)90021-7.
- ↑ Knuth, Donald (1968), The Art of Computer Programming 1, Addison Wesley, ISBN 81-7758-754-4, «Antes de que Fibonacci escribiera su tratado, la secuencia Fn era estudiada en las escuelas de la India, interesados desde hacía mucho color en patrones rítmicos... tanto Gopala (hacia el año 1135) como Hemachandra (hacia 1150) mencionan los números 1,2,3,5,8,13,21 explícitamente [ver P. Singh Historia Math 12 (1985) 229–44]" p. 100 (3d ed)...».
- ↑ Goonatilake, Susantha (1998), Toward a Global Science, Indiana University Press, p. 126, ISBN 978-0-253-33388-9.
- ↑ Agrawala, VS (1969), Pāṇinikālīna Bhāratavarṣa (Hn.). Varanasi-I: TheChowkhamba Vidyabhawan, «SadgurushiShya writes that Pingala was a younger brother of Pāṇini [Agrawala 1969, lb]. There is an alternative opinion that he was a maternal uncle of Pāṇini [Vinayasagar 1965, Preface, 121. ... Agrawala [1969, 463–76], after a careful investigation, in which he considered the views of earlier scholars, has concluded that Pāṇini lived between 480 and 410 BC».
- ↑ Handbook of discrete and combinatorial mathematics, sección 3.1.2
- ↑ Fibonacci Quarterly
- ↑ ForoRinconMatematico
- ↑ Triana, Juan. Negafibonacci numbers via matrices. Bulletin of TICMI, 2019, págs. 19-24.
- ↑ Douady, S; Couder, Y (1996), «Phyllotaxis as a Dynamical Self Organizing Process» (PDF), Journal of Theoretical Biology 178 (178): 255-74, doi:10.1006/jtbi.1996.0026, archivado desde el original el 26 de mayo de 2006, consultado el 27 de agosto de 2015.
- ↑ Jones, Judy; Wilson, William (2006), «Science», An Incomplete Education, Ballantine Books, p. 544, ISBN 978-0-7394-7582-9.
- ↑ Brousseau, A (1969), «Fibonacci Statistics in Conifers», Fibonacci Quarterly (7): 525-32.
- ↑ «Marks for the da Vinci Code: B–». Maths. Computer Science For Fun: CS4FN.
- ↑ Simanek, D. «Fibonacci Flim-Flam». LHUP. Archivado desde el original el 1 de febrero de 2010.
- ↑ Prusinkiewicz, Przemyslaw; Hanan, James (1989), Lindenmayer Systems, Fractals, and Plants (Lecture Notes in Biomathematics), Springer-Verlag, ISBN 0-387-97092-4.
- ↑ Vogel, H (1979), «A better way to construct the sunflower head», Mathematical Biosciences 44 (44): 179-89, doi:10.1016/0025-5564(79)90080-4.
- ↑ Prusinkiewicz, Przemyslaw; Lindenmayer, Aristid (1990), The Algorithmic Beauty of Plants, Springer-Verlag, pp. 101–7, ISBN 978-0-387-97297-8.
- ↑ (en inglés)T.C.Scott; P. Marketos (2014). «On the Origin of the Fibonacci Sequence». MacTutor History of Mathematics archive, University of St Andrews.
- ↑ Vorobiov: Números de Fibonacci, Editorial Mir, Moscú. Esta sección exige que la sucesión empiece con 1 y con 0 (1974)
- ↑ Vorobiov: Ibídem
- ↑ Vorobiov: Op. cit
- ↑ Fabiani, Alessandro (7 de noviembre de 2024). «Perché Fibonacci è così conosciuto e utilizzato da chi fa Trading?». Trading.it (en it-IT). Consultado el 1 de diciembre de 2024.
Bibliografía
- Kolman, Bernard; Hill, David R. (2006). Álgebra Lineal. México: PEARSON EDUCACIÓN. ISBN 970-26-0696-9.
- Johnsonbaugh, Richard (2005). Matemáticas Discretas. México: PEARSON EDUCACIÓN. ISBN 970-26-0637-3.
- Daini, Fabio; Andión, Ricardo (2003). Fibonacci, La Serie Infinita. Madrid: PRETINCE HALL. ISBN 84-89660-00-X.
- Brassard, G; Bratley, P. (1997). Fundamentos de Algoritmia. Madrid: PRETINCE HALL. ISBN 84-89660-00-X.
- Kenneth, H. Rosen (2003). Discrete mathematics and its applications. McGraw Hill. ISBN 0-07-123374-1.
- Kenneth H. Rosen; John G. Michaels (1999). Handbook of discrete and combinatorial mathematics. CRC. ISBN 0-8493-0149-1.
- N. N. Vorobiov (1974). Números de Fibonacci. Editorial Mir, Moscú, Colección Lecciones Populares de Matemáticas. Traducción al español de Carlos Vega, catedrático de Matemática Superior y candidato a doctor en ciencias físico-matemática.
- A. I. Markushevich (1974; 1981). Sucesiones recurrentes. Editorial Mir, Moscú, Colección Lecciones Populares de Matemáticas. Traducción al español de Carlos Vega.
- Luca Pacioli (1946). La Divina Proporción. Editorial Losada, Buenos Aires.
- Hrant Arakelian (2014). Mathematics and History of the Golden Section. Logos, 404 p. ISBN 978-5-98704-663-0, (rus.)
Enlaces externos
Wikimedia Commons alberga una categoría multimedia sobre números de Fibonacci.
Wikilibros alberga un libro o manual sobre implementaciones para generar números de Fibonacci.- Fibonacci's Liber Abaci vista previa en Google Books (en inglés)
- Weisstein, Eric W. «Sucesión de Fibonacci». En Weisstein, Eric W, ed. MathWorld (en inglés). Wolfram Research.