Sputnik V
| Gam-COVID-Vac | ||
|---|---|---|
|
| ||
![]() | ||
| Identificadores | ||
| Número CAS | 2541629-85-8 | |
| Código ATC | J07BN02 | |
| DrugBank | DB15848 | |
| Datos clínicos | ||
| Nombre comercial | Sputnik V | |
| Vías de adm. |
intramuscular aerosol nasal | |
Sputnik V (en ruso: Спутник V), como nombre comercial o Gam-COVID-Vac (en ruso: Гам-КОВИД-Вак, romanizado: Gam-KOVID-Vak), como nombre con el que se registró y se produce legalmente,[1] es una vacuna contra la COVID-19. Fue la primera vacuna contra esta enfermedad registrada en el mundo.[2][3] Se desarrolló en el Centro Nacional de Investigación de Epidemiología y Microbiología Gamaleya y se registró el 11 de agosto de 2020 en Rusia con el número LP-006395 en el registro estatal de medicamentos por el Ministerio de Salud de la Federación Rusa.[1][4][5] Está desarrollada con dos vectores adenovirales humanos diferentes (tipos Ad26 y Ad5) de los que han sido desactivados sus genes reproductivos y que se aplican en dos dosis en un enfoque heterogéneo.[6]
La vacuna fue aprobada por el gobierno ruso basándose en los estudios de fases I y II que fueron publicados el 4 de septiembre en The Lancet.[7] Esta aprobación rápida fue criticada por medios de comunicación y miembros de la comunidad científica de Reino Unido y Alemania.[8][9][10] Sin embargo, el análisis provisional de fase III publicado en The Lancet en febrero de 2021 indicó una eficacia del 91,6 % sin efectos adversos inusuales.[11]
Según el Fondo Ruso de Inversión Directa (RDIF), Rusia había recibido ofertas preliminares para la compra de más de mil millones de dosis de la vacuna de esos países.[12] La distribución masiva de emergencia de la vacuna comenzó en diciembre de 2020 en varios países, incluidos Rusia, Argentina, Bielorrusia, Hungría, Serbia y Emiratos Árabes Unidos. En febrero de 2021, veinte países habían pedido varios millones de dosis de Sputnik V para su distribución inmediata.[13]
La vacuna Sputnik V ha sido autorizada, hasta diciembre de 2022, para el uso de emergencia en setenta y cuatro países. A pesar de ello, algunos de estos países no han llegado a utilizarla entre su población. La población total de los países donde fue aprobada supera los cuatro mil millones de personas. El último país en hacerlo fue Camboya el 31 de octubre de 2021.[14] La Federación Rusa es hasta el momento el único país en haber otorgado la aprobación permanente.[15]
Historia
_%E2%80%93_(01).jpg)
El Centro Nacional de Investigación de Epidemiología y Microbiología Gamaleya que desarrolló la Gam-COVID-Vac fue fundado en 1891. Este centro, cuyo director es Alexander L. Ginzburg, depende del Ministerio de Salud ruso. Creó dos vacunas contra el ébola en 2015 y una vacuna contra el virus MERS usando también la plataforma de vectores adenovirales.[16][17] El desarrollo de la vacuna se realizó conjuntamente con el 48.º Instituto Central de Investigación del Ministerio de Defensa ruso, que se ocupó de las etapas preclínicas y los ensayos clínicos de fase I/II. Entre los dieciocho científicos desarrolladores de la vacuna también se encuentran los directores de estas mismas instituciones: A. L. Gintsburg y Sergei V. Borisevich.[18][19][20] En febrero de 2020 el equipo científico de Denis Y. Logunov, miembro de la Academia de Ciencias rusa, comenzó la investigación de la nueva vacuna. Esta se desarrolló en el Laboratorio de Microbiología Celular del que es director y que forma parte del Departamento de Microbiología Médica del Centro Gamaleya.[21][22]
El 2 de abril de 2020 el Centro de Investigación Gamaleya, hizo público que disponía de una nueva tecnología para adaptar en dos días las vacunas existentes a las nuevas variantes del SARS-CoV-2. La técnica desarrollada sobre la base de vectores adenovirales podía sintetizar en un día una nueva secuencia a partir de la secuencia de la proteína de la espícula cuya estructura primaria era modificada, y al día siguiente incorporarla al vector utilizado.[23] La secuenciación fue conseguida en dos semanas al partirse de una base vacunal ya conocida previamente y haber sido publicado el código genético del coronavirus por China.[24][25] El 20 de abril de 2020 se obtuvieron los primeros resultados de la vacuna. Para adaptar la fábrica de vacunas que forma parte del Centro Gamaleya, completar el desarrollo y llevar los ensayos clínicos a la segunda fase hacían falta mil quinientos millones de rublos (aproximadamente diecisiete millones de euros), cantidad muy pequeña comparada con las inversiones de las farmacéuticas occidentales.[26][27] En mayo de 2020, el Centro Gamaleya anunció que había completado el desarrollo de la vacuna. Los ensayos preliminares en humanos comenzaron el 18 de junio y finalizaron el 3 de agosto de 2020.[7]
La vacuna recibió el nombre comercial Sputnik V (V por vacuna),[28][29] en honor al satélite artificial soviético Sputnik 1. Sputnik en español significa «compañero de viaje». La letra final V añadida a Sputnik no representa el número romano cinco, sino la letra V. El Fondo Ruso de Inversión Directa, afirmó que representa la palabra vacuna y su equivalente en otras lenguas. La interpretación alternativa de la V como V de victoria, tiene origen en el acto de entrega del primer lote de la vacuna entregada en Argentina el 24 de diciembre del 2020. La expresión fue pronunciada por Kirill Dmítriev, jefe del Fondo Ruso de Inversión Directa.[30][31][32]
El 11 de agosto de 2020, el ministro de Salud ruso Mijaíl Murashko anunció en una reunión con Vladímir Putin la aprobación de la vacuna. La vacuna fue registrada de forma condicional, no estando autorizado su uso masivo en Rusia hasta el 1 de enero de 2021. Hasta esa fecha solo podía ser provista a un número pequeño de ciudadanos de grupos vulnerables, como el personal médico y los ancianos.[33] Aunque el anuncio fue realizado antes de que la vacuna ingresara a fase III, esta práctica de aprobaciones condicionales también existe en otros países.[34][35] El 14 de diciembre de 2020, el Centro Gamaleya publicó datos sobre 22 714 participantes en los ensayos de fase III.[36]
El 17 de diciembre, el presidente Vladímir Putin dijo: «Los expertos nos dicen que las vacunas que entran en la circulación civil se proporcionen a ciudadanos de una determinada edad; aún no han llegado a gente como yo».[37][38] Estas declaraciones causaron gran revuelo. Se aclaró que, para elevar el límite superior de edad, los desarrolladores de la vacuna estaban realizando ensayos clínicos adicionales con voluntarios de más de sesenta años, que estaban mostrando buenos resultados preliminares. Carla Vizzotti, del Ministerio de Salud argentino, sobre la demora de aprobación para la aplicación en adultos mayores, dijo que «Los ensayos clínicos en las vacunas y en la industria farmacéutica siempre se van desarrollando y analizando por grupos y hasta ahora la recomendación de utilización era hasta los sesenta años».[39] Estos estudios estaban llegando a su fin y el ministro de Salud de Rusia también instó a las autoridades sanitarias del país a prepararse para vacunar a la mayor cantidad de adultos mayores y personas con diabetes.[40] Tras concluir satisfactoriamente los estudios clínicos en mayores de sesenta años y ser aprobados por el Ministerio de Salud ruso el 27 de diciembre de 2020, ese mismo día Vladímir Putin aceptó vacunarse con Sputnik V, aunque no lo hizo hasta el 23 de marzo de 2021.[41] No se especificó con cuál de las tres vacunas nacionales lo hizo.[42] El 30 de junio de 2021, el presidente ruso dijo que la vacuna que recibió fue Sputnik V, sin que hubiese más detalles o imágenes de la inoculación, recomendó la vacunación pero no reveló el nombre de la vacuna utilizada, para no darle al producto una ventaja competitiva.[43]
El presidente ruso otorgó el 12 de junio de 2021 premios estatales a los científicos que desarrollaron la vacuna insignia del país, la Sputnik V. Fueron otorgados al director del Centro de Investigación de Epidemiología y Microbiología Gamaleya, Alexander Gintsburg, al director Adjunto del Centro de Investigación, Denis Logunov, y al epidemiólogo y director del 48º Instituto Central de Investigaciones del Ministerio de Defensa ruso, Sergey Borisevich.[44] En junio de 2022 Denis Logunov fue elegido nuevo miembro de la Academia Rusa de Ciencias.[45]
El 4 de febrero de 2022, el ministro de Salud, Mijaíl Murashko, señaló que la vacuna había superado todas las etapas de los ensayos clínicos por lo que Sputnik V recibió el registro permanente en Rusia. Hasta entonces había tenido una autorización temporal de uso de emergencia por parte del regulador ruso.[46][47]
La financiación y gestión integral de la vacuna Sputnik V se lleva a cabo por el Fondo Ruso de Inversión Directa RDIF. Es un fondo de inversión del gobierno ruso para coinvertir en proyectos de interés para la economía rusa. Financió el desarrollo y los ensayos clínicos de la vacuna Sputnik V y continúa siendo el responsable de su producción y distribución a gran escala en asociación con otros países.[48][49]
- Intentos de acceso o robo de datos de la vacuna
Desde el inicio de la carrera de las vacunas hubo acusaciones de intentos de acceso o robo informático de avances científicos entre algunos países. En julio de 2020, The New York Times publicó que piratas informáticos rusos intentaron robar la investigación de la vacuna a estadounidenses, británicos y canadienses. La Agencia de Seguridad Nacional dijo que un grupo de 'hackers' había estado tratando de robar inteligencia sobre vacunas de universidades, empresas y otras organizaciones de atención médica. Según esta agencia estadounidense, el grupo está asociado con la inteligencia rusa y es conocido como APT29 o Cozy Bear. Sin embargo, la atribución de tales ataques era imprecisa y Rusia negó su responsabilidad.[50]
El Centro Nacional de Seguridad Cibernética del Reino Unido (NCSC) también dijo que los piratas informáticos, casi con certeza, operaban como parte de los servicios de inteligencia rusos aunque la investigación de vacunas no se había visto obstaculizada. Rusia negó su responsabilidad y afirmó que no tenían información sobre quién pudo haber sido. Comprender la investigación de vacunas y otros detalles sobre la pandemia se había convertido en un objetivo principal para las agencias de inteligencia de todo el mundo. El secretario de Relaciones Exteriores del Reino Unido dijo que era completamente inaceptable que los servicios de inteligencia rusos estuvieran apuntando a quienes trabajaban para combatir la pandemia.[51]
También la contraparte rusa dijo haber sufrido lo mismo de lo que se les acusaba. El 17 de julio de 2020, el director del Centro Gamaleya dijo que la tecnología que estaban usando había sido patentada, era única y por sus parámetros superaba las capacidades de productos similares que se estaban creando en Occidente. Lo más probable era que su plan de inmunización sería lo que alguien querría copiar y que con mucho gusto compartirían con sus colegas los secretos que tenían para proteger a la población mundial.[52] Los servidores del Centro Gamaleya fueron atacados por 'hackers' durante el desarrollo de la vacuna Sputnik V.[53] En marzo de 2021 Rusia sospechaba que una empresa de Estados Unidos estaba violando la patente de Sputnik V. Tras notificar el asunto, el director del RDIF, Kiril Dmítriev aseguró que deseaban iniciar un diálogo con esa firma y que la parte rusa se tomaba en serio sus derechos intelectuales por la fuerte protección de patente que tenía la Sputnik V debido a que fue la primera en ser registrada.[54]
Investigación clínica
Ensayos preclínicos
En el 48.º Instituto Central de Investigaciones del Ministerio de Defensa ruso, dirigido por Sergey Borisevich, se llevaron a cabo las pruebas preclínicas de la Sputnik V. Las investigaciones comenzaron en abril de 2020 con una investigación teórica previa. Los estudios preclínicos incluyeron experimentos significativos en términos de tiempo, número de animales y número de personal involucrado. Se investigó la toxicidad, seguridad, inmunogenicidad y eficacia protectora en animales grandes y pequeños. Las pruebas se realizaron en dos especies de mamíferos sensibles a enfermedades virales inducidas: el hámster sirio dorado y dos especies de primates. En los estudios preclínicos, con datos no publicados, se generó una sólida respuesta inmune humoral y celular en primates, que proporcionó protección contra el SARS-CoV-2. La vacuna mostró un 100 % de protección en un modelo letal de desafío (exposición directa del sujeto al virus) en hámsteres inmunodeprimidos. No se observó ningún aumento de la infección dependiente de anticuerpos en los animales vacunados. Entre el personal del Instituto, que se ofreció voluntariamente para participar en los posteriores ensayos clínicos, solo ocho empleados fueron aceptados. Además se seleccionaron a 50 militares profesionales de diferentes unidades, incluyendo cinco mujeres. La edad media fue de 29 años. El 1 de junio se completaron los estudios preclínicos experimentales de la vacuna.[55][56]
Fase I-II
Los ensayos de fase I y II se realizaron en dos hospitales en Rusia, entre el 18 de junio y el 3 de agosto de 2020. Se ensayaron independientemente dos formatos distintos de la vacuna con 76 participantes en los dos estudios (38 en cada estudio). Los estudios consistían en ensayar el formato líquido de la vacuna (Gam-COVID-Vac, ensayo NCT04436471) y en el otro la versión liofilizada (Gam-COVID-Vac-Lyo, ensayo NCT04437875). En cada estudio, nueve voluntarios recibieron adenovirus Ad26 recombinante en la fase I, nueve recibieron adenovirus Ad5 recombinante en la fase I y 20 recibieron adenovirus Ad26 y Ad5 recombinante en la fase II. Las limitaciones de los estudios incluían la corta duración del seguimiento (42 días), la inclusión solo de voluntarios masculinos en algunas partes de la fase I, el bajo número de participantes (n=76) y la ausencia de placebo o vacuna de control. En general, el estudio incluyó voluntarios bastante jóvenes. Ambas formulaciones de vacunas son seguras y bien toleradas. La mayoría de los eventos adversos fueron leves y no fueron detectados eventos adversos graves. Todos los participantes produjeron anticuerpos contra la glicoproteína SARS-CoV-2. En el día 42, los títulos de IgG fueron 14 703 con la formulación congelada y de 11 143 con la formulación liofilizada, y los anticuerpos neutralizantes fueron 49,25 con la formulación congelada y 45,95 con la formulación liofilizada, con una tasa de seroconversión del 100 %. Las respuestas mediadas por células, fueron detectados en todos los participantes en el día 28. El estudio de Gam-COVID-Vac (Sputnik V) se realizó en una sucursal del Hospital Burdenko en Moscú, una agencia del Ministerio de Defensa. En ese estudio participaron voluntarios civiles y militares. El personal militar eran empleados por contrato (no individuos reclutados para el servicio militar obligatorio). El estudio de Gam-COVID-Vac-Lyo se llevó a cabo en la Universidad de Sechenov en Moscú y todos los voluntarios en ese estudio eran civiles. Todos los participantes proporcionaron su consentimiento informado por escrito. Los dos estudios fueron revisados y aprobados por las autoridades competentes nacionales y locales correspondientes, incluido el regulador (Departamento de Regulación Estatal para la Distribución de Medicamentos, aprobaciones n.os 241 y 242) y el comité de ética del Ministerio de Salud.[8] El 4 de septiembre de 2020 se publicaron los resultados del ensayo de fase I-II sobre 76 participantes, mostrando evidencia preliminar de seguridad y respuesta inmune.[7]
Fase III

Desarrollo
El 25 de agosto de 2020 el Ministerio de Salud ruso emitió el permiso para realizar los ensayos clínicos de fase III, después de haber sido previamente registrada la vacuna. Según este registro del ensayo, con el número 450, la finalización de las fases III y IV estaba programada para el 31 de diciembre de 2022.[57]
Se hizo un ensayo clínico aleatorizado, doble ciego, controlado con placebo y multicentro, para determinar en paralelo la eficacia, seguridad e inmunogenicidad de la vacuna de vector combinado Gam-COVID-Vac (Sputnik V) que involucró a 40 000 voluntarios en Moscú. Se estimaba que se extendería hasta mayo de 2021. El ensayo está registrado en ClinicalTrial.gov.[58][59]
Se incluyeron participantes de al menos 18 años, con pruebas de PCR, IgG e IgM negativas para SARS-CoV-2, sin enfermedades infecciosas en los 14 días anteriores a la inscripción y sin otras vacunas en los 30 días anteriores. Se asignaron al azar en proporción 3 a 1 para recibir vacuna o placebo, con estratificación por grupo de edad. Los investigadores, los participantes y todo el personal del estudio no conocían la asignación de grupos (cegamiento de la asignación). La vacuna se administró (0,5 mL/dosis) por vía intramuscular en régimen de inducción-refuerzo: un intervalo de 21 días entre la primera dosis (adenovirus Ad26 recombinante) y la segunda dosis (adenovirus Ad5 recombinante). El resultado primario fue la proporción de participantes que adquirieron el coronavirus de la COVID-19 confirmado por PCR desde el día 21 después de recibir la primera dosis. El ensayo comenzó el 7 de septiembre de 2020 y el corte de datos para el análisis se realizó el 24 de noviembre de 2020. La vacunación de los participantes en la tercera fase del ensayo finalizó en diciembre de 2020 y serían objeto de seguimiento durante 180 días.[11]
Resultados
El 2 de febrero de 2021, un análisis interino del ensayo realizado en Moscú y publicado en The Lancet mostró una eficacia del 91,6 % (95 % CI 85,6-95,2) después de la segunda dosis, sin efectos adversos inusuales. El grupo de mayores de 60 años (el paciente de mayor edad tenía 87) tuvo una eficacia muy parecida a de la población general (91,8 %). La cifra se basaba en el análisis de datos de 19 866 voluntarios que recibieron la primera y la segunda dosis de la vacuna o el placebo en el punto de control final con 78 casos confirmados de COVID-19. De estos casos 62 estaban en el grupo de placebo y 16 en el grupo de la vacuna. La eficacia de la vacuna fue validada por datos revisados por pares internacionales publicados en The Lancet. Sputnik V brinda protección total contra casos graves de COVID-19. Garantiza una respuesta inmunitaria humoral robusta (anticuerpos que son la primera línea de defensa) y mediada por células (protección a largo plazo). Los resultados del ensayo clínico de fase III demostraron altos niveles de seguridad e inmunogenicidad de Sputnik V, incluido el grupo de edad avanzada. El nivel de anticuerpos neutralizantes del virus de los voluntarios vacunados es 1,3-1,5 veces mayor que el nivel de anticuerpos de los pacientes que se recuperaron de COVID-19. Más del 98 % de los voluntarios del grupo vacunado desarrollaron una respuesta inmunitaria humoral y un 100 % de respuesta inmunitaria celular. La vacuna mostró un excelente perfil de seguridad.La mayoría de los eventos adversos (94 %) fueron leves e incluyeron síndromes gripales, reacciones en el lugar de la inyección, dolor de cabeza y astenia. Ningún evento adverso grave se asoció con la vacunación, según lo confirmado por el comité independiente de monitoreo de datos (CIMD). No hubo alergias fuertes ni shock anafiláctico.[11] La tasa general de las reacciones observadas fue de solo un 0,27 %, menos de la mitad y menos que un tercio de las dos vacunas más inyectadas en Occidente (0,58 % y 0,97 % respectivamente).[60]
Otros países participantes
En los ensayos clínicos de fase III participaron más de 31 000 personas en Rusia y Bielorrusia. Otros países también se unieron al ensayo a nivel local o planificaron hacerlo: Israel, Venezuela, Emiratos Árabes Unidos, India, Arabia Saudita y Brasil.
- Bielorrusia
En 2020-2021, se realizaron estudios de fase III de la vacuna en Bielorrusia con 100 personas.[61][62]
- Israel
En agosto de 2020 el Centro Médico Hadassah israelí estaba en negociaciones para participar en el ensayo de fase III de Sputnik V. A comienzos de noviembre, el director del Centro Hadassah, Zeev Rotstein, declaró que la sede en Moscú del Centro ya estaba participando del ensayo clínico de fase III.[63][64]
- Venezuela
En octubre de 2020 el ministro de Salud, Carlos Alvarado, informó que la fase III de los ensayos clínicos de la vacuna en Venezuela comenzaría en Caracas con 2000 voluntarios venezolanos. La llegada del primer lote de la vacuna se catalogó como histórica. Venezuela fue el primer país del hemisferio occidental en participar en la fase III de los ensayos clínicos de Sputnik V.[65][66]
- Emiratos Árabes Unidos
En enero de 2021, Emiratos Árabes Unidos comenzó a participar en los ensayos de fase III de la vacuna con participantes voluntarios.[67]
- India
El 13 de abril de 2021, el ente regulador indio autorizó a los laboratorios Dr. Reddy's para realizar los ensayos de fase III. Se llevaron a cabo con 1500 sujetos en la India. Se vio que los datos de seguridad e inmunogenicidad del ensayo local eran similares a los obtenidos en el ensayo realizado en Rusia.[68][69]
- Arabia Saudita
Arabia Saudita participó en ensayos clínicos de fases previas con 38 y 100 personas respectivamente. En julio de 2020 el Fondo Ruso de Inversión Directa, dijo que el reino saudí podría ser parte de los ensayos de fase III, que involucraría a miles de personas y que se esperaba que comenzasen en agosto.[70]
- Brasil
En octubre de 2020 el estado brasileño de Bahía firmó un acuerdo para realizar ensayos clínicos de fase III de Sputnik V, sin conocerse cuándo podrían comenzar dichas pruebas. Una portavoz del regulador Anvisa dijo que no se había presentado solicitud de aprobación para probar la vacuna. Este ensayo debería empezar en noviembre y durar hasta enero o febrero.[71]
Ensayos posteriores
Ensayos de colaboración Sputnik V-AstraZeneca
Sputnik V destacó por ser la única vacuna para la COVID-19 hasta al menos enero de 2023, con un concepto de vacuna heteróloga para tener mayor eficacia contra la COVID-19. También fue la primera vacuna en desarrollar la combinación con la Covishield o AZD1222 de Oxford-Astrazeneca. Debido a las bajas tasas de eficiencia de algunas vacunas y a las nuevas variantes, este diseño estaba cobrando importancia en el ámbito científico y está siendo considerada en otros países.[72][73]
El uso de la vacuna Sputnik V como segunda dosis para la vacuna de AstraZeneca, elimina la necesidad de esperar tres meses a la segunda dosis de la misma vacuna.[74] El 11 de diciembre AstraZeneca inicia el programa para evaluar combinaciones de vacunas. La empresa aceptó la propuesta del Centro Gamaleya y el Fondo de Inversión Directa ruso junto con la empresa rusa R-Pharm colaborarán para estudiar la posible combinación de ambos medicamentos. AstraZeneca anunció que comenzaría a reclutar personas mayores de 18 años para participar en los ensayos clínicos.[75] El 21 de diciembre de 2020, firmaron un acuerdo para el desarrollo y la implementación de un estudio clínico para evaluar la inmunogenicidad y seguridad del uso combinado de ambas vacunas.[76] El estudio duraría al menos seis meses en varios países. El 8 de febrero de 2021, el ministro de Salud de Azerbaiyán autorizó los estudios en su país que comenzarían a finales de ese mes.[77][78] El 24 de diciembre se publicó la ficha de los ensayos clínicos de fase I y fase II con identificador: NCT04684446. Fue el primer acuerdo de cooperación del mundo entre fabricantes de vacunas para la COVID-19.[79] El ensayo constaba de dos brazos, sin placebo, donde se inyecta a un grupo la vacuna de AstraZeneca en la primera dosis y veintinueve días más tarde el primer componente de Sputnik V (el vector Ad26) y al otro grupo lo mismo con el orden invertido.[80][81] El 31 de diciembre el director del Centro Gamaleya afirmó que las vacunas de AstraZeneca y Sputnik V combinadas podrían generar una inmunidad de dos años.[82]
El 28 de mayo de 2021 el Comité de Ética del Ministerio de Salud ruso rechazó la propuesta para el estudio de la combinación de las vacunas AstraZeneca y Sputnik V, debido a la falta de documentos y datos necesarios para evaluar aspectos éticos y clínicos de la investigación, así como para caracterizar su eficacia y seguridad. El Ministerio de Salud ruso pidió a Astrazeneca información sobre los ensayos. El estudio se iba a realizar en Bielorrusia y en seis centros en Rusia, por lo que lo que en junio de 2021 aún no había comenzado el reclutamiento de voluntarios para el estudio. La compañía AstraZeneca sería la patrocinadora y R-Pharm, el Fondo de Inversión Directa de Rusia (RDIF) y el Centro Nacional de Investigación de Epidemiología y Microbiología de Gamaleya figuraban como coautores del estudio. Irina Panarina, directora general de AstraZeneca en Rusia y Eurasia, dijo que la decisión no significaba que los ensayos no fueran aprobados o prohibidos definitivamente.[83][84] Finalmente, el 26 de julio de 2021 se aprobó la investigación conjunta de la combinación de las vacunas, pero utilizando la versión monodosis Sputnik Light y la vacuna de AstraZeneca. El director del Centro Gamaleya creía que las células de memoria resultantes del uso de esta vacuna híbrida estarían mucho mejor formadas protegiendo a la persona vacunada al menos durante dos años. El objetivo del estudio clínico era estudiar la seguridad e inmunogenicidad de la combinación de AZD1222 (vacuna AstraZeneca) y adenovirus Ad26 recombinante (Sputnik Light), administradas por vía intramuscular de acuerdo con el esquema heterólogo. Los estudios de fase I y II se realizarían hasta el 2 de marzo de 2022 con ciento cincuenta participantes en cinco distintas organizaciones médicas.[85][86]
El 30 de julio de 2021 en Azerbaiyán se anunciaron resultados sobre la seguridad del primer estudio clínico en el mundo sobre el uso combinado de la vacuna AstraZeneca y el primer componente de la vacuna Sputnik V (Sputnik Light). Los estudios habían comenzado en febrero de 2021. El análisis preliminar de los datos demostraba altos índices de seguridad; no había efectos adversos graves, ni tampoco casos de contagios después de la vacunación. Además de Azerbaiyán, se estaba llevando a cabo la vacunación mixta en voluntarios de los Emiratos Árabes Unidos, Argentina y se había obtenido la aprobación por parte de los reguladores para realizar investigaciones en Rusia y Bielorrusia.[87][88]
En julio de 2021, Argentina estaba en fase de estudio de la combinación de las vacunas Sputnik V, AstraZeneca y otras de su repertorio.[89] Los resultados preliminares de la investigación de seguridad sobre las combinaciones con la vacuna Sputnik V no reportaron ningún evento adverso grave. Se informó de febrícula, dolor en la espalda y en la zona de aplicación. La investigación se basó en tres cohortes de cien voluntarios.[90] Finalmente, el 5 de agosto de 2021, el RDIF anunció los resultados iniciales de seguridad del estudio para evaluar la respuesta y la seguridad de la combinación heterogénea del primer componente de la vacuna Sputnik V y vacunas producidas por AstraZeneca, Sinopharm y Moderna en Argentina. Los datos demostraron la seguridad en la combinación de Sputnik Light con otras vacunas así como la vacunación con dos inyecciones de solo Sputnik V mostrando un alto perfil de seguridad sin eventos adversos graves posteriores.[91] El 14 de febrero de 2022 se actualizaron los datos de los ensayos clínicos de fase II del uso combinado de las vacunas Sputnik Light y AstraZeneca. Participaron cien voluntarios de Rusia y cien de Azerbaiyán que fueron seguidos durante cincuenta y siete días. Se demostró un perfil de seguridad aceptable y no se registraron eventos adversos graves relacionados con la vacunación. Los datos preliminares del uso combinado de las vacunas Sputnik Light y AstraZeneca confirman la conveniencia de utilizar diferentes fármacos durante la revacunación ya que podrían proporcionar una protección segura, eficaz y a largo plazo. La OMS estima que la intercambiabilidad de diferentes vacunas permitirá una mayor flexibilidad en los programas de vacunación.[92][93] En marzo de 2022 el Ministerio de Salud ruso extendió el período de ensayos clínicos de la combinación de AstraZeneca y Sputnik Light en Rusia hasta el 31 de mayo de ese año aunque estaban originalmente programados para completarse el 2 de marzo de 2022.[94]
Ensayos en mayores de 60
En septiembre de 2020 varios miembros del Centro Gamaleya, de entre 70 y 80 años, probaron la vacuna Sputnik V. Se vacunaron unas diez o quince personas y todos estaban sanos y activos, seguían con su trabajo y podían hacer deporte. El propio director del Centro, microbiólogo de 68 años, también se vacunó y se sentía bien.[95] El 16 de octubre de 2020 Rusia comenzó a probar la vacuna en voluntarios de más de sesenta años en los ensayos de fase III. El estudio tenía como fin ampliar las posibilidades de aplicación del fármaco en la población de mayor edad.[96] El 31 de octubre el jefe de investigación clínica de Sputnik V reveló la actuación de la vacuna en los voluntarios de más de 60 años. No notaron ninguna reacción indeseable, al menos en el primer grupo de pacientes: no se observaron reacciones cutáneas, aumento de temperatura o un estado pregripal. El estudio clínico de la vacuna en el grupo de personas mayores solo se llevó a cabo en el Hospital Clínico Central para controlar el proceso. Se planeó incluir a ciento diez personas en los estudios. El primer grupo de veintiocho participantes fue hospitalizado y recibió una dosis de la vacuna. No podían participar personas con cáncer, terapias inmunosupresoras, hepatitis viral, o que hayan sufrido un infarto agudo de miocardio o un accidente cerebrovascular agudo reciente. Los pacientes con reacciones alérgicas también se excluyeron, pero aquellos con diabetes y otras enfermedades sistémicas podían participar. Por razones de seguridad hospitalizaron a los participantes del estudio dos veces: la primera durante seis días, y dos semanas después son hospitalizados nuevamente durante tres días para recibir una segunda dosis. Durante seis meses, los médicos observarían su estado de salud.[97][98]
Composición
El componente I contiene:
- Principio activo: partículas adenovirales recombinantes del serotipo 26, que ha sido modificado para contener el gen de la proteína S del virus SARS-CoV-2, en una cantidad de (1,0 ±0,5) x 1011 partículas/dosis.
El componente II contiene:
- Principio activo: partículas adenovirales recombinantes del serotipo 5, que ha sido modificado para contener el gen de la proteína S del virus SARS-CoV-2, en una cantidad de (1,0 ±0,5) x 1011 partículas/dosis.
Los otros ingredientes (excipientes) son los mismos, cualitativa y cuantitativamente, en ambos componentes:[99]
- Tris (hidroximetil) aminometano: 1,21 mg
- Cloruro de sodio: 2,19 mg
- Sacarosa: 25,0 mg
- Cloruro de magnesio hexahidrato: 102,0 μg
- EDTA disódico dihidrato: 19,0 μg
- Polisorbato 80: 250 μg
- Etanol 95 %: 2,5 μL
- Agua para inyectables: 0,5 mL
La variante liofilizada de la vacuna Sputnik V (Gam-COVID-Vac-Lyo) usa los mismos vectores a la misma concentración que la forma líquida, pero los excipientes son parcialmente diferentes:
- Tris (hidroximetil) aminometano: 0,24 mg
- Cloruro de sodio: 1,40 mg
- Sacarosa: 73,5 mg
- Cloruro de magnesio hexahidrato: 20,4 μg
- EDTA sal disódica sal dihidrato: 3,8 μg
- Polisorbato 80: 50 μg
- Etanol 95 %: no utiliza
- Agua para inyectables: 1,0 mL (se usa para diluir antes de la aplicación)
La versión de la vacuna de una sola dosis, Sputnik Light usa como único vector el mismo del Componente I de la Sputnik V, es decir el del serotipo 26 en misma concentración: (1,0 ±0,5) x 1011 partículas/dosis y exactamente los mismos excipientes y en la misma concentración.[100]
Nuevas versiones de Sputnik V
Sputnik Light
La vacuna Sputnik Light es una vacuna monodosis basada en la vacuna Sputnik V original. Su propósito es vacunar a un mayor número de personas en un período más corto y también como refuerzo de otras vacunas distintas aprovechando las ventajas de la vacunación heteróloga. Sputnik Light tiene una eficacia declarada del 79,4 %. En Argentina se destacó, en febrero de 2023, que su eficacia protectora fue del 80 % y con respuesta eficaz a la variante ómicron. Requiere de una cadena de frío a una temperatura de congelación de −18 °C o menor en todas las etapas de almacenamiento y transporte desde el momento de la producción hasta el momento de su uso. Su duración bajo condiciones de conservación es de doce meses a partir de la fecha de producción.[101][102]
Sputnik presentación en aerosol nasal
En 2021 científicos del Centro Nacional de Investigación de Epidemiología y Microbiología Gamaleya, desarrollaron una nueva versión de la vacuna en forma de gotas nasales.[103] En agosto de 2021 finalizaron los estudios preclínicos y el 12 de octubre se aprobó la realización de ensayos clínicos de fase II de la vacuna Gam-COVID-Vac nasal, aunque no se consiguió que los reguladores aprobaran un programa de prueba reducido para esta versión.[104] En la fase inicial de los ensayos, en enero de 2022, participaron cinco estudiantes voluntarios de la Universidad Séchenov. La primera en recibir la variante nasal, fue la estudiante de medicina Victoria Vorsina. Durante seis semanas, cien personas voluntarias más se sometieron, un mes más tarde, a la vacuna nasal y más de la mitad de ellas no presentaron efectos secundarios.[105] Se puede usar simultáneamente con la vacuna Sputnik Light de un solo componente. En diciembre de 2021 se estaban completando los ensayos clínicos de fase II.[106]
El 31 de marzo de 2022 el Ministerio de Salud ruso registró la forma nasal de la vacuna Sputnik V con el n° LP-008005.[107] Esta versión de la vacuna, al igual que la original, consta de dos componentes de vectores adenovirales de tipo 26 y tipo 5 y se administra mediante una boquilla rociadora especial en la cavidad nasal con un intervalo de tres semanas en dos dosis y tiene una caducidad de un año a -18 °C. La administración nasal de la vacuna forma una respuesta inmune humoral y celular a la infección causada por el virus. Se creía que también sería eficiente contra la nueva cepa ómicron. Durante la etapa de ensayos de fase II, se permitía el uso solo en personas mayores de 18 años. Se planeó incluir la vacuna nasal en las recomendaciones para la revacunación contra el COVID-19. En los estudios clínicos realizados sobre seguridad, tolerabilidad e inmunogenicidad, cuando era administrada por vía nasal, se demostró un nivel muy alto de seguridad: síntomas leves generales a corto plazo y eventos locales (molestias en la cavidad nasal y garganta, hinchazón e hiperemia de la mucosa nasal).[108] Al provocar respuestas inmunitarias donde el SARS-CoV-2 ingresa por primera vez al cuerpo las vacunas mucosas podrían, en teoría, prevenir casos leves de enfermedad y bloquear la transmisión a otras personas. Estas vacunas podrían producir inmunidad esterilizante, algo que las inyecciones no han podido hacer.[109] A finales de abril de 2022 se esperaba comenzar la tercera etapa de los ensayos clínicos de la vacuna nasal. En el estudio participarían quinientos voluntarios adultos y duraría hasta diciembre de 2023.[110][111] El 14 de abril de 2022 el director del Centro Gamaleya comunicó que los estudios clínicos posteriores al registro comenzarían en dos semanas. Los ensayos de fase III de la forma nasal de Sputnik V podrían demostrar que después de la vacunación la persona tendría inmunidad estéril.[112]
En agosto de 2022 comenzó en la ciudad rusa de Kursk la vacunación con la versión nasal.[113] Aunque fue la primera vacuna nasal registrada en el mundo contra el COVID-19, otras vacunas no inyectables se desarrollaron y utilizaron en fechas cercanas en China, India e Irán.[114] En octubre se entregaron en hospitales de Udmurtia boquilllas para la vacuna nasal Sputnik suficientes para veinte mil habitantes.[115] La vacuna nasal también estuvo disponible en varios puntos de vacunación en Moscú. La revacunación era posible después de seis meses, además de recomendarse la vacunación con una vacuna nasal seis meses después de sufrir COVID-19.[116] La vacuna nasal desarrolla inmunidad al coronavirus después de catorce días y protege contra un curso severo de la enfermedad y la muerte.[117] En noviembre de 2022 el Centro Gamaleya esperaba completar todos los ensayos clínicos para la fabricación masiva de la vacuna nasal en los centros de producción de Generium, Binnopharm, Biocad y R-Pharm.[118]
Sputnik para niños y adolescentes
- Gam-COVID-Vac-M (12-17 años)
En 2021 se creó una nueva versión de Sputnik V llamada Gam-COVID-Vac M o Sputnik M. Es una vacuna diseñada para aplicar a adolescentes de entre 12 y 17 años. Difiere de la Sputnik V solo en su dosis, ya que en lugar de (1,0 ±0,5) x 1011 de partículas virales la dosis de Sputnik M es cinco veces menor. La vacuna induce la formación de respuesta inmune celular y humoral a la infección de coronavirus. La inmunización con Gam-COVID-Vac M moduló la inmunidad en el 93,2 % de los voluntarios.[119][120] Esta versión contiene una sustancia activa igual a la de la vacuna original. Consta de dos dosis de 0,5 mL para inyección intramuscular que se presenta congelada. Tanto el componente I (serotipo 26) y el II (serotipo 5) se componen de partículas adenovirales recombinantes que contienen el gen de la proteína S del virus SARS-CoV-2 en (2,0 ±1,5) × 1010 partículas por dosis. Los excipientes son exactamente los mismos que en la vacuna original.[121]
El 5 de junio comenzaron en Moscú los ensayos preclínicos y clínicos de fase I y II de esta vacuna.[122] En total, se vacunaron cincuenta niños de entre 12 a 17 años, sin registrarse complicaciones locales ni generales.[123] El 24 de septiembre de 2021 se registró la vacuna Sputnik M para niños de 12 a 17 años. La vacuna podría estar disponible a partir de finales de diciembre de 2021.[124] En enero de 2022, Sputnik M entró en la tercera etapa de ensayos clínicos. El único efecto secundario de este medicamento fue un ligero aumento de la temperatura, hasta un máximo de 37,4 °C. Todavía no se conocen los efectos a largo plazo, pero se cree que esta variante para adolescentes no produce miocarditis y que esta fórmula era tan eficaz contra la variante ómicron como lo es la versión original.[125][126] A finales de mayo de 2022 las pruebas preliminares con Sputnik M demostraron la efectividad y seguridad de la vacuna. En estos ensayos participaron hasta 1500 adolescentes sin mostrar reacciones adversas graves. Solo en casos aislados se observaron reacciones menores: un ligero aumento de la temperatura, fatiga y dolor en el lugar de la inyección de duración de hasta un día.[127]
- Gam-COVID-Vac-D (6-11 años)
En diciembre de 2021 se solicitó el permiso para la realización de ensayos clínicos de la vacuna para la franja de niños de 6 a 11 años,[128] que fueron aprobados el 24 de enero de 2022. Finalmente el 3 de junio de 2022 comenzaron los ensayos clínicos. El gobierno asignó 305,5 millones de rublos (aproximadamente 3,4 millones de euros) al Centro Gamaleya para los estudios de inmunización de niños de 6 a 11 años.[129] Esta variante de la vacuna, no tendría que registrarse de modo independiente a la usada en la franja de 12 a 17 años si se demostrara la validez de la concentración final de la Sputnik V original de 1 a 5. Solo se ampliarían las instrucciones de la vacuna ya que el registro sería más rápido debido a que esta concentración ya se recomendaba para niños de mayor edad. Para comprobar que concentración era la adecuada se les administró a los niños la vacuna en las concentraciones de 1 a 5 y de 1 a 10. Los primeros quince niños que recibieron el medicamento en una dosis de 1 a 10 de la de adulto se sintieron bien excepto por un ligero aumento de la temperatura. Para este grupo de edad también se podría recomendar la vacuna en forma de aerosol intranasal, que demostró una ausencia total de efectos secundarios.[130]
El 31 de enero de 2023, el Centro Gamaleya solicitó el registro de la vacuna para niños de 6 a 11 años. La vacuna se denominó Gam-COVID-Vac-D y se administraría por vía intramuscular en dos dosis.[131]
Sputnik V adaptada a nuevas variantes y cepas
El Centro Gamaleya informó en julio de 2021 que la vacuna Sputnik V era eficaz contra las nuevas cepas de coronavirus, según sus estudios publicados en Vaccines. La vacunación produce títulos de anticuerpos neutralizantes contra las nuevas cepas, incluyendo alfa B.1.1.7 (identificada en Reino Unido), beta B.1.351 (identificada en Sudáfrica), gamma P.1 (identificada en Brasil), delta B.1.617.2 y B.1.617.3 (identificadas en India) y las variantes B.1.1.141 y B.1.1.317 (identificadas en Moscú). La metodología del estudio se basó en la evaluación de la actividad neutralizadora del virus mediante el uso de virus vivos, lo que permite obtener los datos más fiables. El estudio comparó la actividad neutralizante del suero humano tras la vacunación, en relación con muestras de las diferentes cepas frente a la cepa original B.1.1.1.[132][133]
El 23 de agosto de 2022 el Centro Gamaleya y el Fondo Ruso de Inversión Directa comunicaron el desarrollo de la vacuna Sputnik V adaptada contra las variantes del coronavirus delta y ómicron. Los estudios continuados de las variantes llevaron a adaptar la Sputnik V a las variantes dominantes en ese momento en todo el mundo. Esta versión incluía la mutación L-452-R en la variante de preocupación ómicron BA.5 que no estaba presente en la variante BA.1. Se creía que la nueva versión de la vacuna podría mejorar la efectividad en comparación con vacunas similares combinadas contra la cepa original (Wuhan) y ómicron.[134] La producción de la vacuna actualizada comenzaría después de que se completara la evaluación de su efectividad en unos dos meses. La versión de Sputnik V existente tenía buenos resultados en la prevención de hospitalizaciones y muertes, pero funcionaba peor contra el nuevo ómicron en comparación con las cepas anteriores. El Ministerio de Salud preparaba una regulación que permitiera reemplazar una composición antigénica de Sputnik V por otra distinta para reducir los plazos de registro. En investigaciones equivalentes en otros países se está siguiendo este mismo camino.[135] En septiembre de 2022 la nueva versión de la vacuna se transfirió a producción, donde se prepararía para ensayos clínicos de eficacia contra las cepas de coronavirus delta y ómicron. Durante las pruebas previas se registró una disminución significativa de la carga viral en los pulmones en animales infectados con la cepa ómicron BA.5.[136] El 30 de noviembre de 2022 la vacuna contra las cepas de coronavirus delta y ómicron, del Centro Gamaleya, fue patentada en Rusia. Se esperaba que los ensayos de la vacuna se completarían a finales de 2022.[137]
En 2023 los especialistas del Centro de Investigación Gamaleya empezaron a desarrollar una nueva vacuna contra la variante de ómicron XBB.1.5 llamada 'kraken'.[138] Creían que la composición antigénica de la vacuna debería renovarse cada nueve o diez meses, ya que el SARS-CoV-2 muta para evadir la inmunidad.[139]
Seguridad
Seguridad en el diseño y antecedentes
Sputnik V utiliza un vector viral no replicable, es decir un virus carente de un mecanismo de reproducción, por lo que no representa ningún riesgo de infección para el organismo. El vector es utilizado para transportar material genético de otro virus contra el cual se hace la vacuna. Se usa un vector de adenovirus extraído de los adenoides humanos que normalmente causan infecciones respiratorias agudas que ya fueron usados en la década de 1990 para la creación de vectores. La tecnología del uso de vectores de adenovirus es segura y eficaz, lo que se confirma en numerosos estudios.[140] Sobre esta plataforma tecnológica se han realizado más de doscientos cincuenta estudios clínicos, y se han realizado o se están realizando estudios de seguridad a largo plazo, incluyendo la ausencia de riesgo de carcinogenicidad o de reducción de la fecundidad.[141]
Todas las vacunas para la COVID-19 basadas en plataformas de vectores adenovirales son diferentes y no son comparables directamente. Una de las vacunas existentes utiliza un adenovirus de chimpancé para entregar el antígeno, que consta de proteína-S combinada con el activador del plasminógeno y 2 vectores idénticos. Otra utiliza adenovirus humanos de serotipo Ad26 y proteína-S de larga duración estabilizada por mutaciones que se produce mediante el uso de la línea celular humana PER.C6 (células retinales embrionarias). La vacuna Sputnik V es una vacuna de dos componentes en la que se utilizan los serotipos de adenovirus 5 y 26. En esta no se usan fragmentos del activador plasminógeno de tipo tejido y el antígeno de inserción es una proteína-S de longitud completa sin modificar. La vacuna Sputnik V se produce con la línea celular HEK293, que durante mucho tiempo ha sido utilizada de forma segura para la producción de productos biotecnológicos. Por tanto todas las vacunas basadas en vectores adenovirales tienen diferencias significativas en su estructura y tecnología de producción, por lo que no hay razón para extrapolar datos de seguridad de una vacuna para los de otras.[142] En abril de 2021, la Universidad de Greifswald (Alemania) intentó explicar los mecanismos que provocan los raros cuadros de trombosis con plaquetas bajas. Se sabía que alguna vacuna homologada para el COVID-19 incluía proteínas celulares arrastradas durante el proceso de fabricación que podrían favorecer la reacción autoinmune, lo que creaba dudas sobre si otras vacunas basadas en adenovirus también estarían afectadas. Si el origen del problema estuviera en el procesado de la vacuna esto podría explicar que no se hayan encontrado casos asociados a Sputnik V, ya que sus responsables argumentan que su producto está altamente purificado mediante una tecnología de cuatro fases.[143][144] Según un artículo publicado en febrero de 2021 en la revista médica The Lancet, la vacuna Sputnik V es segura en su aplicación. El virólogo británico Ian Jones reconoció la eficacia y seguridad de esta vacuna.[145] En febrero la investigadora y viróloga española Margarita del Val, que anteriormente formó parte de la EMA, valoró Sputnik V diciendo que la vacuna rusa era fiable, muy buena y muy segura. Añadió que no tiene efectos adversos importantes de ningún tipo.[146] El centro Gamaleya publicó el 20 de agosto de 2020 las instrucciones de Uso de la vacuna rusa Sputnik V: posibles efectos secundarios y contraindicaciones.[147] El Ministerio de Salud de Argentina en febrero de 2021, publicó el Manual del vacunador de la Sputnik V, donde se informa muy detalladamente de todas las precauciones de seguridad.[148]
Datos de seguridad en ensayos clínicos
La publicación de los resultados de los ensayos de fase I y II, el 4 de septiembre de 2020, indicó que ambas formulaciones de vacunas son seguras y bien toleradas. Los eventos adversos más comunes fueron dolor en el sitio de inyección (44 [58 %]), hipertermia (38 [50 %]), dolor de cabeza (32 [42 %]), astenia (21 [28 %]) y dolor muscular y de articulaciones (18 [24 %]). La mayoría de los eventos adversos fueron leves y no fueron detectados eventos adversos graves.[7] En la primera semana de vacunación de voluntarios en los ensayos de fase III se informó de efectos secundarios menores en el 14 % de los voluntarios.[149] En diciembre de 2020 la vacuna presentaba efectos secundarios leves en el 15-16 % de los vacunados y estos se limitaban a fiebre de 38 °C hasta 48 horas, dolor de cabeza y malestar muscular. No hubo hospitalizaciones de los voluntarios.[27]
En los ensayos de fase III de la vacuna, publicados el 20 de febrero de 2021, entre las 21 977 personas que recibieron la vacuna la mayoría de los eventos adversos fue de grado 1, el 94 %. Tuvieron efectos secundarios graves el 0,3 % de los voluntarios vacunados y el 0,4 % de los que recibieron placebo, pero ninguno de ellos fue relacionado con la vacunación. Durante el estudio fallecieron cuatro participantes: tres (<0,1 %) de 16 427 vacunados y uno (<0,1 %) de 5435 en el grupo de placebo, ninguno asociado con la vacuna. De los fallecidos en el grupo de vacunados, una muerte estuvo relacionada con fractura de las vértebras torácicas. Dos de ellos tuvieron COVID-19, desarrollando síntomas en el 4.° y el 5.° día después de la primera dosis de la vacuna, por lo que ambos fueron infectados antes de la inclusión en el estudio a pesar de resultado negativo de PCR. Ambos tenían comorbilidades (enfermedades cardiovasculares y endocrinológicas, respectivamente). El fallecido en el grupo de placebo, murió de un derrame cerebral hemorrágico. Al final del estudio, hubo sesenta y dos (1,3 %) casos confirmados de contagio de COVID-19 en el grupo de placebo y dieciséis (0,1 %) en el grupo de la vacuna. No hubo alergias significativas o shock anafiláctico. Se siguen realizando estudios de seguridad a largo plazo incluyendo ausencia de riesgo de carcinogenicidad y reducción de la fecundidad. Los datos de efectos adversos fueron confirmados por un Comité de Monitoreo de Datos Independiente.[11][150] Hasta marzo de 2021, no se habían descrito muertes ni casos graves de COVID-19 entre los vacunados con Sputnik V, según el director del centro Gamaleya. Expertos independientes de varios países informaron de la ausencia de efectos secundarios graves después de la inyección.[151]
Datos de seguridad en campañas de vacunación
Nature publicó el 6 de julio de 2021 que las evidencias obtenidas en Rusia y otros países sugieren que Sputnik V es segura y eficaz. Los efectos secundarios son semejantes a los de otras vacunas de vectores adenovirales humanos, con la excepción de casos de trombosis. Ningún país había registrado casos de trombosis y los datos obtenidos en Argentina, Brasil y San Marino indicaban la ausencia de efectos secundarios serios tras las inoculaciones con Sputnik V. La viróloga canadiense Alyson Kelvin dijo que existe la teoría de que el trastorno de la coagulación está asociado con las vacunas de vectores virales, pero no creía que se conociera la causa exacta de que componente de esas vacunas lo estaba causando, o si Sputnik V estaba afectado.[152][153] La EMA, en abril de 2021, dijo que aún no se habían notificado coágulos en sangre con Sputnik V.[154]
- México
En la campaña de vacunación de México, el 20 de marzo de 2021, el Ministerio de Salud afirmó que Sputnik V fue la vacuna con menos efectos adversos graves registrados. No hubo ningún suceso adverso grave, con las otras vacunas disponibles osciló entre 0,8 y 2,5 por cien mil dosis.[155] Hasta el 5 de mayo, Sputnik V continuó mostrando el mejor perfil de seguridad, aunque los casos de efectos adversos serios ascendieron a 0,5 por cada cien mil dosis (con un total de once casos) sobre 1,9 millones de dosis de Sputnik V aplicadas. Con las otras vacunas disponibles también aumentó a 1,18 y 2,06 por cien mil dosis.[156]
- Rusia
En marzo de 2021 en Moscú aproximadamente el 0,1 % había desarrollado el COVID-19 entre más de un millón de vacunados después de dos semanas de la vacunación y el 76 % de ellos fueron ligeramente o completamente asintomáticos.[157] Según el Servicio Federal de Vigilancia Sanitaria ruso (Roszdravnadzor) hasta el día 9 de abril de 2021, Rusia no había detectado muertes vinculadas a las vacunas de producción nacional. De los casi 14 millones de ciudadanos rusos que se habían vacunado, 1,5 millones podían supervisar su propio estado de salud mediante seguimiento en línea. Las autoridades no registraron ningún caso de trombosis después de la vacunación. La purificación de la vacuna Sputnik V excluía la infiltración en la vacuna de grandes cantidades de ADN residual que es un factor de riesgo para la aparición de trombosis. La Sputnik V tiene una cantidad muy baja de ácidos nucleicos, tan solo uno o dos microgramos, frente a los entre cincuenta y cien microgramos presentes en otras vacunas contra el coronavirus. El centro Gamaleya, creador de Sputnik V, se mostraba dispuesto a compartir su tecnología de purificación con otros fabricantes de vacunas para minimizar los riesgos de efectos secundarios. Los especialistas rusos detallaron que la tecnología de purificación usada en abril de 2021 constaba de cuatro etapas: dos de purificación con técnica cromatográfica y otras dos de filtración tangencial.[158]
- India
En abril de 2021, el regulador de medicamentos indio dijo que los datos de seguridad e inmunogenicidad en un ensayo local eran comparables a los del ensayo realizado en Rusia.[159]
- Argentina
Se vigiló la seguridad de la vacuna en 2,8 millones de bonaerenses que fueron vacunados entre finales de diciembre de 2020 y principios de junio de 2021. El Ministerio de Salud informó de la ausencia de formación de coágulos de sangre como efecto secundario. El 24 de mayo el primer ensayo de seguridad fuera de Rusia confirmó los datos, ya que la mayoría de los eventos fueron leves y no se registraron muertes relacionadas con la vacuna. Hubo ciento veinticinco ESAVI graves (Eventos Supuestamente Atribuibles a la Vacunación o Inmunización), solo seis de ellos se relacionaron directamente con Sputnik V, generando reacciones alérgicas de las que los vacunados se recuperaron por completo. En junio de 2021 la tasa de ESAVI grave era de 0,07 por cien mil dosis aplicadas. En comparación con otras vacunas en el mismo período la tasa fue de 0,08 y 0,32 respectivamente.[160] El Hospital Italiano de Buenos Aires en julio de 2021, no observó casos de trastornos de la coagulación o eventos adversos de especial interés entre 683 trabajadores de la salud vacunados con Sputnik V. Sólo una persona (0.1%) requirió hospitalización sin complicaciones.[161] En septiembre de 2021, Sputnik V fue la vacuna que más efectos adversos comunicó con 41 545 informes (365,42 por cien mil dosis). Entre todas las vacunas utilizadas las notificaciones fueron de 50 463 (156,8 por cien mil dosis). El alto número inicial de informes se debió a que Sputnik V fue la primera vacuna en Argentina que inició la campaña de vacunación en solitario y en un contexto de pandemia. A partir de la 11.ª semana la situación de efectos adversos comunicados entre todas las vacunas fue similar. El 69,1 % de las notificaciones correspondió al género femenino y la media de edad de 41 años, siendo este un perfil relacionado con el personal sanitario que recibió las dosis en las primeras semanas. Se esperaba una alta sensibilidad del sistema de vigilancia, prestándose más atención en seguridad hasta que se fuera conociendo la vacuna. El 50 % de los eventos se informó en los tres primeros meses de la campaña.[162][163] En octubre de 2022 Sputnik V redujo su tasa de informes a 207,7 por cien mil dosis, siendo la tasa de ESAVI grave de 3,9 por cien mil dosis. Entre todas las vacunas las notificaciones fueron de 57,4 por cien mil dosis de las cuales 2,7 por cien mil dosis fueron clasificadas como graves tras la aplicación de un total de ciento diez millones de dosis de todas las vacunas. Para la vacuna Sputnik V los eventos A1 (más tolerables y relacionados con la vacuna) más frecuentes fueron síntomas tipo gripal, malestar general e inflamación localizada aguda. Las tasas de eventos indeterminados B1/B2 (referidos a los que la relación temporal es consistente pero hay insuficiente evidencia definitiva de relación causal) para Sputnik V con desenlace fatal en el periodo 29-12-2020 al 31-10-2022 fueron: un caso por trombosis por trombocitopenia, un caso con por púrpura trombótica trombocitopénica, y un caso por trombocitopenia autoinmunitaria.[164] En mayo de 2022 se habían notificado un total de trece casos de trombocitopenia y trombosis inmunitaria inducida por las vacunas, de los que dos casos correspondían a la vacuna Sputnik V, tras la administración de 20 538 979 dosis (0,01 casos por cien mil dosis) y que fueron reclasificados como relacionados al producto. Se describe un caso que se notificó tras la administración de Sputnik V el 15 de julio de 2021. Una mujer de 24 años presentó dolor abdominal el séptimo día, más tarde tuvo cefaleas persistentes, vómitos y hematomas faciales. Treinta y seis horas después síntomas neurológicos focales graves. La tomografía mostró trombosis venosa cerebral y la paciente falleció el decimocuarto día. La posibilidad de trombocitopenia y trombosis inmunitaria después de la vacuna Sputnik V no había sido suficientemente citada en las advertencias regulatorias ni por los medios de comunicación.[165]
- Hungría
Según el Ministerio de Salud húngaro Sputnik V es la más eficaz y segura de las cinco vacunas utilizadas en el país, que fue el primero en la UE en usarla. Datos de los vacunados desde el 26 de diciembre de 2020 hasta el 20 de abril de 2021 mostraron que noventa y cinco personas de cada cien mil contrajeron COVID-19 y una persona por cada cien mil murió por la enfermedad tras recibir las dos dosis de Sputnik V. En total dos personas murieron por coronavirus después de vacunarse. Hungría registró entre siete y treinta y dos veces menos muertes entre las personas vacunadas con Sputnik V y de dos a siete veces menos infecciones por cada cien mil personas de entre aquellos inoculados con las otras vacunas disponibles. Estos datos fueron criticados por otros científicos que los consideraron muy alejados de otras estadísticas de seguridad y pidieron el acceso a los datos en bruto.[166][167]
- Serbia
En mayo de 2021, Sputnik V mostraba el mejor perfil de seguridad durante la campaña de vacunación en Serbia. No se registraron eventos adversos graves, casos de trombosis venosa cerebral o de muertes relacionadas con la vacunación.[168]
- Filipinas
El Departamento de Salud de Filipinas comunicó que no habían registrado ningún evento adverso grave o muertes con respecto a la vacuna Sputnik V hasta mayo de 2021.[169]
- San Marino
Un estudio publicado en julio de 2021 mostró que la vacuna tiene un perfil de alta tolerabilidad en la población ≥ 60 años en términos de reacciones adversas a corto plazo después de ambas dosis. Los 2558 vacunados desde el 4 de marzo al 8 de abril tenían una edad media de 66 años. La incidencia de los eventos adversos posteriores a la primera dosis fue del 53,3 % (reacciones sistémicas, en un 42,2 %), mientras que la incidencia tras la segunda dosis fue del 66,8 % (reacciones sistémicas, en un 50,4 %). En general, el 76 % de los inmunizados con la pauta completa notificaron algunos efectos adversos después de cualquiera de las dosis de la vacuna, y el 2,1 % sufrió reacciones graves. En personas de entre 60 y 89 años, los efectos adversos se notificaron en un 70 % de los casos (reacciones sistémicas, en un 53 %) y un 0,8 % informaron de síntomas graves. Los síntomas más frecuentes fueron dolor local, decaimiento, cefalea y dolor articular. No se reportaron muertes ni hospitalizaciones.[170][171] Se publicó una actualización del estudio el 20 de mayo de 2022 donde el seguimiento de hasta 6000 adultos en un período de tres meses mostró una alta tolerabilidad y de seguridad de la Sputnik V. Hubo un menor perfil de reactogenicidad en los grupos de mayor edad que en los más jóvenes, de género masculino y sin historial de alergias a los alimentos. Ser mujer resultó en un riesgo seis veces mayor de sufrir eventos adversos más graves después de la primera dosis. En otros estudios también se observó que las mujeres informaron de síntomas con más frecuencia que los hombres.[172] En octubre de 2020, antes de finalizar los estudios clínicos de fase III, se creía que hombres y mujeres respondían a Sputnik V sin reacciones diferentes.[173]
Eficacia y eficiencia
Generalidades
Sputnik V es una de las tres vacunas del mundo con una eficacia superior al 90 %. Se determinó una eficacia de la vacuna del 91,6 % en ensayos clínicos de fase III.[174] Cuando a una persona se le administra una vacuna con un vector viral, además de generar una respuesta inmune contra la proteína de pico del coronavirus, el sistema inmunológico también genera una respuesta contra el vector viral en sí. Esta respuesta inmune puede destruir parte de la dosis de refuerzo antes de que pueda tener efecto, al administrarse posteriormente. La vacuna Sputnik V utiliza dos adenovirus humanos diferentes, Ad26 y Ad5, para cada una de sus dos dosis de vacuna. Es menos probable que esta vacuna heteróloga (o híbrida), con diferentes vectores para las vacunas de cebado y refuerzo, genere una respuesta inmune contra el vector viral que luego interfiera con el otro. Por tanto, también es menos probable que la vacuna tenga una eficacia reducida.[175] Alexander Gintsburg, director del Centro que creó la vacuna, explicó que para una vacuna es muy importante y necesario generar células de memoria inmunológica (inmunidad de células T de larga duración) y para ello es esencial usar dos dosis. El 30 de marzo del 2020, cuando el mismo se puso la vacuna junto a todo el equipo de investigación, observó una inmunidad especialmente alta, equivalente a la de un afectado de COVID-19 que ha pasado la enfermedad. Respecto a la duración de la inmunidad, no se observaron cambios en sus niveles de anticuerpos en sangre ocho meses más tarde.[27][176]
Según Naor Bar-Zeev y Tom Inglesby de la Universidad Johns Hopkins un punto fuerte de la vacuna es el umbral de neutralización y la amplia respuesta inmune. Se genera una respuesta inmune estable humoral y celular. Esto se logra mediante el uso de dos vectores diferentes que resuelven el problema que podría causar el posible efecto neutralizante de la segunda inyección.[177] El profesor de microbiología médica, David Livermore de Reino Unido, llamó la atención sobre los resultados impresionantes que mostró Sputnik V, al ser la primera vacuna de vectores de adenovirus en lograr una eficacia mayor del 90 %. Sputnik V, en febrero del 2021, era una de las únicas cuatro vacunas cuyos resultados de ensayos clínicos de fase III se habían publicado en las principales revistas médicas revisadas por pares.[178]
Los ensayos clínicos y los estudios en la vida real de las campañas de vacunación, demostraron que más del 98 % de los voluntarios vacunados desarrollaron una respuesta inmune humoral y una respuesta inmune celular del 100 %. El nivel de anticuerpos neutralizantes del virus en voluntarios vacunados con Sputnik V, fue de 1,3 a 1,5 veces mayor que en los pacientes que se recuperaron de COVID-19. La eficacia de la vacuna para personas de edad avanzada fue del 91,8 % y no difirió estadísticamente de la del grupo de personas de 18 a 60 años.[179] La segunda dosis de la vacuna Sputnik V puede administrarse hasta tres meses después de la inoculación del primer componente frente a los veintiún días estipulados inicialmente. Incrementar el plazo entre la inyección de la primera y la segunda dosis no influye en la intensidad de la respuesta inmune inducida y en algunos casos la aumenta y la prolonga.[180]
En marzo de 2021 se preveía iniciar estudios en pacientes oncológicos y en personas que padecen sida y para el verano empezaría el estudio de los efectos de Sputnik V en los niños. Respecto a la vacunación entre quienes ya han contraído el coronavirus de la COVID-19, la inyección solo del primer componente de la vacuna ayudaría a fortalecer la inmunidad generada tras el contagio. Los títulos de anticuerpos que se alcanzan son bastante altos, como después de la vacunación en dos etapas.[181]
Eficacia en ensayos clínicos
El director del Centro Nacional de Investigación de Epidemiología y Microbiología Gamaleya anunció el 28 de mayo de 2020, que se seguían detectando anticuerpos en los propios científicos que estaban desarrollando la vacuna y se vacunaron voluntariamente.[182] El 4 de septiembre de 2020 se publican en The Lancet los resultados de la fase I y II de la vacuna Sputnik V: Seguridad e inmunogenicidad de una vacuna COVID-19 heteróloga de estímulo primario, a base de vectores rAd5 y rAd26 en dos formulaciones: dos estudios abiertos, no aleatorios de fase I y II de Rusia.[7]
Científicos rusos determinaron que la respuesta inmune de Sputnik V era suficiente contra cualquier concentración de coronavirus.[183] Se publicó el 11 de noviembre de 2020 el primer análisis intermedio de datos del ensayo de fase III. Estos datos preliminares, obtenidos en Rusia, muestran una eficiencia después de la aplicación de la vacuna Sputnik V de un 92 %. El cálculo se realizó basándose en la distribución de veinte casos de COVID-19, identificados en el grupo placebo y en el grupo vacunado.[184] El 24 de noviembre se publica el segundo análisis intermedio de los datos de los ensayos clínicos de fase III. Mostró una eficacia con las dos dosis del 91,4 % para Sputnik V, veintiocho días después de la primera dosis y del 95 % cuarenta y dos días después de la primera dosis. El cálculo se basó en el análisis de datos sobre 18 794 voluntarios que recibieron ambas dosis de Sputnik V o placebo en el segundo punto de control del ensayo.[185] En octubre de 2020 ninguno de los dos mil voluntarios se contagió del coronavirus después de dos dosis de la vacuna.[186]
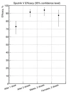
El 2 de febrero de 2021 se publican en The Lancet los resultados de la fase III de la vacuna Sputnik V: Seguridad y eficacia de una vacuna de estímulo primario para la COVID-19 basada en vectores Ad26 y Ad5 heterólogos: un análisis interino de un ensayo controlado y aleatorizado de fase III en Rusia. En los análisis primarios se incluyen los datos de los 19 866 voluntarios seleccionados, de los que 4 902 integraban el grupo de placebo, y el resto los vacunados con Sputnik V. Los resultados provisionales del ensayo de fase III de Gam-COVID-Vac muestran que la vacuna es 91,6 % eficaz contra COVID-19. Los resultados también mostraron que la vacuna fue 100 % (95 % CI 94,4-100) eficaz contra COVID-19 grave, aunque este fue un resultado secundario, por lo que los resultados son preliminares. Esta eficiencia aumenta hasta el 91,8 % entre el grupo de 2 144 voluntarios mayores de 60 años. La vacuna indujo fuertes respuestas inmunes humorales (n = 342) y celulares (n = 44) en todos los estratos de edad. En particular, hubo algunos que no respondieron en el grupo de la vacuna (seis de 342), posiblemente debido a la inmunosenescencia en las personas mayores, características individuales de la formación de una respuesta inmune o trastornos inmunológicos concomitantes. Al final del estudio, hubo sesenta y dos casos (1,3 %) confirmados de COVID-19 en el grupo de placebo y solo dieciséis en el grupo de la vacuna (0,1 %).[11]
En marzo de 2021, la vacuna demostró la misma eficacia en todas las edades y esperaban que proporcionara inmunidad más de dos años basándose en la experiencia previa con vacunas adenovirales. Al inicio se creía que la eficacia de la vacuna en personas mayores de 60 años sería menor, debido a que su sistema inmunitario ya no responde tan bien, pero no había ocurrido nada parecido. Las personas mayores de 60, 70 y 80 años responden bien a este medicamento.[187]
En marzo de 2023 científicos de Austria, Suecia y Rusia encontraron un mecanismo adicional de defensa en la vacuna. Compararon el plasma de doce personas con coronavirus y diez sanas, antes y después de la vacunación completa con Sputnik V para estudiar la respuesta inmune y la capacidad neutralizante. Determinaron que la vacuna induce aumentos significativos de inmunoglobulinas G específicas (IgG1) para el dominio de unión al receptor (RBD), que permite la unión con el receptor del huésped. Los anticuerpos atacan el RBD, impidiendo su entrada a las células que infecta. También se analizó la capacidad de los anticuerpos para unirse a diferentes elementos estructurales de la proteína S del virus que componen su membrana celular. Se encontró que la vacuna aumentó los niveles de anticuerpos contra otro fragmento de la proteína S recién descubierto denominado «péptido 12», ubicado cerca del RBD, y que participa en la penetración del COVID-19 en las células. Esto ofrece un mecanismo adicional de defensa para la acción de los anticuerpos.[188]
- Eficiencia en pacientes en tratamiento por cáncer
En marzo de 2021 comenzaron los estudios de Sputnik V en pacientes que padecen cáncer. La vacuna no tiene contraindicaciones médicas para su uso en pacientes con esa enfermedad salvo en los casos en que estén sometidos a quimioterapia y tomen medicamentos que inhiban la reproducción de las células.[187]
El Ministerio de Salud ruso publicó en junio de 2022 unas directrices para el Procedimiento para la vacunación de la población adulta contra el COVID-19 que afirma que se producen anticuerpos específicos en un 90 % de pacientes con cáncer. Los resultados de varios estudios clínicos obtenidos indican un buen perfil de tolerabilidad de vacunación y efectos adversos similar a de las personas sanas. Existe una gran variabilidad en la cantidad de anticuerpos formados, aunque su nivel en pacientes con cáncer es más bajo que en individuos sanos vacunados. Se indica que se recomienda Sputnik V para prevención sin restricciones adicionales en todos los pacientes oncológicos que hayan completado el tratamiento inmunosupresor, independientemente del estadio inicial y forma de la enfermedad. Los pacientes que han recibido tratamiento contra el cáncer tienen un mayor riesgo de COVID-19 grave, lo que hace que la vacunación en este grupo sea una prioridad.[189]
Estudios de eficiencia en campañas de vacunación
Inmunización de Sputnik V frente a las primeras variantes El 28 de febrero de 2021 Denis Logunov, subdirector del centro que desarrolló la vacuna, informó que Sputnik V estaba mostrando fuertes signos de efectividad contra nuevas mutaciones de COVID-19.[190]
En Argentina el 12 de abril de 2021, el estudio del CONICET reveló que la vacuna Sputnik V produce una alta respuesta inmune aún con una sola dosis. El 94 % de las personas que recibieron una sola dosis de la vacuna a los veintiún días produjeron anticuerpos específicos. Las personas previamente infectadas que recibieron solo una dosis producen cinco veces más anticuerpos que quienes no tienen antecedentes de COVID-19. Esto ocurre en el 96 % de las personas menores de 60 y en los mayores es del 89 %. La inmunización se eleva al 100 % después de la segunda aplicación, debido a que la infección previa genera memoria inmunológica.[191][192]
Estudios realizados en Rusia durante la campaña de vacunación el 19 de abril de 2021 mostraron una eficacia del 97,6 %, basándose en datos de 3,8 millones de vacunados. Fueron vacunados con ambos componentes de Sputnik V desde el 5 de diciembre de 2020 al 31 de marzo de 2021. La tasa de infección a partir de los treinta y cinco días a partir de la fecha de la primera inyección fue de sólo el 0,27 %. Al mismo tiempo, la incidencia entre los no vacunados de la población adulta fue de 1,1 % para un período comparable.[193] El organismo sanitario ruso Rospotrebnadzor afirmó el 29 de abril que la vacuna garantizaba una inmunidad frente al COVID-19 de al menos diez-doce meses. La inmunidad después de la vacunación se mantenía estable bastante tiempo y la inmunidad que se desarrollaba tras la vacunación protegía contra todas las cepas de coronavirus conocidas hasta ese momento.[194]
El 20 de mayo de 2021, el infectólogo argentino Hugo Pizzi afirmó que en la inoculación con Sputnik V el día catorce, después de la primera dosis, el 85,5 % del grupo de estudio tenía anticuerpos contra el virus y el día cuarenta y dos, después de recibir la segunda dosis era el 99,65 %. La cantidad de anticuerpos que se generan son incluso superiores a los aportados por los datos de los productores.[195]
El 10 de junio en Baréin se comunicó que la vacuna Sputnik V mostraba un 94,3 % de eficacia y un alto perfil de seguridad en un estudio realizado de acuerdo con las directrices de la OMS y con la participación de más de cinco mil personas.[196][197]
En Emiratos Árabes Unidos, el Ministerio de Salud confirmó el 29 de junio de 2021 en un estudio que la vacuna Sputnik V tuvo una eficacia del 97,8 %. Se estudió la eficacia y seguridad entre más de ochenta y un mil sujetos que habían recibido ambos componentes de Sputnik V. El análisis se basaba en datos recopilados hasta el 8 de junio de 2021 durante la campaña de vacunación. EAU había participado en los ensayos de fase III de la vacuna con mil voluntarios.[198]
Un estudio de abril de 2022 estimó la efectividad del programa de vacunación en México con las diferentes vacunas en uso. Se evaluó la efectividad de las vacunas BNT162b2 (Cominarty de BioNtech-Pfizer), mRNA-12732 (Spikevax de Moderna), Gam-COVID-Vac (Sputnik V), Ad5-nCoV (Convidecia), Ad26.COV2.S (de Janssen), ChAdOx1 (Covishield de AstraZeneca-Oxford) y CoronaVac (Sinovac). Se valoró la protección a la infección, hospitalización y muerte relacionadas con COVID-19 para adultos ≥18 años. Se evaluaron 793 487 vacunados en comparación con 4 792 338 adultos no vacunados entre el 24 de diciembre de 2020 y el 27 de septiembre de 2021. Las tres vacunas con la efectividad más alta para las personas completamente vacunadas fueron: contra la infección: mRNA-12732: 91,45 %, Ad26.COV2.S: 82,18 % y ChAdOx1 80,79 %. contra la hospitalización: BNT162b2: 84,3 %, Gam-COVID-Vac: 81,4 % y ChAdOx1 80,23 %. contra la mortalidad: mRNA-12732: 93.46 %, BNT162b2: 89.83 %, y Gam-COVID-Vac: 87,7 %. Todas las vacunas fueron efectivas contra la infección, la hospitalización y muerte relacionadas con COVID-19. Este fue el primer informe que evaluaba simultáneamente la eficacia de siete vacunas diferentes.[199]
En unos estudios realizados en julio de 2022 en Irán la vacuna Sputnik V proporcionó una mejor protección contra el coronavirus. El estudio se basó en los datos 3591 estudiantes que fueron completamente vacunados con cinco vacunas distintas, entre ellas Sputnik V, entre marzo y agosto de 2021. Sputnik V mostró los mejores resultados en la protección contra la infección después de la vacunación. Los participantes infectados con coronavirus fueron el 3,13 % del total de vacunados con Sputnik V. En el resto de vacunados con las otras cuatro vacunas fue de 6,23 %, 4,23 %, 6,25 % y 18,52 %. No hubo una relación significativa entre la infección recurrente y el género, el IMC, los grupos sanguíneos y las comorbilidades. Sin embargo, hubo una diferencia significativa en la infección entre los diferentes tipos de vacunas y el historial de infección por COVID-19. Un total de dieciséis participantes fueron hospitalizados por infección por COVID-19 y no se observó infección grave ni muerte en la población estudiada.[200][201]
En un posterior estudio publicado por científicos iraníes el 26 de julio de 2022 se mostraron los resultados de análisis de personas inoculadas con alguna de las cuatro vacunas utilizadas en el país, incluyendo Sputnik V. Ninguna de ellas era de tecnología ARNm. Se analizaron datos de 174 trabajadores sanitarios voluntarios con una mediana de edad de 40 años. El estudio evaluó la respuesta de anticuerpos después de la segunda dosis en muestras de sangre recolectadas al menos diez días después. La proporción de hombres fue del 31 % y la frecuencia de infección de los que pasaron COVID-19 fue de 66 (38 %). El 58 % de los participantes recibieron Sputnik V. En los dos test de ensayos de la respuesta inmune fueron positivos 37 (21 %) y 163 (94 %) participantes y su nivel medio fue mayor en las vacunas con vectores adenovirales. Oxford/AstraZeneca y Sputnik V tuvieron un resultado similar de inducción de altos niveles de anticuerpos neutralizantes y anti-SARS-Cov-2 mayores que en otras vacunas.[202]
En noviembre de 2022 científicos libios publicaron un estudio retrospectivo multicéntrico de tres vacunas: ChAdOx1 (AstraZeneca), CoronaVac y el primer componente de la vacuna rusa Sputnik V (Gam-COVID-Vac) en pacientes en Libia que habían recibido solo la primera dosis de las vacunas autorizadas entre abril y julio de 2021. Entre las personas que no recibieron ninguna vacuna, el número de infectados fue 7,94 % y fallecieron el 7,10 %, frente al 0,10 % de los ingresados que habían tomado una dosis única de alguna de las vacunas autorizadas, de los cuales el 0,02 % (ocho pacientes) fallecieron en ese período. De los pacientes documentados que ingresaron en los centros de salud se habían vacunado: veintitrés con la vacuna CoronaVac (Sinovac), catorce pacientes recibieron Oxford/AstraZeneca y dos pacientes recibieron Sputnik V. De los casos revisados de receptores de vacuna que contrajeron el virus, después de haber sido completamente vacunados, ocho fallecieron y no se informó de muertes debido a infección avanzada entre los pacientes vacunados con Sputnik V. Una sola dosis de los tres tipos de vacuna redujo significativamente la transmisión y la tasa de mortalidad. Estos resultados se obtuvieron antes de que la variante delta u ómicron entraran en Libia. Una sola dosis del componente primero de la Vacuna Sputnik V es equivalente a la vacuna Sputnik Light monodosis, por lo que los resultados podrían ser aplicables.[203]
Un artículo publicado en Vaccine el 21 de noviembre de 2022, confirmó una alta protección a largo plazo con Sputnik V. Se realizó por el equipo de la Universidad Nacional de San Luis en Argentina, con vacunas en uso y combinaciones de ellas. Participaron 376 estudiantes y profesores voluntarios de entre 20 y 70 años que fueron vacunados con al menos una inyección. Los voluntarios incluían a los que habían estado o no enfermos de coronavirus. Se analizaron muestras de sangre a los 20, 40, 80, 120 y 180 días después de la primera inyección, entre julio y diciembre de 2021. Sputnik V en el período entre 120 y 180 días después de la primera inyección, obtuvo el nivel de anticuerpos IgG más alto que en otras vacunas, excepto en la combinación heteróloga. Se detectaron anticuerpos en 350 de los 376 voluntarios que recibieron al menos una dosis de la vacuna más de veinte días después, con un valor promedio de seroprevalencia del 93,34 %. En general, el 84,5 % de los que recibieron Sinopharm, el 100 % con ChAdOx1 (AstraZeneca), el 98 % con Sputnik V y el 98 % con la vacunación combinada. Esto confirma los hallazgos de estudios previos e informes de trabajadores de la salud de Argentina vacunados con Sputnik V.[204]
Un estudio publicado en Vaccines el 30 de diciembre de 2022 por científicos rusos confirmó la protección a largo plazo con Sputnik V y también la alta inmunogenicidad cuando se revacuna, independientemente de la edad de los vacunados. Se realizó este estudio con 3983 individuos previamente vacunados con Sputnik V. El análisis antes de la vacunación demostró que el 95,5 % de los pacientes mantenían una respuesta IgG al dominio de unión al receptor (RBD) del SARS-CoV-2 seis meses después de la vacunación inicial. Una inyección de refuerzo incluso de Sputnik Light es suficiente para mantener una inmunidad fuerte en la mayoría de los vacunados previamente, independientemente de su edad y de los niveles de anticuerpos previos a la revacunación. La medida en que aumentan los niveles de anticuerpos tras la revacunación depende de los niveles de partida anteriores a la revacunación. La revacunación es más eficaz en las personas con un nivel previo de anticuerpos inferior a 500 BAU/mL.[205]
Inmunización de Sputnik V frente a las variantes de preocupación VOC En abril de 2021 Sputnik V demostró eficacia contra la llamada cepa india del coronavirus. Esta variante (B1.617) también conocida como delta es una variante del SARS-CoV. En junio de 2021, en condiciones de laboratorio, la vacuna ante la variante india mostró eficacia aunque la disminución de eficacia epidémica es de 1,4-2,4 veces en comparación con el suero obtenido de las cepas de Wuhan.[206] Mientras que la disminución de esa actividad para las demás vacunas es de tres a cinco veces Sputnik V es más eficiente contra la variante delta del coronavirus que cualquier otra vacuna que haya publicado resultados sobre esta cepa. La eficacia de Sputnik V contra la cepa Delta es de aproximadamente el 90 %.[207][208]
Según un estudio de abril de 2021 una variante del virus SARS-CoV-2 detectada en Sudáfrica puede evadir los anticuerpos provocados por la vacuna Sputnik V contra la COVID-19. Científicos de la Escuela de Medicina Icahn en Nueva York obtuvieron muestras de suero sanguíneo con de anticuerpos de doce personas vacunadas con Sputnik V y probaron el suero contra virus benignos diseñados para hacer las versiones de pico que se encuentran en ciertas variantes del SARS-CoV-2. Ocho de las doce muestras no inhibieron los virus equipados con picos de B.1.351 (beta), la variante identificada en Sudáfrica. Pero las muestras superaron con eficacia los virus con pico de la variante B.1.1.7 (alfa), que se detectó en Gran Bretaña.[209][210]
En noviembre de 2021, apareció la primera información sobre una nueva variante del virus SARS-CoV-2, que recibió el nombre de ómicron. Esta variante es preocupante porque contiene una gran cantidad de mutaciones que podrían reducir significativamente la efectividad de las vacunas COVID-19. En diciembre de 2021 se realizó un estudio de anticuerpos neutralizantes en el suero sanguíneo de personas vacunadas con Sputnik V y también revacunadas con Sputnik Light después de Sputnik V. Los resultados mostraron una disminución en el nivel de anticuerpos neutralizantes contra la variante SARS-CoV-2 ómicron (B.1.1.529) en comparación con la variante B.1.1.1. En sueros de vacunados con Sputnik V después de seis y doce meses hubo una disminución en el nivel de anticuerpos neutralizantes de 11,76 veces. En los vacunados con Sputnik V y luego revacunados con Sputnik Light a los dos-tres meses la disminución en el nivel de anticuerpos neutralizantes contra la variante ómicron fue de 7,13 veces demostrando la necesidad del tercer refuerzo con esta nueva variante.[211]
Un estudio suizo publicado en Nature determinó la capacidad de neutralización del virus ómicron mediante el plasma de individuos vacunados respecto a la variante original Wuhan. Se comparó la capacidad neutralizante entre individuos convalecientes y plasma de vacunados con seis vacunas distintas: dos de ARNm, tres de adenovirus y una de virus inactivado. Las personas convalecientes y las personas que habían sido vacunadas con las vacunas de adenovirus incluida la Sputnik V y la de virus atenuado no tuvieron actividad neutralizante detectable contra ómicron. Los individuos que fueron inmunizados con vacunas de ARNm y una de adenovirus tuvieron una mayor actividad neutralizante contra Wuhan-Hu-1 y mantuvieron la actividad contra ómicron, con disminuciones de treinta y tres, cuarenta y cuatro y treinta y seis respecto a la primera. Esta disminución fue cinco veces menos pronunciada para los individuos vacunados que estaban previamente infectados. Las muestras de suero de vacunados con Sputnik V fueron obtenidas de trabajadores de la salud en Buenos Aires.[212]
El 20 de enero de 2022, un estudio comparativo independiente, realizado en el Instituto Nacional de Enfermedades Infecciosas Lazzaro Spallanzani (Italia) por un equipo de investigadores del Instituto italiano y del Centro Gamaleya mostraron que dos dosis de Sputnik V proporcionan más de dos veces más títulos medios geométricos de anticuerpos neutralizantes de virus para la variante ómicron que dos dosis de otra conocida vacuna de ARNm: 2,1 veces mayor en total y 2,6 veces mayor tres meses después de la vacunación. Se demostró la disminución de la actividad neutralizante de los sueros frente a la variante ómicron (B.1.1.529) y frente a la variante de referencia Wuhan (B.1) en individuos vacunados con dos dosis de Sputnik V y otra vacuna de ARNm hasta seis meses después de la vacunación. La disminución del anticuerpo neutralizante contra la variante ómicron fue de 8,1 veces para vacunados con Sputnik V y de 21,4 veces para vacunados con la otra vacuna de ARNm. Se detectaron anticuerpos neutralizantes específicos de ómicron en el 74,2 % en sangre de los vacunados con Sputnik V y en el 56,9 % de los sueros vacunados con otra vacuna ARNm. La disminución de estos anticuerpos con la variante ómicron en comparación con la variante de Wuhan se ha visto en muchas vacunas en uso, incluso algunas no muestran neutralización alguna. Este estudio, junto con estudios previos, proporciona evidencia de la necesidad de la inmunización de refuerzo. El refuerzo de Sputnik Light después de la vacunación con Sputnik V induce una respuesta robusta de anticuerpos neutralizantes a la variante ómicron.[213][214]
El 26 de octubre de 2022 fue publicado un estudio en Vaccines acerca de la eficacia de las vacunas Sputnik V y Sputnik Light para proteger a trabajadores de la salud en Moscú del impacto de nuevas variantes del virus. Los investigadores rusos, entre ellos los diseñadores de estas vacunas, observaron la eficacia de Sputnik V y Sputnik Light a partir de los datos en el período de la dominación de la variante delta. Analizaron los datos de 1287 vacunados con ambas vacunas demostrando que la eficacia epidemiológica general de la vacuna fue del 81,7 % (73.1-87.6 %) durante el período de la variante delta. Durante el periodo de observación completo, desde el 26 de noviembre de 2020 hasta el 8 de febrero de 2022, la eficacia global de la vacuna fue de 89,1 % (86.9-91.0 %). La mayor eficacia durante este período se obtuvo en el grupo que recibió la tercera y cuarta dosis con 96.5 % (75.0-99.5 %). La gravedad de COVID-19 en el grupo vacunado fue significativamente inferior que en el grupo de los no vacunados.[215][216]
Según un estudio conjunto publicado en junio de 2022 en Rusia por el Hospital Clínico de Moscú n.º 67 y el Centro Gamaleya, se determinó la efectividad de Sputnik V cuando se potencia con Sputnik Light o se revacuna con Sputnik V frente a la cepa ómicron.[217] Se analizaron datos de 1112 pacientes entre el 11 de enero y el 21 de febrero de 2022. La efectividad de Sputnik V contra la hospitalización después de la vacunación con al menos una dosis fue del 85,9 %. En los que se vacunaron con al menos dos dosis, la eficacia aumento al 87,6 % mientras que al potenciar con la tercera y cuarta dosis con Sputnik Light o revacunación con Sputnik V la efectividad fue del 97 %. En la protección contra casos críticoss que requerían UCI las eficacias fueron del 93,2 %, 94,5 % y 99,4 % respectivamente.[218]
El centro Gamaleya a mediados de junio de 2022 informó que se recomendaría la vacunación intranasal adicional contra una nueva subvariante de la cepa ómicron BA.4 en caso de protección insuficiente de los ya vacunados con Sputnik V. A pesar de conocerse la secuencia de nucleótidos de la cepa, quedaba por ver cómo sería neutralizada por el suero de pacientes que habían sido vacunados con Sputnik V.[219]
Un estudio comparativo de vacunas para COVID-19 realizado en México y publicado en junio de 2022 mostró datos discrepantes. Se estudiaron los niveles de anticuerpos producidos por cinco distintas vacunas en poblaciones con altas incidencias de SARS-CoV-2. En la mayoría de vacunados la actividad neutralizante era indetectable contra la variante ómicron. La infección por SARS-CoV-2, experimentada antes o después de la vacunación, potenció las respuestas inmunitarias de las células B y permitió la generación de actividad neutralizante contra ómicron para todas las vacunas en casi todos los individuos. Se destacó la evidencia de evasividad inmunológica en la población mexicana con la reciente aparición de B.1.1.529 (ómicron). El ensayo se realizó durante el período comprendido entre el invierno de 2020 y la primavera de 2021 con muestras de sangre de 197 individuos. El 40,6 % de los participantes se habían infectado con SARS-CoV-2 previamente. Las variantes B.1 y B.1.1.159 fueron las más prevalentes en los diagnósticos de PCR. Hubo diferencias importantes en la capacidad de las vacunas para provocar anticuerpos neutralizantes y memoria de células B tanto en individuos sin tratamiento previo como previamente infectados y contra múltiples variantes. Las vacunas ChAdOx1-S, Sputnik V, Ad5-nCoV y CoronaVac tenían capacidades variables para generar anticuerpos neutralizantes por lo que se esperaba que mostrasen niveles más bajos de protección contra la infección. Todas generaron títulos más bajos que la BNT162b2 contra todas las variantes. La mayoría de los vacunados no infectados previamente carecían de actividad neutralizante detectable contra ómicron por lo que era poco probable que estuvieran protegidos contra la infección. Entre personas vacunadas y previamente infectadas con COVID-19, Sputnik V consiguió la respuesta más alta de anticuerpos neutralizantes de todas las vacunas .[220]
En julio de 2022, científicos de la Universidad Europea de San Petersburgo y el Instituto Médico Sergey Berezin evaluaron comparativamente la eficacia de vacunas COVID-19. Usaron datos de pacientes con PCR positivo. Aunque la vacuna Sputnik V tuvo el mayor efecto protector contra el coronavirus, se creía que era incorrecto comparar vacunas de tecnologías diferentes y Sputnik V debería compararse con vacunas de ARNm. En la ausencia actual de recomendaciones internacionales y rusas para cambiar de una vacuna a otra, cuando cambia la cepa del virus, sería necesario usar una vacuna nasal en forma de refuerzo lo que daría una protección del 90-95 %.[221]
El 25 de julio de 2022, el director del Instituto de Virología del Centro Federal de Investigación de Medicina Fundamental y Traslacional compartió la opinión de que la vacuna Sputnik V protegería eficazmente contra una subvariante de la cepa ómicron del coronavirus, la BA.2.75, conocida como centauro. La vacuna Sputnik V se dirige a partes conservadoras del virus que con gran dificultad rara vez cambian y así protege contra todas las variantes del coronavirus por lo que no hay necesidad de cambiar la vacuna.[222]
Un estudio de noviembre de 2022 realizado por científicos de Rusia y Austria y publicados en la revista NPJ Vaccines concluyó que la vacunación con Sputnik V forma una inmunidad fuerte y estable al coronavirus, que persiste durante varios meses. La formación de anticuerpos contra el adenovirus humano Ad26, que normalmente se generan con el primer componente de Sputnik V, no afecta la respuesta inmunitaria humoral por la vacunación de refuerzo con Sputnik Light que también se basa en Ad26. La vacunación con Sputnik V estimuló la producción de anticuerpos neutralizantes que permanecieron en la sangre durante al menos nueve meses. Los niveles de anticuerpos IgG específicos neutralizaron tanto la cepa original como las variantes delta y ómicron y no dependieron de los niveles de anticuerpos neutralizantes de Ad26. El momento óptimo para una dosis de refuerzo es el período de seis a nueve meses después de la vacunación primaria con dos componentes de Sputnik V.[223][224]
Estimaciones de permanencia de la inmunización en vacunados Datos obtenidos de la campaña de vacunación en San Marino por el Ministerio de Salud demostraron que tenía una efectividad del 80 % contra la infección por coronavirus del sexto al octavo mes después de la administración de la segunda dosis siendo mayor que la eficacia publicada oficialmente de las vacunas de ARNm. Los datos se basaban en la cantidad de infecciones 18 600 personas que recibieron la vacuna completa con Sputnik V no menos de cinco meses antes de noviembre de 2021.[225]
Investigaciones llevadas a cabo en enero de 2022 comprobaron que el nivel de anticuerpos de Sputnik V se mantiene después de seis meses de la vacunación. El Consejo Nacional de Investigaciones Científicas y Técnicas (CONICET) de Argentina observó que aunque tras ese período los anticuerpos totales disminuyen, la capacidad de aquellos anticuerpos que neutralizan diferentes variantes del SARS CoV-2 se sostiene. El estudio se basa en el análisis de 1800 muestras serológicas.[226] Esto se debe a que los anticuerpos atraviesan un proceso de maduración y van mejorando su calidad en los primeros meses después de aplicada la vacuna. Si bien la cantidad de anticuerpos generados tras la vacunación descienden unas diez veces después de los seis meses de su aplicación, la capacidad neutralizante se mantiene constante durante cuatro meses y muestra solo una leve disminución a los seis meses. Sputnik V neutraliza eficientemente a las variantes alfa, delta y lambda. También se observó que la capacidad neutralizante de Sputnik V contra las variantes beta (Sudáfrica) y gamma (Manaos) se incrementa con el tiempo.[227]
En febrero de 2022 voluntarios inoculados con Sputnik V en Moscú continuaban con altos niveles de anticuerpos un año después. En una investigación con 3000 voluntarios que recibieron dos dosis de la vacuna, 1323 de ellos mostraron que el 80 % de ellos todavía tenía un nivel de anticuerpos por encima de 200 BAU ('Binding antibody Unit'), lo que se considera un índice bastante alto. En los resultados preliminares del nivel de anticuerpos se observó la presencia de niveles suficientemente altos de anticuerpos IgG específicos contra el coronavirus de la proteína S.[228]
En un estudio de investigación publicado en International Journal of Infectious Diseases en junio de 2022 y llevado a cabo en Venezuela se observó la respuesta inmune después de la vacunación con Sputnik V en individuos con infección previa de la enfermedad y otros solo con inmunidad inducida por la vacunación. Los datos representaban un seguimiento de seis meses sobre ochenta y seis trabajadores: treinta y dos con infección previa por COVID-19 y cincuenta y cuatro sin haber sufrido la enfermedad antes de las dos dosis de refuerzo. Se midieron los niveles de anticuerpos el día cuarenta y dos y el día ciento ochenta. Los niveles disminuyeron aproximadamente un 50 % en el periodo de cuarenta y dos días sin enfermedad previa con COVID-19 (GTM 675 BAU/mL frente a 327 BAU/mL) y disminuyeron aproximadamente un 25 % en la cohorte previamente infectada (GMT 1209 BAU/mL frente a 910 BAU/mL). El 94 % mostró una actividad neutralizante de buena a excelente medida seis meses después de la vacunación. Se concluyó que la vacuna Sputnik V proporcionó inmunidad humoral duradera y a largo plazo, especialmente si una persona había sido vacunada y tuvo una infección previa con SARS-CoV-2. Los niveles de IgG seis meses después de la vacunación en la mayoría de los sujetos sin enfermedad previa se mantuvieron por encima de 100 BAU/mL y diecinueve (40 %) de los participantes sin enfermedad previa tenían anticuerpos IgG-RBD por encima del nivel de 400 BAU/mL. Después de seis meses, todos los sujetos previamente infectados con COVID-19 tenían anticuerpos IgG-RBD por encima de ese mismo nivel. En este estudio se citan comparativamente otros estudios realizados en Estonia, Estados Unidos e Israel donde los descensos de los títulos de anticuerpos después de seis meses con otras vacunas distintas son bastante más pronunciados. En otra investigación similar, realizada en Argentina, se mostraron datos con un mayor descenso para los que no habían pasado la enfermedad. En otro de los estudios también en Argentina, con una cohorte de ciento dieciocho voluntarios, se evaluó la respuesta humoral durante seis meses después de la vacunación con Sputnik V mostrando que la potencia neutralizante de los anticuerpos se mantuvo para todas las variantes del SARS-CoV-2 analizadas.[229]
Investigadores de Serbia compararon tres vacunas utilizadas en el país, entre las cuales estaba Sputnik V. El título de anticuerpos después de la vacunación con Sputnik V fue mejor sostenido que el de las otras vacunas después de seis meses. Se analizaron los datos de 231 serbios de 20 años o más que no habían estado enfermos de coronavirus y habían sido vacunados con dos dosis de una de las tres vacunas en el período de enero a junio de 2021. Los investigadores compararon los títulos de anticuerpos IgG pasados veintiocho días y seis meses después de la vacunación. La vacuna Sputnik V proporcionó la menor caída de los niveles de anticuerpos con el tiempo entre todas las vacunas. La reducción de la cantidad de anticuerpos dejó ver la necesidad de una vacuna de refuerzo. Fue publicado en una plataforma de investigación el 19 de octubre de 2022.[230]
Eficacia de la vacuna en pacientes con VIH La vacuna Sputnik V ha demostrado eficacia en pacientes con VIH positivo que reciben terapia antirretroviral, según un estudio publicado en la revista The Lancet el 23 de marzo de 2022. La inmunización completa con la vacuna implicó una reducción de 3,29 veces el número de infecciones por el coronavirus en comparación con los no vacunados. Mientras, en los pacientes con una función inmunológica comprometida, la vacunación redujo el riesgo de COVID-19 en 2,5 veces.[231] El estudio se llevó a cabo para evaluar la eficacia de la vacunación estándar con Sputnik V en 24 423 residentes de Moscú con VIH, entre abril y septiembre de 2021. Los participantes incluían la variante delta y se valoraron las tasas de hospitalización y enfermedades graves en pacientes vacunados y no vacunados. El VIH daña el sistema inmunitario, los pacientes con VIH que tienen un recuento de linfocitos CD4 inferior a 200 corren un alto riesgo de desarrollar enfermedades graves. La eficiencia epidemiológica de Sputnik V en toda la cohorte de personas VIH positivas en terapia antirretroviral fue del 76,33 % y en VIH+ con CD4+ ≥350 células/µL la eficiencia de la vacuna fue del 79,42 %, evitando la hospitalización en el 90,12 % de los casos y protegiendo del desarrollo de enfermedad moderada o severa en 97,06 %. Para la variante delta en este grupo la eficacia fue del 65,35 %, evitando la necesidad de hospitalización en el 75,77 % de los casos y protegiendo del desarrollo de enfermedad moderada o grave en el 93,05 % de los pacientes. Se sugirió la eficiencia epidemiológica de la inmunización con Sputnik V en pacientes VIH positivos y tratados con terapia antirretroviral para las variantes original y delta del SARS-CoV-2.[232][233]
Producción
Descripción y tecnología de fabricación
La Gam-COVID-Vac o Sputnik V es una vacuna de vector viral basada en el adenovirus humano, un virus del resfriado común. Para estimular una respuesta inmunitaria este vector está fusionado con la proteína de espiga del SARS-CoV-2 de longitud completa sin modificar.[142] Consta de dos componentes distintos en los que se utilizan los serotipos de adenovirus Ad5 y Ad26. La vacuna usa adenovirus recombinantes que son incompetentes para la replicación, ya que se han eliminado de su genoma los genes que producen la replicación del virus y el desarrollo de una infección viral. No usa un fragmento de activador tisular de plasminógeno. La Sputnik V se produce con la línea celular HEK293, que se utiliza de forma segura desde hace mucho tiempo para la producción de otros productos biotecnológicos.[234]
En 2020, la empresa Generium y el Centro Nacional Gamaleya ruso firmaron un acuerdo para la fabricación de la forma farmacéutica terminada y de la sustancia (la solución Gam-COVID-Vac) para la posterior fabricación de la vacuna en otros centros en la Federación Rusa y en el extranjero. Se estudió por este fabricante el escalamiento industrial de la producción de Sputnik V modificando y mejorando varios procesos de la tecnología a nivel de laboratorio. Se determinó que posteriormente a la acumulación y purificación de partículas virales la primera fase consistía en el cultivo celular con la línea celular HEK-293 en biorreactores de olas desechables con capacidad de 1000 y 2000 L. Se optimizaron las etapas de lisis celular mediante la realización de la lisis química directamente en el biorreactor de producción mediante un detergente no iónico en lugar de utilizar la ultracentrifugación y congelación/descongelación. Para reducir el contenido de ADN y ARN de alto peso molecular de las células HEK-293 así como la viscosidad del lisado, se sustituyó la enzima benzonasa por una endonucleasa recombinante de producción propia. La etapa de filtración profunda se realizó con un filtro de celulosa modificada pasando el lisado secuencialmente por filtros desde 9 a 0,2 µm y una vez clarificado se almacenaba en mezcladores desechables con capacidad de 1500 a 2500 L. En la última etapa de purificación cromatográfica se sustituyó la tecnología usada a nivel de laboratorio (cromatografía de filtración en gel), por la cromatografía de intercambio aniónico y la cromatografía multimodal con efecto de filtración en gel. Finalmente se determinan los criterios de calidad: inmunogenicidad, presencia de adenovirus con capacidad de replicación (RCA), presencia de impurezas asociadas al proceso de producción, como ADN, proteínas residuales de la célula huésped y endonucleasas y se controla la contaminación con agentes extraños: micoplasmas, bacterias aerobias y anaerobias.[235] La tecnología utilizada para su desarrollo no es exclusiva y en otros países también era utilizada. La vacuna Sputnik V se creó en cinco meses, desde la fecha de recepción de la orden estatal hasta el momento del registro.[236]
Fabricación y países productores
En abril de 2021 se anunció que más de veinte empresas en trece países producirían suficientes vacunas para suministrar a 800 millones de personas al año.[237] En julio los acuerdos de producción de Sputnik V alcanzaron a quince países, los mayores fabricantes serían India e Irán.[238]
En septiembre se habían producido y utilizado más de 150 millones de dosis de la vacuna en Rusia y en otros países del mundo, según el desarrollador principal de Sputnik V, Denis Logunov.[239] El lanzamiento de la producción en masa de ambas vacunas, Sputnik V y Sputnik Light, se completó en octubre de 2021, lo que garantizó un suministro estable desde veinticinco sitios de producción en quince países, incluidos Rusia, India, Corea del Sur y otros.[240]
En el segundo aniversario de la vacuna, el 11 de agosto de 2022, más de 500 millones de personas ya habían sido vacunadas con Sputnik V. Se generaron más de cincuenta estudios clínicos que fueron publicados en las principales revistas médicas internacionales. La vacuna Sputnik V fue el fármaco más exportado en la historia de Rusia.[241] Los problemas de suministro por la alta demanda y la demora en la producción externa impidieron que no se pudieran suministrar los 896 millones de dosis en el extranjero que se planeaban para el 2021. Hasta julio de 2021 Rusia había suministrado unos diecisiete millones de dosis de Sputnik V a otros países, solo el 1,9 % de lo planeado. Se esperaba cumplir los compromisos priorizando la demanda interna de Rusia y vendiendo licencias de producción. En esa fecha se habían administrado unos 51 millones de dosis en Rusia.[238]
Rusia estuvo dispuesta a apoyar la idea, surgida a nivel mundial, de eliminar la protección de patente de las vacunas. Fue el único país del mundo que cedió a otras naciones la tecnología para la producción de sus vacunas, que ya se estaba implementando en algunos países. Esta opción evitaba la construcción de más fábricas en el país de origen y se simplificaba la logística.[242][243]
Los países que producían localmente la vacuna son:[1][238][244]
| PAÍS | PRODUCCIÓN PLANEADA Y FECHA ACUERDOS
(en millones de dosis) |
EMPRESAS
PRODUCTORAS |
FECHA INICIO PRODUCCIÓN |
|---|---|---|---|
| Argentina | 9 (total, fin producción) en 9-2022[245] | Laboratorios Richmond[246] | 20-4-2021 lote de prueba[247] 4-6-2021 producción comercial[248] |
| Bielorrusia | hasta 0,5 (al mes) en 1-2022[244] |
Belmedpreparaty (Belpharm)[249] | 25-3-2021 producción comercial[250] |
| Brasil | 8 (al mes) en 1-2022[244] | Bthek Biotecnologia, União Química[251] | 1-2021 lote de prueba[252] 20-5-2021 primer lote comercial[253] |
| Corea del Sur | 1850 (al año) en 2021[244] | 150 GL Rapha, 500 consorcio de GL Rapha, ISU ABXIS, Jetema y Handkook Korus Pharm y 100 (al mes) consorcio encabezado por Huons Global.[254][255][256] | fin 12-2020 lotes de prueba[257] 5-2021 producción comercial[258] |
| India | entre 850 y 1152 (al año) en 2021[259] | Hetero Biopharma,[260] Virchow Biotech,[261] Stelis Biopharma,[261] Gland Pharma,[261] Panacea Biotec,[262] Serum Institute of India,[263] Morepen Laboratories,[264] y Shilpa Medicare.[265] |
6-7-2021 lote de prueba[264]
8 a 10-2021 producción comercial[266] |
| Irán | 30-1-2021[267] | Actoverco Pharmaceutical[268] | 26-6-2021 lote de prueba[268] |
| Kazajistán | 8,5 en 2022[269] | Karaganda Pharmaceutical Complex[270] | 12-2020 lote de prueba[271] 27-1-2021 producción comercial[270] |
| Rusia | 266,4 en 1-2022[269] | Medgamal (Centro Gamaleya),[272] Binnopharm Group,[273] Generium Pharmaceuticals,[274] Biocad,[275] R-Pharm[273] | 15-08-2020[276] |
| Serbia | 4 en 12-2021[277] | Instituto Torlak[278] | 14-4-2021 lote de prueba[279] 4-6-2021 producción comercial[280] |
| Uzbekistán | 2 (al año) en 2021[281] | Jurabek Laboratories[282] | 30-7-2021 lote de prueba[282] 7-10-2021 producción comercial[283] |
| Vietnam | 30-40 en 2022[284][285] | Vabiotech[286] y T&T Group[244] | 21-7-2021 lote de prueba[286] |
Además de estos países con centros de producción que manufacturaron dosis de la vacuna para exportación o consumo interno, otros países también planearon la fabricación local en fábricas existentes o de nueva creación:[287]
| PAÍS | NOTAS |
|---|---|
| Angola | 11-2021[288] |
| Alemania | 1-2021 IDT Biologika[289][290][291] |
| Argelia | 9-2021 Saidal Group[292][293] |
| Armenia | 4-2021 Negociaciones producción interna[294] 19-9-2021 Inicio producción Sputnik Light en Liqvor Pharmaceuticals[295] |
| Austria | 2-2021[296] |
| Baréin | 3-6-2021 nueva planta producción[297] |
| China | 29-3-2021 Contrato producción interna Shenzhen Yuanxing Gene-tech[298] 1-4-2021 Contrato producción interna TopRidge Pharma[298] 19-4-2021 Contrato producción interna Hualan Biological Engineering[298][299] |
| Ecuador | 8-2021 acuerdo producción[300] 12-2021 nuevas negociaciones[301] |
| Egipto | 4-2021 Minapharm y su subsidiario alemán ProBioGen[302] |
| España | 3-2021 Zendal[303] |
| Francia | 11-2020[290][291][304] |
| Hungría | finales 2022[305] |
| Italia | 6-2021 acuerdos producción[306] 8-3-2021 Lote de prueba en Adienne Pharma[307][308] |
| Indonesia | 7-2021[309] |
| Líbano | 6-2021 y 10-2022 Arwan Pharmaceutical Industries posibles acuerdos producción[310][311] |
| México | Laboratorios de Biológicos y Reactivos de México Birmex 5-7-2021 lote de prueba[312] 11-2021 producción comercial esperada (4-4,5 millones al mes)[313] 3-2022 no hay producción activa[314] |
| Perú | 2023 nueva planta producción[315] 31-8-2021 acuerdos producción[315] |
| Turquía | 4-2021 Viscoran Ilaç y CinnaGen Pharmaceuticals[316] |
En agosto de 2020, según las autoridades rusas, había al menos veinte países que querían obtener la vacuna. El RDIF anunció planes para vender 100 millones de dosis a la India, 35 millones a Uzbekistán y 32 millones a México, así como veinticinco millones a Nepal y otro tanto a Egipto. En diciembre de 2020, el RDIF había recibido pedidos de más de 1200 millones de dosis de más de cincuenta países. India, Brasil, República Popular China, Corea del Sur y otros países producían suministros para el mercado mundial. En la Unión Europea, RDIF firmó acuerdos de producción con compañías de Italia, Alemania, España y Francia, que estaban sujetos a la aprobación de las agencias europeas. A finales de marzo de 2021, el RDIF declaró que se habían fabricado 33 millones de dosis en Rusia, de las cuales se había exportado menos del 5 %. El fondo ruso firmó en marzo de 2021 un acuerdo con la compañía farmacéutica Adienne para la producción en Italia, lo que sería la primera asociación de este tipo dentro de la UE. La Sputnik V fabricada en Rusia se dirigía a mercados de exportación, debido a la aceptación relativamente baja y al escepticismo generalizado entre los rusos.[306][317] El 10 de marzo de 2021 el grupo biofarmacéutico español Zendal declaró su interés en producir la vacuna, aunque no confirmó que hubiese conversaciones pero sí había recibido propuestas confidenciales. El Ministerio de Salud español dijo no tener conocimiento de ningún contrato para fabricar Sputnik V. El Ministerio de Industria francés tampoco confirmó que alguna empresa en Francia hubiera firmado un contrato de este tipo.[303] En enero de 2021, el desarrollador de Sputnik V estuvo en negociaciones con la compañía alemana IDT Biologika para acordar una posible producción de la vacuna.[289]
A finales de enero de 2022, según la Global Commission for Post-Pandemic Policy, la producción total de vacunas Sputnik V fue de 275 millones de dosis. De ellas, 266,4 millones correspondían a las producidas en Rusia y 8,5 millones dosis más a Kazajistán. En 2022 era séptima vacuna mundial en número de dosis producidas, mostrando grandes diferencias con las primeras: 2647 millones, 2563 millones, 2466 millones, 2274 millones, 752 millones y 321,6 millones de dosis respectivamente.[269] Según el Centro de Epidemiología y Microbiología Gamaleya, en enero de 2022 se habían distribuido a nivel mundial más de 400 millones de vacunas Sputnik V.[318]
Durante la campaña de vacunación en Argentina, y también en otros países, hubo desabastecimiento del segundo componente de la vacuna.[319] La escasez tenía como origen aspectos técnicos de la producción ya que el segundo componente de la vacuna Sputnik V es más costoso de producir, ralentizando la producción de las dosis. El laboratorio Richmond explicó que era debido al bajo rendimiento productivo del cultivo celular debido a sus diferencias genómicas. Su rendimiento es más o menos de un 25 % inferior al del primer componente por lo que hubo más oferta del otro componente. Este segundo componente está basado en el vector adenoviral humano (Ad5), del cual habían llegado hasta marzo de 2021 a Argentina poco más de un millón de dosis y en mayo ochenta mil dosis más. Aproximadamente se alcanzó un total 8,11 millones de dosis de Sputnik V hasta mayo de 2021 de ambos componentes.[320][321] En enero de 2023, Sputnik V aparecía en la lista de las vacunas más administradas para la COVID-19, a escala mundial. Ocupaba el octavo lugar de las vacunas principales, que constituían la casi totalidad de las dieciséis mil millones de dosis producidas.[322][323]
- Véase también: Lista de países relacionados y con datos de producción
Impacto económico y logística
Costos por dosis El precio estimado en el 2020, para cada país, estuvo determinado por factores como los costos de producción y logística. Se pretendía que el costo fuera competitivo, ya que no se buscaba un gran beneficio por lo que no excedería de 10 USD por dosis (21,60 € las dos dosis), lo que la hacía más asequible que las vacunas de otros fabricantes. En Rusia, los gastos de vacunación estaban cubiertos por los programas del seguro de salud.[324][325] El 25 de febrero de 2021 se anunció la reducción a la mitad del precio de venta inicial, 9,60 € las dos dosis en 2021, debido a la optimización de la tecnología de producción industrial y el aumento de los volúmenes de producción.[326] Eslovaquia llegó a publicar su contrato con la vacuna, pudiéndose conocer el precio para Eslovaquia y Hungría que fue de 9,90 € por dosis.[238] También se supo del precio negociado en otros países como en Angola, en abril de 2021 que negoció la compra a 18,5 USD la dosis.[327] En Egipto el costo fue de unos 13 USD en febrero de 2021.[328] Emiratos Árabes Unidos hizo una oferta a Ghana de Sputnik V a un costo de 19 USD por dosis en junio de 2021.[329] En marzo de 2021 Rusia ofreció a Pakistán la vacuna a 26-28 USD por las dos dosis, pero finalmente las vacunas se comercializaron de forma privada a 80 USD las dos dosis.[330][331]
Logística y distribución Debido al tiempo tan limitado para desarrollar la vacuna, el fabricante no realizó pruebas extensas de estabilidad, por lo que mantener los -18 °C fue un complejo problema logístico global. Fue necesario construir grandes almacenes para congelación, adquirir equipos y hubo que realizar ensayos previos con medios de transporte donde colaboraron empresas de logística, productores y centros médicos que tuvieron que adquirir equipos de congelación dentro de estrictas normas.[332] Para cumplir la exigencia de la cadena de frío las vacunas se trasladan en camiones y aviones refrigerados y en destino se almacenan en cámaras frigoríficas. Cada caja isotérmica lleva un dispositivo registrador de datos para certificar que durante todo el proceso hayan estado refrigeradas adecuadamente.[333] La producción de Sputnik V original, estuvo sujeta a diversas variaciones en cuanto a su período de caducidad y sus temperaturas de conservación en función de cada productor. En 2023, las guías técnicas de aplicación, en diversos países, estimaban la temperatura de conservación en -18 °C o inferior.[334] El 20 de enero de 2021 se aprobaron cambios en el certificado de registro inicial para permitir una producción en forma líquida, que admitiría su conservación entre +2 y 8 °C y en la que el fabricante garantizaba su estabilidad. Se suministrarían vacunas con ambas condiciones de almacenamiento ya que esta se fabricaría solo en uno de los seis centros de producción, mientras que el resto continuaría produciendo la vacuna congelada. La producción de esta versión, en octubre de 2021, aún estaba en investigación.[335] En general, las versiones para exportación eran inyectables de solución congelada, por lo que es erróneo considerar este rango de temperatura de entre +2 y 8 °C como generalizado para Sputnik V, ya que mayoritariamente la temperatura de conservación, exceptuando la versión liofilizada, desde su primer registro (11 de agosto de 2020) y hasta enero de 2021, era de -18 °C y solo entonces se incorporó una pequeña parte de la producción en forma líquida con requisitos de temperatura más favorables pero con un rango de caducidad más reducido.[336]
.jpg)
_D.jpg)
Tipos de envasado Sputnik V requiere dos dosis. En la primera dosis se usa, como vector, el adenovirus tipo 26 y en la segunda dosis, que se aplica al cabo de veintiún días o hasta tres meses, se usa el adenovirus tipo 5. La primera, que contiene el componente 1, en el formato de vial de 3 mL tiene tapón azul y cápsula metálica. El segundo vial contiene el componente 2, también de 3 mL, y el tapón de su frasco es rojo. Este formato multidosis especifica que es válido para aplicar cinco dosis y deben inyectarse necesariamente en esa secuencia.[337] Posteriores presentaciones de la vacuna se componen de una caja individual con cinco o diez ampollas monodosis de 0,5 mL o de 1 mL para dos dosis de 0,5 mL. La caja presenta una franja de color azul indicando que se trata del componente 1 y con color rojo para el componente 2. Las ampollas usan el mismo código de color en el texto impreso en ellas.[338] Con otros posibles colores distintos en las tapas se puede identificar el componente 1 o 2: KOMNOHEHT I-KOMNOHEHT II, impreso en el cuerpo del frasco o ampolla.[148]
Condiciones de conservación: formato liofilizado La producción de Sputnik V comenzó en forma liofilizada en noviembre de 2020. Esta versión en polvo de la vacuna permitía su almacenamiento estable a temperaturas entre 2 y 8 °C sobre cero.[339] El formato liofilizado estaba enfocado a una mayor facilidad logística en zonas remotas o países con recursos limitados. Su fabricación es más lenta y costosa y es necesario diluirla antes de su inoculación. Es denominada como Gam-COVID-Vac-Lyo (n° registro: LP-006423 de 25 de agosto de 2020) y fue desarrollada especialmente para el suministro de vacunas en zonas de difícil alcance en la Rusia.[340]
Condiciones de conservación: formato solución congelada El formato de solución congelada es termolábil y requiere mantener una temperatura constante de congelación de −18 °C o menor y estar almacenada en lugar oscuro. Una vez descongelada la vacuna se debe conservar en termos y se administra en un plazo máximo de dos horas. (antes de febrero de 2021, se recomendaba un tiempo máximo de 30 minutos). El tiempo de descongelación se estima entre siete y diez minutos (o entre dos y cinco minutos) y no se podrá volver a congelar. Se debe agitar suavemente y se aplica una dosis de 0,5 mL.[148][341]
Condiciones de conservación: formato líquido Almacenamiento estable a temperaturas entre 2 y 8 °C sobre cero.
Caducidad vacuna La caducidad de la vacuna, en formato líquido, está relacionada con su temperatura de conservación, según recoge la actualización del certificado de registro de la vacuna de 20 de enero de 2021, que se reduce a dos meses, mientras que la producción de la solución congelada (-18 °C) es de al menos seis meses.[342] La fecha de caducidad de Sputnik V fue ampliada en agosto de 2022 de seis meses a un año, dependiendo de los distintos fabricantes. Se verificó que el nivel de calidad se mantenía y se aplicó también a las vacunas con etiquetados previos.[343] En julio de 2025 en un nuevo registro de la vacuna (LP-n° 010753), adaptada a nuevas variantes del virus, se continuaba manteniendo el mismo régimen de forma congelada (-18 °C) para producciones con caducidad entre seis y veinticuatro meses y la vacuna líquida (2-8 °C sobre cero) con caducidad de dos meses.[344]
Distribución, vacunación y percepción pública
Autorización de uso de emergencia por la OMS y la EMA
Evaluación para el uso de emergencia por la OMS
El 20 de agosto de 2020, poco después de la aprobación de la vacuna Sputnik V en Rusia, la oficina de la OMS en Europa inició conversaciones para tratar de obtener más información sobre la vacuna. Se discutieron los diversos pasos e información que serían necesarios para que la OMS realizara sus evaluaciones.[345] El director para Europa, Hans Kluge, dijo el 21 de septiembre de 2020 que la OMS apreciaba enormemente los esfuerzos que había realizado la Federación rusa para desarrollar una vacuna segura y eficaz contra el coronavirus.[346][347]
En enero de 2021, Sputnik V se enfrentó a críticas de los medios occidentales que insistían en que necesitaba más ensayos para ser considerada segura. La OMS denunciaba la desigualdad en la distribución de las vacunas, aunque en ese momento autorizó el uso de una sola vacuna contra el COVID-19.[348] El secretario general de la ONU, Antonio Guterres, el 2 de febrero de 2021 expresó su deseo de que la Organización Mundial de la Salud aprobara lo antes posible la Sputnik V porque podría jugar un papel muy importante en la lucha contra el coronavirus.[349]
En febrero de 2021, La OMS empezó una ronda de consultas sobre Sputnik V, confiando en que la vacuna una vez autorizada para su uso de emergencia, se pondría a disposición de la iniciativa COVAX.[350] El 27 de abril de 2021, aún estaban en discusiones y no se había fijado una fecha para evaluar los datos clínicos ni había programada una reunión de revisión.[351] En mayo de 2021 UNICEF se convirtió en la primera agencia de la ONU en solicitar doscientos veinte millones de dosis de Sputnik V, aun sin estar autorizada para uso de emergencia por la OMS.[352][353] El 2 de junio de 2021 el máximo funcionario de la OMS en Europa dijo que la salud estaba más allá de la política y era optimista sobre la autorización de emergencia. Lamentó que esa postura no fuera compartida por todos reconociendo que en la mayoría de los países la pandemia se politizó muy rápidamente. En ese momento los inspectores estaban en Rusia visitando los diferentes sitios de producción, con el fin de dar una serie de recomendaciones que el fabricante debería cumplir.[354] El director del Fondo Ruso de Inversión Directa (RDIF) esperaba que la OMS aprobase Sputnik V en dos meses.[355] El 23 de junio de 2021 la OMS encontró anomalías en la producción en un fabricante de la vacuna. Describieron seis infracciones en una planta de Pharmstandard-UfaVITA ubicada en Ufá (Rusia), uno de los cuatro sitios de producción de la vacuna que visitó el equipo de inspección. Tenían preocupación por la posible contaminación cruzada y por controles de esterilización insuficientes. También destacaron posibles problemas con los sistemas utilizados para rastrear e identificar lotes de vacunas individuales y preocupaciones por actividades de control de calidad. La atención de los inspectores se centró en cuatro cuestiones técnicas, la mayoría relacionadas con una de las líneas de llenado. La empresa respondió aclarando y publicando detalladamente las cuestiones planteadas. La OMS no tenía objeciones sobre la seguridad y eficacia de la vacuna producida y terminada, ya que Sputnik V se sometía a un estricto control de producción del Centro Gamaleya y el regulador de Salud ruso (Roszdravnadzor). La inspección de la OMS no identificó ningún problema crítico con la producción real de la vacuna, la calidad, los estudios clínicos, los posibles efectos secundarios, ni con el control de calidad.[356][357]
Aunque en junio de 2021, la Organización Mundial de la Salud solo había autorizado el uso de emergencia de seis vacunas contra la COVID-19, entre las que no estaba la Sputnik V, asumía que cada gobierno y autoridad regulatoria de un país podía aprobar su uso, aunque no se hubiese incluido en la lista de la OMS para uso de emergencia.[358] El 6 de julio de 2021 se publica en Nature que las preocupaciones sobre el seguimiento de los efectos secundarios podrían ser la razón por la cual la OMS y la EMA aún no habían emitido una autorización de uso de emergencia. La OMS solicitó más datos al Centro Gamaleya mientras las inspecciones de las instalaciones de ensayos y fabricación de Rusia estaban en curso. Se habían inspeccionado nueve lugares, encontrando la OMS preocupaciones sobre solo uno de ellos.[359]
El Fondo Ruso de Inversión Directa (RDIF) anunció el 13 de julio, que esperaba que la Organización Mundial de la Salud aprobase la vacuna en septiembre u octubre de 2021.[360] En enero de 2022 el Ministerio de Salud de Argentina, por petición de la OMS, aportó datos de estudios sobre la efectividad de la vacuna Sputnik V, para facilitar su aprobación.[361] La ministra argentina, Carla Vizzotti, pidió a la OMS la aprobación de uso de emergencia de la vacuna. Había más de diecinueve millones de argentinos vacunados con Sputnik V y la falta de validación por parte de la OMS era un problema para aquellos que necesitaban viajar al exterior y además generaba dudas sobre la vacuna entre la población.[362]
En marzo de 2022 la OMS estaba en el tramo final del proceso para aprobar la vacuna. Tenía previsto realizar inspecciones en territorio ruso el 7 de marzo y también en la planta de producción Richmond en Argentina. Estas fueron postergadas por los problemas logísticos que se presentaron a raíz del enfrentamiento bélico entre Rusia y Ucrania, lo que dificultaba reservar vuelos a Rusia y utilizar tarjetas de crédito. El 18 de enero del 2022, un mes antes de que se desplegara el conflicto, la OMS había dicho que Rusia ya había presentado la mayoría de los datos solicitados para avanzar con la aprobación de emergencia y se esperaba que eso sucedería durante el primer trimestre del año 2022.[363][364] Aun así, según el subdirector del Centro Gamaleya, Denis Logunov, las consultas con la OMS seguían en curso y se planeaba una nueva fecha para la llegada de la inspección de la organización a Rusia.[365] El 26 de mayo de 2022 la OMS en su relación de vacunas en proceso de evaluación, incluía la vacuna Sputnik V y aclaraba que el proceso se había reiniciado, esperando la finalización de la presentación continua y acciones correctivas y preventivas para la última inspección.[366]
En mayo de 2022 habían sido autorizadas para uso de emergencia por la OMS un total de 11 vacunas pero en agosto de 2023 Sputnik V aún figuraba en la relación de vacunas en proceso de evaluación.[367][368] La vacuna Sputnik V no había sido registrada como vacuna autorizada por la OMS contra la COVID-19 en julio de 2025.
Evaluación para el uso de emergencia por la EMA
El 22 de octubre de 2020, el Fondo Ruso de Inversión Directa (RDIF) solicitó a la Agencia Europea de Medicamentos (EMA) asesoramiento científico para gestionar la autorización de la vacuna Sputnik V. El 19 de enero de 2021, se realizó la consulta contando con la participación de representantes del RDIF y de la EMA y los desarrolladores de la vacuna Sputnik V. El registro de la vacuna en la Unión Europea fue solicitado el 29 de enero de 2021 y se inició el proceso de presentación de la información a la EMA a través del procedimiento de revisión continua. El RDIF estaba abierto a proporcionar toda la información necesaria y afirmó que la Unión Europea podría otorgar su aprobación a la vacuna Sputnik V a principios de marzo de 2021.[369][370]
Aunque la EMA estaba en contacto con el fabricante de la vacuna la UE no tenía intención de comprarla de forma centralizada para los Estados miembros como sí hizo con otras vacunas. La EMA aunque estaba examinando los datos, aún no tenía solicitud formal de autorización. La compañía no tenía en ese momento capacidad de producción en Europa y por tanto no cumplía uno de los criterios más importantes de selección para Europa.[371] Según la EMA el 10 de febrero de 2021 aún no había recibido una solicitud para revisión continua o autorización de comercialización para la Sputnik V, a pesar de informes que indicaban lo contrario. Los desarrolladores si habían recibido asesoramiento científico de la EMA con la última orientación normativa y científica para el desarrollo de la vacuna. El Comité de Medicamentos Humanos y el Grupo de Trabajo sobre la pandemia de la EMA deberían primero dar su conformidad, antes de que los desarrolladores pudieran enviar su solicitud para el inicio del proceso de revisión continua.[372]
En febrero de 2021 se informó que la confusión sobre la oferta de aprobación de la vacuna podría ser el resultado de una solicitud mal dirigida. La presentación de la vacuna para la aprobación del regulador fue enviada a la agencia equivocada, según un documento ruso y una aclaración del proceso de solicitud por parte del regulador. El fondo soberano RDIF que es responsable de comercializar la vacuna, estuvo en disputa con la EMA sobre si se había enviado o no para su aprobación. Se publicó una confirmación de la presentación en el 'Twitter' de Sputnik V, que mostraba que se había enviado a los Directores de Agencias de Medicamentos (HMA). La EMA dijo que la HMA no formaba parte del proceso de solicitud de la aprobación. En enero, la UE negó haber recibido una presentación para la vacuna, pero que se estaba intercambiando asesoramiento científico. En respuesta, RDIF compartió la captura de pantalla que mostraba la documentación enviada el 29 de enero a un portal del sitio web administrado por la HMA y marcado como recibido. La EMA no pudo encontrar la documentación enviada para su revisión. RDIF esperaba que la EMA comenzara la revisión continua y lo anunciara oficialmente en su sitio web.[373] El 15 de febrero de 2021, la EMA envió carta al RDIF con el asunto: 'Nombramiento de relatores del CHMP para Gam-COVID-Vac', informando que el Comité de Medicamentos Humanos (CHMP) había nombrado los revisores para la evaluación inicial de las autorizaciones de comercialización en toda la UE. Según las normas, solo después de recibir la aprobación de los 'relatores' y del Grupo de trabajo contra la pandemia, las autoridades rusas técnicamente podrían registrar la solicitud de revisión continua.[374][375]
El 4 de marzo de 2021, el Comité de Medicamentos Humanos (CHMP) tomó la decisión de iniciar la revisión continua de Sputnik V, siendo este un paso necesario para el proceso de autorización. El solicitante ruso de este medicamento en la UE fue R-Pharm Germany.[376][377] El organismo inició su revisión continua dados los resultados de laboratorio y los estudios clínicos en adultos a través del CHMP. Si el Comité emitiera una opinión positiva, se enviaría a la Comisión Europea para que se transformara en una autorización de comercialización válida para toda la UE.[378][379] El 8 de marzo de 2021, los desarrolladores de Sputnik V exigieron disculpas al jefe de la Agencia Europea de Medicamentos después de llamar a la aprobación de la vacuna 'ruleta rusa'.[380] El 15 de marzo de 2021, la EMA comunicó que podrían aprobar la vacuna, pero que hasta finales de abril no estaban preparados para hacerlo y que más bien sería en mayo de 2021. Simultáneamente algunos gobiernos de la UE estaban considerando iniciar conversaciones con los desarrolladores de Sputnik V. Estos valoraron las solicitudes de cuatro estados de la UE para iniciar el proceso de asegurar suministros debido a la ralentización del proceso por la estrategia de adquisiciones centralizadas de Europa.[381] El mismo día la Unión Europea desestimó públicamente la campaña de Rusia para el suministro de vacunas contra el coronavirus como 'un truco de propaganda de un régimen indeseable'.[382] El 17 de marzo de 2021, el portavoz de la Comisión Europea, Stefan De Keersmaecker, dijo que no mantenía negociaciones con los representantes de Sputnik V sobre la posible compra de la vacuna.[383] Mientras el comisionado francés del Mercado Interno de la Unión Europea, Thierry Breton, afirmó que el bloque europeo no tenía 'absolutamente ninguna necesidad' de Sputnik V, diciendo que tenían claramente la capacidad de administrar de trescientos a trescientos cincuenta millones de dosis de otras vacunas y para julio tendrían la posibilidad de alcanzar la inmunidad en todo el continente.[384]
El 7 de abril de 2021 la EMA planeaba iniciar una investigación para establecer si los ensayos clínicos de Sputnik V cumplieron con los niveles científicos y éticos adecuados. Aunque hubo denuncias de que algunos participantes en los ensayos de la vacuna pudieron haber sido obligados a participar no se dieron detalles. Los productores de la vacuna calificaron el informe como falso e incorrecto.[385] El ministro de Sanidad ruso, Mijaíl Murashko, anunció la llegada de una delegación de la EMA a Moscú el 10 de abril para revisar los ensayos clínicos de Sputnik V. La EMA no comunicó oficialmente esta misión. Este viaje podría suponer la fase final para que el regulador europeo incluyera la vacuna entre las autorizadas.[386] El 13 de abril de 2021 la EMA aseguró que aún no había recibido una solicitud del desarrollador ruso de Sputnik V para estudiar una posible licencia para su uso en la Unión Europea, y advirtió de que solo la respaldaría cuando se demostrase que sus beneficios superaban sus riesgos. La vacuna se encontraba bajo revisión continua, lo que suponía un análisis en tiempo real de los datos compartidos por el desarrollador. Este proceso destinado a acelerar en el futuro el estudio de una posible licencia de uso condicional, no reducía los requisitos para la aprobación de la vacuna.[387] El 29 de abril de 2021 los reguladores de la UE completaron la investigación especial ética en los ensayos clínicos de Sputnik V, pero los resultados solo se publicarían una vez que se hubiesen completado todas las etapas. Un equipo de inspección de la EMA en Moscú realizó una inspección de 'Buenas Prácticas Clínicas' para verificar el estándar internacional de calidad ética y científica para diseñar, registrar e informar de ensayos. El director ejecutivo de la EMA, Emer Cooke, dijo que era una parte adicional del procedimiento de solicitud, pero que seguía siendo parte del proceso normal. Las inspecciones podían ser provocadas por problemas que surjan durante la evaluación del expediente o en inspecciones previas.[388] En mayo de 2021 la EMA inspeccionó las fábricas de Sputnik V en Rusia para corroborar que se cumplían los estándares europeos, asegurándose de que se habían cumplido los estándares éticos en los ensayos clínicos y en los controles de manufacturación.[389]
El proceso de revisión de la vacuna Sputnik V por la OMS y la Agencia Europea de Medicamentos seguía su curso el 4 de junio de 2021.[390] El 16 de junio de 2021 la Unión Europea informó de que la aprobación de la vacuna Sputnik V se retrasaría porque no se enviaron los datos dentro de la fecha límite del 10 de junio. El gobierno alemán, dijo que el hecho de no proporcionar los datos de ensayos clínicos al organismo de control de medicamentos de la UE pospondría cualquier aprobación en el bloque. La aprobación de Sputnik V se retrasaría probablemente hasta septiembre o tal vez hasta fin de año. La EMA dio al desarrollador de la vacuna otra semana para presentar los datos requeridos. El Fondo Ruso de Inversión Directa dijo que se había proporcionado toda la información sobre los ensayos clínicos de la vacuna Sputnik V y que se completó la revisión de las BCP (Buena Práctica Clínica) con la aprobación de la EMA.[391] El 15 de julio de 2021 se publicó que los esfuerzos europeos para evaluar la vacuna Sputnik V se veían obstaculizados por la repetida falta de datos. Aunque las vulneraciones no eran críticas, se asociaban a la falta de experiencia de los desarrolladores de la vacuna con organismos reguladores extranjeros. El RDIF calificó los informes sobre la falta de información como completamente incorrectos.[392][393]
El 12 de julio de 2021 había tres vacunas en revisión continua por la EMA, entre ellas la Sputnik V y otras cuatro ya autorizadas. La EMA no podía proporcionar plazos exactos para la aprobación, ya que dependían del aporte de los datos necesarios para la revisión del CHMP.[394] Según el regulador europeo, Rusia no había proporcionado datos clínicos sobre los efectos adversos de Sputnik V ni sobre el banco de células maestras, su núcleo biológico, lo que era importante para su aprobación.[395]
A mediados de julio de 2021, a pesar de la falta de la aprobación de la OMS y la EMA, Sputnik V se había autorizado en 71 países de todo el mundo. Dos países de la UE: Hungría y Eslovaquia y Serbia, candidato a la UE, aprobaron la vacuna a través de sus propios organismos reguladores, sin la autorización de la EMA.[396][397][398] En agosto de 2021 el RDIF aclaró que el proceso de aprobación por la Agencia Europea de Medicamentos avanzaba de manera positiva y profesional, aunque lamentaba las declaraciones politizadas de la Comisión Europea acerca de falta de información sobre la seguridad. Afirmaron que todos los datos sobre los ensayos clínicos de Sputnik V fueron proporcionados en el marco de los controles de 'Buenas Prácticas Clínicas' rusas y que se recibió un informe positivo de la EMA. Sin embargo, la presidenta de la Comisión Europea, Ursula von der Leyen, insistió en que la EMA no tenía datos válidos suficientes para demostrar la seguridad de la vacuna Sputnik V y aprobar su uso. Por su parte, el ministro de exteriores ruso aseguró que los especialistas de la EMA no habían expresado previamente quejas sobre Sputnik V y su efectividad y calificó de infundados los ataques de Occidente contra las vacunas rusas y el aumento del grado de retórica agresiva.[399]
En julio de 2025 la Agencia Europea de Medicamentos no tenía ningún medicamento contra la COVID-19 bajo evaluación por el Comité de Medicamentos de Uso Humano (CHMP). Solo autorizaba el uso en la UE de cinco vacunas contra el COVID-19 no estando la vacuna Sputnik V entre ellas.[400][401]
Autorización por otros reguladores y aceptación de Sputnik V en el mundo

| setenta y cuatro países, entre ellos: |
● Países que no la han utilizado (o no hay datos de su uso) hasta la fecha:
|
● Países que la han rechazado totalmente posteriormente a su autorización :
|
● Países con autorización parcial:
|
| ◎Vacuna autorizada o aprobada |
| ■Vacuna no autorizada o aprobada |
| ◀Vacuna rechazada después autorización |
| ▶Vacuna autorización limitada |
Evaluación científica y controversias
- Valoraciones críticas
El 10 de agosto de 2020, Svetlana Zavidova, abogada de la Asociación de Organizaciones de Ensayos Clínicos de Rusia, que involucra a las principales compañías farmacéuticas extranjeras, propuso posponer el registro de la vacuna hasta la finalización con éxito de la tercera fase de sus ensayos clínicos. Declaró que tras la aprobación del uso de la vacuna «solo sentía vergüenza por su país» y que «el registro acelerado ya no convertiría a Rusia en un líder en esta carrera, solo expondría a los ciudadanos de Rusia, a un peligro innecesario».[402] Calificaba que vacunar a las personas con un fármaco desconocido podría «desatar una caja de Pandora».[403]
Stephen Griffin, de la Escuela de Medicina de la Universidad de Leeds, declaró que se puede ser «cautelosamente optimista» en la efectividad de las vacunas que tienen por objetivo la proteína de la espícula viral. Dado que el antígeno de Sputnik V es entregado a través de una modalidad distinta, a través de un adenovirus desactivado en vez de a través de un ARN formulado a tal efecto, esto provee flexibilidad para que uno u otro método provea mejores respuestas en ciertos grupos de edades, étnicos, etc. Además el almacenamiento de esta vacuna debe ser más sencillo.[404][405]
Francois Balloux, médico del University College de Londres opinó que la aprobación temprana de la vacuna era una decisión «imprudente e insensata» y además de los efectos sobre la salud frenaría más la aceptación de vacunas.[406] El profesor Paul Offit, director del Centro de Educación sobre Vacunas del Hospital Infantil de Filadelfia, dijo que el anuncio de la aprobación era un «truco político» y que la vacuna no probada podría ser muy dañina. «No se puede usar una vacuna o medicamento sin seguir todas las etapas y haber cumplido con todas ellas», dijo un portavoz de la Organización Mundial de la Salud el 11 de agosto de 2020.[407] El secretario de Salud y Servicios Humanos de Estados Unidos, Alex Azar, dijo en agosto de 2020 que «la cuestión no era ser el primero, la cuestión era tener una vacuna que fuese segura y eficaz para el pueblo estadounidense y los pueblos del mundo».[408] Un experto en salud pública dijo que la rápida aprobación de Gam-COVID-Vac por parte del gobierno ruso estaba tomando atajos y podría dañar la confianza del público si la vacuna resultara ser insegura o ineficaz.[409]
- Valoraciones positivas
En septiembre de 2020 se hizo público que más de cien médicos y profesionales de la salud del Centro Médico Maimónides de Nueva York (EE. UU.), mostraron gran interés por la vacuna Sputnik V. Los datos presentados causaron una gran impresión en los especialistas de la institución. La vacuna funcionó bien en los ensayos clínicos de fase I y II, incluidos los anticuerpos y la inmunidad celular y los efectos secundarios fueron mínimos. El jefe de cardiología indicó que «ya sabemos que la vacuna causa la formación de anticuerpos y es segura, pero ahora deben confirmar que protege contra la infección», afirmó que ninguno de los voluntarios vacunados enfermó y esperaba ensayos con grupos más numerosos.[410]
Stephen Evans, profesor de farmacoepidemiología en la Escuela de Higiene y Medicina Tropical de Londres, declaró en noviembre de 2020 que «los datos son compatibles con que la vacuna sea razonablemente efectiva». Ian Jones, un profesor de virología en la Universidad de Reading, dijo que los resultados eran consistentes con lo que veían con otras vacunas, debido a que el gran mensaje para los científicos es que esta enfermedad (COVID-19) podía ser manejada con vacunas. Estaba de acuerdo en que sus resultados iniciales causaron consternación, pero no pensaba que se debía a que no fueran válidos, solo que los publicaron con excesiva premura: «No veo razón para dudar de los resultados, pienso que será una vacuna útil».[411]
En marzo de 2021 Anthony Fauci, el principal epidemiólogo de EE. UU. y reconocido experto en enfermedades infecciosas a nivel mundial, expresó su buena opinión sobre las vacunas contra el coronavirus desarrolladas en Occidente, Rusia y China y mostró optimismo en relación con la vacuna Sputnik V: «los datos rusos se ven bastante bien».[412][413] El presidente de la Comisión de Vacunación alemana, el virólogo Thomas Mertens, afirmó en marzo de 2021 que Sputnik V era una vacuna buena y está diseñada inteligentemente. La elogió diciendo que los investigadores rusos tienen mucha experiencia con vacunas.[414]
- Sanciones al 48.º Instituto Central de Investigación
La vacuna Sputnik V fue desarrollada por el Centro Gamaleya del Ministerio de Salud ruso en un proyecto de investigación conjunto con el 48.º Instituto Central de Investigación del Ministerio de Defensa ruso. El 27 de agosto de 2020, el Departamento de Comercio de EE. UU. impuso sanciones a este instituto y a otros cuatro centros de investigación rusos, por estar asociados con programas de armas químicas y biológicas. El Kremlin lo negó y calificó la acusación de «absoluta tontería».[415] La medida imponía restricciones de licencia a las empresas estadounidenses que hicieran negocios con las empresas incluidas en la lista negra. El medio de radiodifusión, financiado por el gobierno de los Estados Unidos, Radio Free Europe/Radio Liberty (RFE/RL), acusó a estas instalaciones de investigación rusas de desarrollar armas químicas y biológicas. Sin embargo, RFE/RL reconocía que el Instituto del Ministerio de Defensa ruso estaba comprometido en los intentos de Rusia de desarrollar la primera vacuna COVID-19 del mundo. Medios estatales rusos señalaron que, además de usarse para realizar ensayos clínicos para la vacuna, el 48.º Instituto Central de Investigación del Ministerio de Defensa es donde se encuentran las vacunas contra el ébola y el síndrome respiratorio de Oriente Medio (MERS), así como un vacuna universal contra la gripe estudiada y probada con éxito.[18] Entre otras tareas el 48.º Instituto Central de Investigación incluye el desarrollo de protección médica para el ejército y la población contra infecciones especialmente peligrosas.[416][417]
- Adenovirus tipo Ad5 y VIH
El uso de adenovirus recombinante de serotipo 5 (Ad5) utilizado en la segunda dosis de la vacuna Sputnik V y en otras distintas vacunas creó una polémica debido a su uso en el desarrollo de vacunas para el coronavirus de la COVID-19. Aunque su uso en vacunas es conocido desde hace muchos años, las críticas se basaban en la hipótesis de que el vector Ad5 de uso común puede verse seriamente obstaculizado debido a los anticuerpos neutralizantes inducidos previamente por infecciones de adenovirus naturales, según se vio en ensayos con la vacuna contra el sida en 2004.[418] La compañía Merck desarrolló esta vacuna para el sida que demostró no tener eficacia.[419] Esta vacuna se basaba en el adenovirus Ad5, en el que se insertaron secuencias de genes de proteínas del VIH. Desafortunadamente, alrededor del 40 % de los adultos en países occidentales tienen niveles significativos de inmunidad al Ad5 y esta cifra se eleva al 70 % u 80 % en países donde la prevalencia del VIH es más alta.[420] La inoculación experimental aumentó las posibilidades de que algunas personas pudieran contraer el VIH más adelante.[421] El ensayo se interrumpió debido a la falta de eficacia, pero rápidamente surgieron pruebas de un mayor riesgo de infección por VIH en un subgrupo de participantes. El riesgo de VIH entre todos los vacunados fue significativo en un seguimiento prolongado.[422]
En octubre de 2020 se afirmó que ciertas vacunas COVID-19 podrían aumentar la susceptibilidad al VIH, basándose en los fallidos ensayos de la vacuna del sida. El adenovirus Ad5 de las vacunas fue modificado para transportar al cuerpo el gen de la proteína de superficie del virus del sida. En el caso de la vacuna Sputnik V se insertó un gen que codifica la proteína S de las espículas del virus SARS-CoV-2, al igual que otras vacunas para el coronavirus de la COVID-19. Los vectores adenovirales se consideran completamente seguros y también los más adecuados para la modificación genética. En el mundo hay más de trescientos cincuenta estudios científicos sobre el desarrollo de vectores de adenovirus y su seguridad.[423][424]
Además del componente 2 de la vacuna Sputnik V, una compañía norteamericana elaboró otra vacuna de adenovirus Ad5. En este caso el Ad5 tiene cuatro genes eliminados que reducen las respuestas inmunitarias que desencadena. Utiliza una plataforma Ad5 de segunda generación diseñada para aumentar las respuestas inmunitarias anti-SARS-CoV-2 incluso en individuos inmunes al adenovirus. El productor que se encuentra en Sudáfrica, país con altos niveles de sida, estaba en ensayos clínicos de esta vacuna en marzo de 2021.[425][426] Otra vacuna de Ad5 de origen chino, la Ad5-nCoV estaba en uso. Se probó en Sierra Leona, país también con alta prevalencia del VIH, por lo que era más probable que se pudieran detectar esos problemas. La empresa productora dijo que no habían visto nada al respecto con la vacuna contra el ébola, también con Ad5 y especuló que la susceptibilidad al VIH podría estar limitada a las vacunas Ad5 que producen proteínas del VIH. En una investigación publicada en The Lancet en mayo, los investigadores de la compañía productora reconocieron la posibilidad, la calificaron de controvertida y dijeron que estarían atentos a ella en los ensayos.[427]
- Denuncia anónima de fallecidos por la vacuna Sputnik V
En abril de 2021 el periódico de información internacional EUObserver publicó que seis rusos experimentaron varias complicaciones médicas después de la inyección de Sputnik V y cuatro más, mujeres de 51, 69 y 74 años y una persona no identificada en los documentos, fallecieron según documentos de Rospotrebnadzor (Servicio Federal para la Vigilancia de los Derechos del Consumidor y de la Protección y el Bienestar Humano). Rospotrebnadzor afirmó que esto no se correspondía con la realidad ya que no se había registrado ni una sola muerte y la frecuencia de reacciones adversas no superaba el 0,1 %. Según ellos se investigaba cuidadosamente cada caso de una posible reacción adversa grave. Un denunciante ruso, que pidió permanecer en el anonimato, envió documentos al regulador europeo de medicamentos (EMA) comunicando las muertes y sus causas sin establecer si eran complicaciones relacionadas con la vacuna. EUObserver reconocía que el número de casos problemáticos eran pocos en relación con la cantidad total de vacunados, pero planteaba la cuestión de la transparencia de las estadísticas. La EMA confirmó que la agencia estaba evaluando estos documentos y tomando en serio la seguridad de la vacuna.[428] En Roszdravnadzor, mientras tanto, decían que en Rusia no se había registrado ni un solo caso de fallecimiento debido a la vacunación, que el país monitorizaba el estado de todos los vacunados y se registraban todas las reacciones adversas. El exjefe sanitario de Rusia, Guennadi Onischenko, consideraba que el mensaje de las muertes era desinformación planificada por los competidores interesados de los Estados Unidos.[429] Los efectos secundarios graves con resultado de muerte citados, coincidían en número con los ya conocidos y descritos en los resultados de los ensayos clínicos de fase III. Estos fueron publicados en The Lancet el 2 de febrero de 2021 en el Anexo 12, Apéndice 4 de la publicación: tres de los casos fatales fueron en el grupo de vacunados y uno en el de placebo. De los primeros hubo un caso de fractura de vértebra torácica, y los otros dos de COVID-19 asociado a problemas cardíacos en un caso y endocrino en el otro.[430] Sin embargo los comunicados divulgados en el artículo eran notificaciones preliminares de emergencia por complicaciones postvacunación enviados al Rospotrebnadzor. En uno de los comunicados del 5 de marzo de 2021 no se aportaba ningún dato o circunstancia del paciente, otro del 3 de marzo describía a un paciente que enfermó el 26 de enero, fue ingresado el 5 de febrero con diagnóstico positivo de COVID-19 y diabetes tipo I con cetoacidosis que falleció el 3 de marzo. El tercer informe se refiere a una reacción inusual a la vacunación ocurrida el 4 de marzo por una persona que cayó repentinamente en la calle con convulsiones, pérdida del conocimiento y muerte. Se diagnosticó complicación postvacunación y muerte súbita. Se había vacunado con la primera dosis el 10 de febrero con fecha de la segunda dosis desconocida. La última notificación registra la muerte de un paciente en Perm durante el periodo posvacunal. La primera dosis la realizó el 1 de marzo sin complicaciones posvacunales, incluso para los que se vacunaron en el mismo lugar con la misma serie y vial de vacuna. El siguiente día lo pasó con algo de fiebre y con todos los parámetros normales incluidos los cardíacos y respiratorios. El día 3 falleció en su domicilio con diagnóstico preliminar de enfermedad isquémica. El 7 de abril de 2021 Denis Logunov, el creador de la vacuna Sputnik V, dijo haber solicitado información sobre el caso de la mujer de 51 años que murió repentinamente en la región de Leningrado y dijo que no era falso y que se había llevado a cabo una investigación sin encontrarse conexión con la vacunación.[431]
- Discrepancias de datos e informes deficientes en ensayos clínicos
Sputnik V fue registrada para uso de emergencia antes de que se completara la fase III de los ensayos, esto hizo que un grupo de treinta y siete científicos de todo el mundo firmara y publicara una carta abierta en septiembre del 2020. En ella se destacan sospechas sobre los datos de los primeros ensayos de la vacuna y la negativa a suministrar datos importantes.[432] En noviembre el Centro de Investigación Gamaleya mostró una tasa de eficacia del 91,6 % para su vacuna basándose en análisis provisionales de los datos de la fase III, sin embargo el Centro no incluyó los datos de apoyo sin procesar.[7] En mayo de 2021 algunos de los mismos científicos que escribieron la carta abierta de septiembre enviaron otra nota a The Lancet insistiendo en sus preocupaciones.[433] Los nueve científicos y académicos de Rusia, EE. UU., Francia, Italia y Países Bajos dirigidos por Enrico Bucci, destacaron las discrepancias de datos, las inconsistencias numéricas y los informes deficientes de los datos provisionales publicados en las fases I, II y III. Investigadores del Centro Gamaleya en una carta de respuesta publicada simultáneamente en la misma revista, dijeron que los reguladores de muchos países habían aprobado la vacuna basándose en los datos proporcionados. También dijeron que el análisis de datos de fase I/II y III fue revisado por pares antes de la publicación y que su investigación cumplía totalmente con los estándares internacionales de ensayos clínicos y la seguridad e inmunogenicidad de la vacuna Sputnik V había sido confirmada en múltiples estudios. Aun así el Centro Gamaleya aún no había presentado los datos sin procesar después de numerosas solicitudes. Los investigadores destacaron, respecto a la eficacia de la vacuna en diferentes grupos de edad, que la variación entre las franjas de edad osciló solo entre el 90 % y el 92,7 %. Gamaleya respondió que los valores confirman que la efectividad de la vacuna no difiere entre grupos de edad. También encontraron inconsistencia entre el número de pacientes evaluados para el ensayo (35 963) y el número de pacientes aleatorizados (21 977). El registro de ClinicalTrials.gov para el ensayo afirmó que se inscribieron 33 758 pacientes. Los autores de la carta esperaban que esta cifra fuese igual al número de participantes examinados o aleatorizados. Además, no había información sobre la exclusión de 13 986 participantes. En respuesta, Logunov, del Gamaleya, explicó que algunos de los voluntarios fueron evaluados y aún no habían sido aleatorizados, y otros fueron excluidos de acuerdo con los criterios de exclusión o no cumplieron con los criterios de inclusión. También dijo que algunas inconsistencias numéricas eran simples errores de tipeo. El Centro Gamaleya dijo que solo pondría a disposición los datos completos una vez se completara el estudio y solo si ciertas partes interesadas estaban de acuerdo.[434][435] Los creadores de la vacuna también respondieron a la queja de que los valores de títulos de anticuerpos, después de la vacunación, no deberían mostrar valores idénticos. Explican que es obvio que después de una única inmunización, el pico de la respuesta inmunitaria se alcanza entre 3 y 4 semanas después, pudiendo llegar a una meseta. Dado que el número de valores que puede tomar una variable es limitado (800, 1600, 3200, 6400), no es improbable obtener los mismos patrones en la meseta de respuesta en muestras pequeñas.[436][437][438]
- Estudio australiano sobre la eficiencia por edades
Un estudio de científicos australianos, publicado el 22 de junio de 2022, cuestionó los resultados de los ensayos clínicos de la vacuna Sputnik V. Se consideró que era muy poco probable que la eficacia distribuida por edad que se publicó en los ensayos de fase III, se hubiese obtenido de datos experimentales genuinos. El científico que dirigió el estudio aclaró que no quería decir que la vacuna no funcione, aunque no creía que se pudiera confiar en estos resultados.[439] En el análisis publicado los científicos planteaban preocupaciones sobre la supuesta excesiva similitud de la eficacia entre los grupos de edad para la vacuna Sputnik V. Se preguntaron cuáles eran las probabilidades de que las eficacias observadas para todos los subgrupos de edad estuvieran dentro del rango de eficacias por edad declaradas por las distintas vacunas. Los investigadores obtuvieron cifras de eficacia de la vacuna y tasas de infección de cada cohorte en los cinco estudios. Luego, los conectaron a un modelo de simulación y realizaron las ensayos 1000 y luego 50 000 veces para ver con qué frecuencia cada estudio podía producir la misma combinación de resultados. Las eficacias observadas de todos los subgrupos de edad cayeron dentro de los límites de eficacia para los subgrupos de edad según lo publicado solo entre un 23,8 % y hasta un 51,1 % en varias vacunas. En el caso de Sputnik V, el 0,0 % de los ensayos simulados tenían todos los subgrupos de edad dentro de los límites de las estimaciones de eficacia descritas lo publicado previamente. En la simulación 50 000 ensayos de la vacuna Sputnik, el 0,026 % estaba dentro de los límites de las estimaciones de eficacia. Cuestionaron que todos los subgrupos en el ensayo de Sputnik V tuvieran una eficacia de más del 90 % lo que era demasiado idéntico para ser posible. The Lancet describió su interés pero no había suficiente evidencia de que los resultados hubieran sido falsificados.[440]
Referencias
- ↑ a b c «Регистрационное удостоверение» [certificado de registro]. https://grls.rosminzdrav.ru/(registro estatal de medicamentos) (en ruso). 11 de agosto de 2020. Consultado el 29 de mayo de 2022.
- ↑ «Russia registers 1st coronavirus vaccine in the world» [Rusia registra la primera vacuna mundial contra el coronavirus]. AnadoluAgency (en inglés). 11 de agosto de 2020. Consultado el 11 de agosto de 2020.
- ↑ «Russia has launched the world’s first COVID-19 vaccine: Here's all you need to know» [Rusia ha lanzado la primera vacuna COVID-19 del mundo: Esto es todo lo que hay que saber]. Firstpost (en inglés). 11 de agosto de 2020. Consultado el 11 de agosto de 2020.
- ↑ «"Гам-КОВИД-Вак": Россия первой в мире зарегистрировала вакцину от коронавируса» ["GAM-COVID-VAC": Rusia es el primer país del mundo en registrar una vacuna contra el coronavirus]. Russia-24 (en ruso). 11 de agosto de 2020. Consultado el 11 de agosto de 2020.
- ↑ «Минздрав России зарегистрировал первую в мире вакцину от COVID-19» [El Ministerio de Sanidad ruso registra la primera vacuna del mundo contra el COVID-19]. Ministry of Health of the Russian Federation (en ruso). 11 de agosto de 2020. Consultado el 11 de agosto de 2020.
- ↑ «Vacunas de Adenovirus». sputnikvaccine.com. Consultado el 28 de diciembre de 2020.
- ↑ a b c d e f Logunov, Denis Y; Dolzhikova, Inna V; Zubkova, Olga V; Tukhvatullin, Amir I; Shcheblyakov, Dmitry V; Dzharullaeva, Alina S; Grousova, Daria M; Erokhova, Alina S et al. (4 de septiembre de 2020). «Safety and immunogenicity of an rAd26 and rAd5 vector-based heterologous prime-boost COVID-19 vaccine in two formulations: two open, non-randomised phase 1/2 studies from Russia» [Seguridad e inmunogenicidad de una vacuna COVID-19 heteróloga de refuerzo primario basada en vectores rAd26 y rAd5 en dos formulaciones: dos estudios de fase 1/2 abiertos, no aleatorizados, de Rusia]. The Lancet (en inglés). ISSN 0140-6736. doi:10.1016/s0140-6736(20)31866-3. Consultado el 22 de septiembre de 2020.
- ↑ a b Callaway, Ewen (11 de agosto de 2020). «Russia’s fast-track coronavirus vaccine draws outrage over safety» [La vacuna rusa acelerada contra el coronavirus suscita indignación por su seguridad]. Nature (en inglés) 584 (7821): 334-335. doi:10.1038/d41586-020-02386-2. Archivado desde el original el 11 de agosto de 2020. Consultado el 26 de diciembre de 2020.
- ↑ Mahase, Elisabeth (13 de agosto de 2020). «Covid-19: Russia approves vaccine without large scale testing or published results» [Covid-19: Rusia aprueba la vacuna sin pruebas a gran escala ni resultados publicados]. BMJ (en inglés) 370. ISSN 1756-1833. PMID 32816758. doi:10.1136/bmj.m3205. Consultado el 26 de diciembre de 2020.
- ↑ Kelland, Kate (11 de agosto de 2020). «Scientists ask: Without trial data, how can we trust Russia's COVID vaccine?» [Los científicos se preguntan: sin datos de los ensayos, ¿cómo podemos confiar en la vacuna rusa COVID?]. Reuters (en inglés). Consultado el 26 de diciembre de 2020.
- ↑ a b c d e Logunov, Denis Y.; Dolzhikova, Inna V.; Shcheblyakov, Dmitry V.; Tukhvatulin, Amir I.; Zubkova, Olga V.; Dzharullaeva, Alina S.; Kovyrshina, Anna V.; Lubenets, Nadezhda L. et al. (2 de febrero de 2021). «Safety and efficacy of an rAd26 and rAd5 vector-based heterologous prime-boost COVID-19 vaccine: an interim analysis of a randomised controlled phase 3 trial in Russia» [Seguridad y eficacia de una vacuna COVID-19 heteróloga de refuerzo primario basada en vectores rAd26 y rAd5: análisis provisional de un ensayo aleatorizado y controlado de fase III realizado en Rusia]. The Lancet (en inglés) 0 (0). ISSN 0140-6736. doi:10.1016/S0140-6736(21)00234-8. Consultado el 4 de febrero de 2021.
- ↑ «РФПИ анонсировал старт массовой вакцинации от COVID-19 в РФ в октябре» [RDIF anuncia el lanzamiento de la vacunación masiva contra COVID-19 en Rusia en octubre]. Interfax (en ruso). 11 de agosto de 2020. Consultado el 11 de agosto de 2020.
- ↑ «Argentina's president sits for Russian Covid jab» [El presidente de Argentina se sienta para recibir una inyección rusa para el COVID]. France 24 (en inglés). 21 de enero de 2021. Consultado el 4 de febrero de 2021.
- ↑ «Cambodia issues emergency use for Sputnik V vaccine» [Camboya emite uso de emergencia para vacuna Sputnik V]. www.english.cambodiadaily (en inglés). 31 de octubre de 2021. Consultado el 29 de mayo de 2022.
- ↑ «La vacuna Sputnik V obtuvo aprobación permanente completa en Rusia». www.prnewswire. 4 de febrero de 2022. Consultado el 5 de diciembre de 2022.
- ↑ «Vacuna rusa: cuáles son los antecedentes del laboratorio que la desarrolla». www.tn.com.ar. Argentina. 25 de diciembre de 2020.
- ↑ «Russia’s RDIF & Prominent Government Lab Progress COVID-19 Vaccine: Production Facility Readied in the Moscow Region» [La RDIF rusa y un destacado laboratorio gubernamental avanzan en la vacuna COVID-19: Instalación de producción preparada en la región de Moscú]. Trial Site News (en inglés estadounidense). 10 de junio de 2020. Consultado el 13 de agosto de 2020.
- ↑ a b «Минобороны сообщило о начале испытаний российской вакцины от коронавируса на 50 военнослужащих-добровольцах» [El Ministerio de Defensa anunció el inicio de los ensayos de la vacuna rusa contra el coronavirus en 50 soldados voluntarios]. www.militarynews.ru (en ruso). 2 de junio de 2020. Consultado el 10 de diciembre de 2022.
- ↑ «Мы называем коронавирус «липуч и летуч» – Сергей Борисевич» [Llamo al coronavirus "Lipuch y Letuch" - Sergey Borisevich]. www.tvr24.tv (en ruso). 2 de junio de 2020. Archivado desde el original el 30 de abril de 2021. Consultado el 10 de diciembre de 2022.
- ↑ «Шойгу рассказал о сроках готовности вакцины от COVID-19, разработанной военными» [Shoigu habló sobre el momento de la preparación de la vacuna contra COVID-19, desarrollada por los militares]. www.dp.ru (en ruso). 26 de mayo de 2020. Consultado el 10 de diciembre de 2022.
- ↑ «Medical Microbiology Department» [Departamento de Microbiología Médica]. www.gamaleya.org (en inglés). 2022-12. Consultado el 10 de diciembre de 2022.
- ↑ «Мишустин: "Спутник V" - одна из самых лучших востребованных вакцин в мире» [Mishustin: Sputnik V es una de las vacunas más demandadas del mundo]. www.rg.ru (en ruso). 2022-12. Consultado el 10 de diciembre de 2022.
- ↑ «Centro Gamaleya crea tecnología para adaptar vacunas a variantes del covid en 2 días». www.baenegocios.com. 2 de abril de 2021. Consultado el 3 de julio de 2021.
- ↑ «Первое большое интервью создатель российской вакцины от коронавируса Денис Логунов дал «Медузе»» [Denis Logunov, creador de la vacuna rusa contra el coronavirus, concedió la primera gran entrevista a Meduza]. Meduza (en ruso). 23 de julio de 2020. Consultado el 22 de junio de 2021.
- ↑ «China demoró información sobre el COVID-19, según revelan documentos». www.eluniverso.com. 2 de junio de 2020. Consultado el 25 de junio de 2021.
- ↑ «Director del centro ruso que creó la vacuna Sputnik V: "Hemos engañado a todos, al virus, al sistema inmune"». www.actualidad.rt.com. 21 de diciembre de 2020. Archivado desde el original el 21 de diciembre de 2020. Consultado el 29 de enero de 2023.
- ↑ a b c «Hemos engañado al virus». www.youtube.com. 21 de diciembre de 2020. Archivado desde el original el 30 de enero de 2023. Consultado el 10 de febrero de 2023.
- ↑ «The first registered vaccine against COVID-19» [La primera vacuna registrada contra COVID-19]. Sputnikvaccine (en inglés). Consultado el 11 de agosto de 2020.
- ↑ Fundéu (26 de febrero de 2021). ««Sputnik V», lectura». Fundéu. Consultado el 2 de marzo de 2021.
- ↑ «No más dudas. La V de la vacuna Sputnik, ¿es por el número romano o la ve baja?: la RAE lo aclara». www.clarin.com (en ewé). 26 de febrero de 2021. Consultado el 24 de junio de 2021.
- ↑ «Mensaje del jefe del proyecto Sputnik V: "Deseamos al pueblo argentino una victoria decisiva sobre esta enfermedad"». El diario AR. 24 de diciembre de 2020. Consultado el 24 de junio de 2021.
- ↑ «Глава РФПИ объяснил значение буквы "V" в названии вакцины "Спутник V"» [El director del RDIF explica el significado de la letra "V" en nombre de la vacuna Sputnik V]. www.tass.ru (en ruso). 24 de diciembre de 2020. Consultado el 24 de junio de 2021.
- ↑ «Russia’s approval of a COVID-19 vaccine is less than meets the press release» [La aprobación de la vacuna rusa contra la COVID-19 no cumple con lo que promete el comunicado de prensa]. www.science.org (en inglés). 11 de agosto de 2020. Consultado el 18 de mayo de 2021.
- ↑ «О вакцине для профилактики новой коронавирусной инфекции COVID-19 «Гам-КОВИД-Вак», разработанной ФГБУ «НИЦЭМ им. Н.Ф.Гамалеи» Минздрава России» [Acerca de la vacuna para prevenir la nueva infección por coronavirus COVID-19, "Gam-COVID-Vac", desarrollada por el Centro Nacional de Investigación Gamaleya]. www.roszdravnadzor.gov.ru (en ruso). 12 de agosto de 2020. Archivado desde el original el 13 de agosto de 2020. Consultado el 29 de enero de 2023.
- ↑ «Ministry of Health of the Russian Federation has issued a registration certification Nº ЛП-006395 dated 11 August 2020 for a vaccine to prevent the novel coronavirus infection COVID-19» [El Ministerio de Sanidad de la Federación Rusa ha emitido un certificado de registro N.º ЛП-006395 con fecha 11 de agosto de 2020 para una vacuna destinada a prevenir la nueva infección por coronavirus COVID-19]. www.roszdravnadzor.gov.ru (en inglés). 11 de agosto de 2020. Archivado desde el original el 26 de diciembre de 2020. Consultado el 29 de enero de 2023.
- ↑ «The Sputnik V vaccine’s efficacy is confirmed at 91.4% based on data analysis of the final control point of clinical trials» [La eficacia de la vacuna Sputnik V se confirma en un 91,4% a partir del análisis de los datos del punto de control final de los ensayos clínicos]. www.sputnikvaccine.com (en inglés). Consultado el 18 de diciembre de 2020.
- ↑ Sahuquillo, María R. (17 de diciembre de 2020). «Argentina se enreda con la vacuna rusa días antes de la llegada al país de las primeras dosis». El País. Consultado el 23 de diciembre de 2020.
- ↑ «La vacuna rusa no es para mayores de 60 años dijo Putin». Sucesos Rufino. 17 de diciembre de 2020. Consultado el 23 de diciembre de 2020.
- ↑ «Sputnik V: qué dijeron desde Rusia de la restricción de la vacuna para mayores de 60». InfoBAE. 17 de diciembre de 2020.
- ↑ «Coronavirus: ahora Rusia dice que empezaría a vacunar a las personas mayores de 60 años la semana que viene». InfoBAE. 20 de diciembre de 2020.
- ↑ «Vladimir Putin. Tras aprobación de Sputnik V en mayores de 60, acepta vacunarse contra Covid». El Universal. 27 de diciembre de 2020. Consultado el 28 de diciembre de 2020.
- ↑ «Coronavirus: Russia's Putin gets vaccine but without cameras» [Coronavirus: Putin se vacuna pero sin cámaras]. BBC News (en inglés). 23 de marzo de 2021. Consultado el 18 de mayo de 2021.
- ↑ «Putin, in COVID-19 vaccine push, says he got Sputnik V shot» [Putin, impulsando la vacuna COVID-19, dice que recibió la vacuna Sputnik V]. www.reuters.com (en inglés). 30 de junio de 2021. Consultado el 5 de julio de 2021.
- ↑ «Putin Awards State Prizes to Sputnik V Developers» [Putin otorga premios estatales a los desarrolladores del Sputnik V]. www.sputniknews.com (en inglés). 12 de junio de 2021. Archivado desde el original el 12 de junio de 2021. Consultado el 5 de agosto de 2021.
- ↑ «Разработчик вакцины "Спутник V" стал академиком РАН» [El desarrollador de la vacuna Sputnik V se convirtió en académico de la Academia de Ciencias de Rusia]. www.nauka.tass.ru (en ruso). 2 de junio de 2022. Consultado el 3 de junio de 2022.
- ↑ «Sputnik V vaccine granted full permanent approval in Russia» [Vacuna Sputnik V obtuvo aprobación permanente completa en Rusia]. www.ptinews.com (en inglés). 5 de febrero de 2022. Consultado el 3 de junio de 2022.
- ↑ «"Спутник V" получил постоянную регистрацию в России» [Sputnik V recibió registro permanente en Rusia]. www.tass.ru (en ruso). 4 de febrero de 2022. Consultado el 4 de junio de 2022.
- ↑ «El Fondo Ruso de Inversión Directa (RDIF)». www.sputnikvaccine.com. 2022. Consultado el 10 de diciembre de 2022.
- ↑ «Overview» [Visión general]. www.rdif.ru (en inglés). 28 de febrero de 2022. Consultado el 10 de diciembre de 2022.
- ↑ «Advisory: APT29 targets COVID-19 vaccine development» [Aviso: APT29 apunta al desarrollo de la vacuna COVID-19]. www.ncsc.gov.uk (en inglés). 16 de julio de 2020. Consultado el 3 de agosto de 2021.
- ↑ «Coronavirus: Russian spies target Covid-19 vaccine research» [Coronavirus: espías rusos apuntan a la investigación de la vacuna Covid-19]. www.bbc.com (en inglés). 16 de julio de 2020. Consultado el 3 de agosto de 2021.
- ↑ «Creadores de una vacuna rusa contra el covid-19 están dispuestos a "compartir sus secretos" con colegas extranjeros». www.actualidad.rt.com. 17 de julio de 2020. Consultado el 3 de agosto de 2021.
- ↑ «El Centro Gamaleya sufrió ataques informáticos durante el desarrollo de la vacuna Sputnik V». www.actualidad.rt.com. 26 de septiembre de 2020. Consultado el 3 de agosto de 2021.
- ↑ «Rusia sospecha que una empresa de EE.UU. viola la patente de Sputnik V». www.actualidad.rt.com. 22 de marzo de 2021. Consultado el 3 de agosto de 2021.
- ↑ «Минобороны выбрало добровольцев для испытания вакцины от коронавируса» [El Ministerio de Defensa ha seleccionado voluntarios para probar una vacuna contra el coronavirus.]. www.kp.ru (en ruso). 2 de junio de 2020. Archivado desde el original el 10 de junio de 2020. Consultado el 14 de junio de 2025.
- ↑ «Прививка от коронавируса будет как обычный укол и даст защиту на год» [La vacuna contra el coronavirus será como una inyección regular y brindará protección durante un año]. www.kp.ru (en ruso). 18 de junio de 2020. Archivado desde el original el 18 de junio de 2020. Consultado el 6 de febrero de 2023.
- ↑ «Реестр разрешений на проведение клинических исследований [РКИ]» [Registro de Autorización de Ensayos Clínicos [RCT]]. www.grls.rosminzdrav.ru (en ruso). 25 de agosto de 2020. Consultado el 3 de junio de 2022.
- ↑ «Clinical Trial of Efficacy, Safety, and Immunogenicity of Gam-COVID-Vac Vaccine Against COVID-19 (RESIST)» [Ensayo Clínico de Eficacia, Seguridad e Inmunogenicidad de la Vacuna Gam-COVID-Vac Contra el COVID-19 (RESIST)]. www.clinicaltrials.gov (en inglés). 7 de septiembre de 2020. Consultado el 3 de junio de 2022.
- ↑ «Минздрав России выдал Центру Гамалеи разрешение на проведение пострегистрационного клинического исследования вакцины от коронавируса» [El Ministerio de Salud de Rusia emitió el permiso del Centro Gamaleya para realizar un ensayo clínico posterior al registro de una vacuna contra el coronavirus]. www.minzdrav.gov.ru (en ruso). 25 de agosto de 2020. Consultado el 3 de junio de 2022.
- ↑ «Sputnik V: The Lancet publicó los datos del ensayo de la esperada "fase 3"». www.infofueguina.com. 2 de febrero de 2021. Consultado el 3 de junio de 2022.
- ↑ «Clinical Trial of Efficacy, Safety, and Immunogenicity of Gam-COVID-Vac Vaccine Against COVID-19 in Belarus» [Ensayo clínico de eficacia, seguridad e inmunogenicidad de la vacuna Gam-COVID-Vac contra la COVID-19 en Bielorrusia]. www.clinicaltrials.gov (en inglés). 28 de septiembre de 2020. Consultado el 3 de junio de 2022.
- ↑ «Belarus planning 100-person clinical trial of Russia's COVID-19 vaccine» [Bielorrusia planea ensayo clínico de 100 personas de vacuna rusa contra COVID-19]. www.reuters.com (en inglés). 17 de septiembre de 2020. Consultado el 3 de junio de 2022.
- ↑ «Hadassah bringing 1.5 million doses of Russian COVID-19 vaccine to Israel» [Hadassah trae 1,5 millones de dosis de la vacuna rusa COVID-19 a Israel]. www.m.jpost.com (en inglés). 5 de noviembre de 2020. Consultado el 3 de junio de 2022.
- ↑ «Israel vying to take part in Russia's Phase III coronavirus vaccine trial» [Israel compite por participar en el ensayo de vacuna de coronavirus de fase III de Rusia]. www.m.jpost.com (en inglés). 21 de agosto de 2020. Consultado el 3 de junio de 2022.
- ↑ «Clinical Trial of the Immunogenicity, Safety, and Efficacy of the Gam-COVID-Vac Vaccine Against COVID-19 in Venezuela (VENEZUELA)» [Ensayo Clínico de Inmunogenicidad, Seguridad y Eficacia de la Vacuna Gam-COVID-Vac Contra el COVID-19 en Venezuela (VENEZUELA)]. www.clinicaltrials.gov (en inglés). 24 de noviembre de 2020. Consultado el 3 de junio de 2022.
- ↑ «Comienza fase 3 de ensayos de la vacuna Sputnik V en Venezuela». www.telesur,net. 15 de octubre de 2020. Archivado desde el original el 15 de octubre de 2020. Consultado el 3 de junio de 2022.
- ↑ «UAE volunteers receive Russian COVID-19 vaccine» [Voluntarios de los EAU reciben la vacuna rusa contra el COVID-19]. www.khaleejtimes (en inglés). 10 de enero de 2021. Consultado el 3 de junio de 2022.
- ↑ «India says its safety study of Sputnik V vaccine comparable to Russian trial» [India dice que su estudio de seguridad de la vacuna Sputnik V es comparable al ensayo ruso]. www.reuters.com (en inglés). 13 de abril de 2021. Consultado el 3 de junio de 2022.
- ↑ «Dr Reddy’s gets DCGI nod for Covid-19 vaccine Sputnik V Phase III trials» [Dr. Reddy's obtiene el visto bueno de DCGI para los ensayos de fase III de la vacuna para el Covid-19 Sputnik V]. www.timesofindia.indiatimes.com (en inglés). 15 de enero de 2021. Consultado el 3 de junio de 2022.
- ↑ «Russian coronavirus vaccine trials to be held in Saudi Arabia» [Los ensayos de la vacuna rusa contra el coronavirus se llevarán a cabo en Arabia Saudita]. www.arabnews.com (en inglés). 17 de julio de 2020. Consultado el 3 de junio de 2022.
- ↑ Boadle, Anthony (23 de octubre de 2020). «Second Brazilian company to produce Russia's Sputnik V COVID-19 vaccine» [Segunda empresa brasileña en producir la vacuna rusa Sputnik V COVID-19]. www.reuters.com (en inglés). Consultado el 4 de febrero de 2021.
- ↑ «Comenzarán los ensayos de la vacuna combinada Sputnik-AstraZeneca en Medio Oriente». Infobae.com. 4 de febrero de 2021. Consultado el 23 de junio de 2021.
- ↑ ««Rusia anuncia un estudio sobre la combinación de las vacunas Sputnik V y AstraZeneca»». www.actualidad.rt.com. 2 de febrero de 2021. Archivado desde el original el 3 de febrero de 2021. Consultado el 23 de junio de 2021.
- ↑ «Empiezan los ensayos clínicos de la combinación de las vacunas Sputnik V y AstraZeneca». www.actualidad.rt.com. 20 de febrero de 2021. Archivado desde el original el 20 de febrero de 2021. Consultado el 6 de febrero de 2023.
- ↑ «Oxford-AstraZeneca hará ensayos combinando su vacuna contra el coronavirus con la rusa Sputnik V». bbc.com. 11 de diciembre de 2020. Consultado el 23 de junio de 2023.
- ↑ «RDIF, The Gamaleya National Center, AstraZeneca and R-Pharm sign an agreement to cooperate on COVID-19 vaccine development» [RDIF, el Centro Nacional Gamaleya, AstraZeneca y R-Pharm firman un acuerdo para cooperar en el desarrollo de la vacuna COVID-19]. The Russian Direct Investment Fund. 21 de diciembre de 2020.
- ↑ «Azərbaycan dünyada ilk olaraq “Sputnik V” və “AstraZeneca” şirkətlərinin COVID-19-a qarşı olan vaksinlərin birgə tətbiqi tədqiqatına icazə verdi» [Azerbaiyán autoriza por primera vez en el mundo un estudio conjunto de vacunas contra la COVID-19 de Sputnik V y AstraZeneca]. www.sehiye.gov.az (en azerbaiyano). 9 de febrero de 2021. Archivado desde el original el 9 de febrero de 2021. Consultado el 6 de febrero de 2023.
- ↑ «Study in Adults to Determine the Safety and Immunogenicity of AZD1222, a Non-replicating ChAdOx1 Vector Vaccine, Given in Combination With rAd26-S, Recombinant Adenovirus Type 26 Component of Gam-COVID-Vac Vaccine, for the Prevention of COVID-19» [Estudio en adultos para determinar la seguridad e inmunogenicidad de AZD1222, una vacuna vectorial ChAdOx1 no replicante, administrada en combinación con rAd26-S, adenovirus recombinante tipo 26 componente de la vacuna Gam-COVID-Vac, para la prevención de la COVID-19]. ClinicalTrials.gov. U.S. National Library of Medicine. 14 de enero de 2021. NCT04686773. Consultado el 9 de febrero de 2021.
- ↑ «AstraZeneca Vax - Sputnik V Combination Study» [Estudio de combinación AstraZeneca Vax - Sputnik V]. clinicaltrials.gov (en inglés). 24 de diciembre de 2020. Consultado el 23 de junio de 2021.
- ↑ «Coronavirus: why combining the Oxford vaccine with Russia's Sputnik V vaccine could make it more effective» [Coronavirus: por que combinar la vacuna Oxford con la vacuna Sputnik V de Rusia podría hacerla más efectiva]. gavi.org (en inglés). 24 de enero de 2021. Consultado el 23 de junio de 2021.
- ↑ «AstraZeneca Vax – Sputnik V Combination Study» [Estudio de la combinación de vacunas AstraZeneca y Sputnik V]. www.astrazenecagrouptrials.pharmacm.com. 1 de marzo de 2021. Archivado desde el original el 24 de junio de 2021. Consultado el 23 de junio de 2021.
- ↑ «Las vacunas de AstraZeneca y Sputnik V combinadas podrían generar una inmunidad de 2 años». infobae.com. 31 de diciembre de 2020. Consultado el 23 de junio de 2021.
- ↑ «Russian Health Ministry rejects study of combination of AstraZeneca, Sputnik V vaccines» [El Ministerio de Salud ruso rechaza el estudio de la combinación de las vacunas AstraZeneca y Sputnik V]. Tass.com (en inglés). 28 de mayo de 2021. Consultado el 23 de junio de 2021.
- ↑ «Russia declines to approve combined AstraZeneca, Sputnik V vaccine trials» [Rusia se niega a aprobar ensayos combinados de vacunas AstraZeneca y Sputnik V]. Financialpost.com (en inglés). 28 de mayo de 2021. Consultado el 23 de junio de 2021.
- ↑ «В России одобрили совместные испытания вакцин «Спутник Лайт» и AstraZeneca» [Rusia aprobó ensayos conjuntos de vacunas Sputnik Light y AstraZeneca]. www.lenta.ru (en ruso). 27 de julio de 2021. Consultado el 27 de julio de 2021.
- ↑ ««El Ministerio de Salud ruso aprueba un estudio de la combinación de las vacunas Sputnik Light y la de AstraZeneca»». www.actualidad.rt.com. 26 de julio de 2021. Archivado desde el original el 2021-07-26-2021. Consultado el 6 de febrero de 2023.
- ↑ «El primer estudio mundial de la combinación de la vacuna "astrazeneca" y el primer componente de la vacuna "sputnik v" (el fármaco "sputnik light") en Azerbaiyán». www.sputnikvaccine.com. 30 de julio de 2021. Consultado el 30 de julio de 2021.
- ↑ «Initial results of AstraZeneca, Sputnik V 'mix & match' vaccine joint trials show no serious adverse events» [Los resultados iniciales de los ensayos conjuntos de vacunas AstraZeneca, Sputnik V 'mix & match' no muestran eventos adversos graves]. www.aninews.in (en inglés). 30 de julio de 2021. Consultado el 30 de julio de 2021.
- ↑ «Un estudio confirma la eficacia de combinar vacunas AstraZeneca y Sputnik V contra el coronavirus». www.telam.com.ar. 30 de julio de 2021. Archivado desde el original el 7 de diciembre de 2023. Consultado el 30 de julio de 2021.
- ↑ «Estudio bonaerense demostró alta seguridad en combinación de vacunas». www.gba.gob.ar. 30 de julio de 2021. Consultado el 30 de julio de 2021.
- ↑ «Combination of the first component of Sputnik V vaccine (Sputnik Light vaccine) with vaccines by AstraZeneca, Sinopharm and Moderna demonstrates high safety profile during the study in Argentina’s Buenos-Aires province» [La combinación del primer componente de la vacuna Sputnik V (vacuna Sputnik Light) con vacunas de AstraZeneca, Sinopharm y Moderna demuestra un alto perfil de seguridad durante el estudio en la provincia argentina de Buenos Aires]. www.pharmasources.com (en inglés). 5 de agosto de 2021. Consultado el 3 de junio de 2022.
- ↑ «Ensayos clínicos demuestran la seguridad del uso combinado de las vacunas». www.portadadesalud.com. 14 de febrero de 2022. Archivado desde el original el 19 de mayo de 2022. Consultado el 3 de junio de 2022.
- ↑ «Según un estudio, la combinación de las vacunas AstraZeneca y Sputnik Light es segura». www,lavoz.com.ar. 14 de febrero de 2022. Consultado el 3 de junio de 2022.
- ↑ «Испытания комбинации вакцин AstraZeneca и "Спутник Лайт" продлены до конца мая» [Los ensayos de la combinación de vacunas AstraZeneca y Sputnik Light se prolongan hasta finales de mayo]. www.interfax-russia.ru (en ruso). 2 de marzo de 2022. Consultado el 3 de junio de 2022.
- ↑ ««Científicos rusos del centro Gamaleya probaron la vacuna contra el covid-19 en ancianos»». www.actualidad.rt.com. 2 de septiembre de 2020. Archivado desde el original el 3 de septiembre de 2020. Consultado el 6 de febrero de 2023.
- ↑ «Rusia comienza a probar la vacuna Sputnik V en voluntarios de más de 60 años». www.actualidad.rt.com. 16 de octubre de 2020. Archivado desde el original el 19 de octubre de 2020. Consultado el 6 de febrero de 2023.
- ↑ «El jefe de investigación clínica de Sputnik V revela cómo actúa la vacuna en los voluntarios de más de 60 años». www.actualidad.rt.com. 31 de octubre de 2020. Archivado desde el original el 1 de noviembre de 2020. Consultado el 6 de febrero de 2023.
- ↑ «The Study of "Gam-COVID-Vac" Vaccine Against COVID-19 With the Participation of Volunteers of 60 y.o and Older» [El estudio de la vacuna "Gam-COVID-Vac" contra COVID-19 con la participación de voluntarios de 60 años y más]. www.clinicaltrials.gov (en inglés). 22 de enero de 2021. Consultado el 27 de julio de 2021.
- ↑ «Инструкция по медицинскому применению лекарственного препарата Гам-КОВИД-Вак» [Instrucciones sobre el uso médico del medicamento Gam-Covid-Vac] (pdf). https://roszdravnadzor.gov.ru (en ruso). 28 de diciembre de 2020. Consultado el 6 de febrero de 2023.
- ↑ «An Open Study on the Safety, Tolerability, and Immunogenicity of "Sputnik Light" Vaccine» [Estudio abierto sobre la seguridad, tolerabilidad e inmunogenicidad de la vacuna Sputnik Light]. www.clinicaltrials.gov (en inglés). 15 de enero de 2021. Consultado el 9 de enero de 2023.
- ↑ «Sputnik Light: ¿Cuál es la eficacia de la nueva vacuna aprobada en Rusia?». www.eldiario.com. 6 de mayo de 2021. Consultado el 3 de junio de 2022.
- ↑ «Manual para Vacunadores Vacuna Sputnik Light». bancos.salud.gob.ar. 13 de febrero de 2023. Archivado desde el original el 23 de marzo de 2023. Consultado el 23 de agosto de 2023.
- ↑ «Rusia crea una vacuna nasal contra la Covid-19 'sin efectos secundarios'». www.mdzol.com. 2 de abril de 2021. Consultado el 31 de mayo de 2022.
- ↑ «Минздрав одобрил исследование назальной версии «Спутника V» [El Ministerio de Sanidad aprobó el estudio de la versión nasal de la "Sputnik V"]. pharmvestnik.ru (en ruso). 31 de octubre de 2021. Consultado el 31 de mayo de 2022.
- ↑ «Rusia comienza los ensayos clínicos de una nueva vacuna nasal contra el coronavirus». www.vtv.gov.ve. 27 de enero de 2022. Archivado desde el original el 27 de enero de 2022. Consultado el 31 de mayo de 2022.
- ↑ «Gintsburg said that "Sputnik Light" and the nasal vaccine can be used simultaneously» [Gintsburg dijo que "Sputnik Light" y la vacuna nasal se pueden usar simultáneamente]. www.en.newizv.ru (en inglés). 2 de diciembre de 2021. Archivado desde el original el 10 de agosto de 2022. Consultado el 31 de mayo de 2022.
- ↑ «Регистрационное удостоверение» [Certificado de registro. Gam-COVID-Vac nasal]. www.grls.rosminzdrav.ru (en ruso). 31 de marzo de 2022. Consultado el 12 de agosto de 2025.
- ↑ «Минздрав зарегистрировал первую в мире назальную вакцину от коронавируса» [El Ministerio de Sanidad ha registrado la primera vacuna nasal del mundo contra el coronavirus]. www.tass.ru (en ruso). 1 de abril de 2022. Consultado el 31 de mayo de 2022.
- ↑ «China and India approve nasal COVID vaccines — are they a game changer?» [China e India aprueban vacunas nasales contra el COVID. ¿Son un cambio de juego?]. www.nature.com (en inglés). 7 de septiembre de 2022. Archivado desde el original el 9 de septiembre de 2022. Consultado el 6 de diciembre de 2022.
- ↑ «Rusia anuncia avances decisivos en la vacuna nasal anticovid». www.telesurtv.net. 15 de abril de 2022. Archivado desde el original el 15 de abril de 2022. Consultado el 31 de mayo de 2022.
- ↑ «В чем суть назальной вакцины от коронавируса и в чем ее плюсы?» [¿Cuál es la esencia de la vacuna nasal contra el coronavirus y cuáles son sus ventajas?]. aif.ru (en ruso). 16 de enero de 2022. Consultado el 31 de mayo de 2022.
- ↑ «Гинцбург анонсировал третью фазу исследований назальной вакцины от ковида» [Gínzburg anunció la tercera fase de investigación de una vacuna nasal contra el covid]. www.tass.ru (en ruso). 14 de abril de 2022. Consultado el 30 de junio de 2022.
- ↑ «В России начали производство насадок для назальной вакцины от COVID-19» [Rusia lanza producción de boquillas para vacuna nasal contra COVID-19]. www.1tv.ru (en ruso). 12 de agosto de 2022. Consultado el 21 de octubre de 2022.
- ↑ «Afraid of needles? China using inhalable COVID-19 vaccine» [¿Miedo a las agujas? China usa vacuna inhalable contra el COVID-19]. www.apnews.com (en inglés). 26 de octubre de 2022. Consultado el 5 de diciembre de 2022.
- ↑ «Назальная вакцина от ковида: иммунитет на слизистой носа» [Vacuna nasal contra la covid: inmunidad en la mucosa nasal]. www.udm-info.ru (en ruso). 21 de octubre de 2022. Archivado desde el original el 4 de noviembre de 2022. Consultado el 1 de noviembre de 2022.
- ↑ «В Москве теперь можно сделать прививку от COVID-19 назальной вакциной "Спутник"» [En Moscú ya puedes vacunarte contra la COVID-19 con la vacuna nasal Sputnik]. www.tass.ru (en ruso). Consultado el 1 de noviembre de 2022.
- ↑ «Эксперт отметил, что назальная вакцина формирует иммунитет к ковиду через 14 дней» [El experto señaló que la vacuna nasal forma inmunidad al covid después de 14 días]. www.tass.ru (en ruso). 31 de octubre de 2022. Consultado el 1 de noviembre de 2022.
- ↑ «Банк сывороток и анализ на защитные антитела. Что спасет нас от будущих пандемий» [Banco de suero y análisis de anticuerpos protectores. ¿Qué nos salvará de futuras pandemias?]. www.m.gazeta.ru (en ruso). 3 de noviembre de 2022. Consultado el 1 de noviembre de 2022.
- ↑ «“Sputnik M”: la vacuna rusa contra el covid-19 para niños y adolescentes». www.es.rbth.com. 27 de noviembre de 2021. Consultado el 3 de junio de 2022.
- ↑ «Sputnik M crea una respuesta inmune con una duración todavía desconocida». www.cronica.com.ar. 25 de noviembre de 2021. Consultado el 3 de junio de 2022.
- ↑ «Gam-КОВИД-Vak-M СПРАВОЧНИК ЛЕКАРСТВЕННЫХ СРЕДСТВ» [Gam-COVID-Vak-M DIRECTORIO MEDICAMENTOS]. www.vidal.ru (en ruso). 17 de diciembre de 2021. Consultado el 3 de junio de 2022.
- ↑ ««Спутник М» поступил в пункты вакцинации. Главное о прививке для подростков» [La Sputnik M ya llegó a los puntos de vacunación. Lo más importante sobre la vacuna para adolescentes]. www.360.ru (en ruso). 24 de enero de 2022. Consultado el 31 de mayo de 2022.
- ↑ «Eleven children receive first dose of coronavirus vaccine in Moscow» [Once niños reciben la primera dosis de la vacuna contra el coronavirus en Moscú]. www.tass.com (en inglés). 6 de julio de 2021. Consultado el 31 de mayo de 2022.
- ↑ «Sputnik M: Rusia anunció que va a registrar una vacuna para menores de 12 a 17 años». www.infobae.com. 24 de noviembre de 2021. Consultado el 3 de junio de 2022.
- ↑ «Вакцина «Спутник M»: в правительстве назвали дату начала вакцинации детей от COVID-19» [Vacuna "Sputnik M": el gobierno anunció la fecha para el inicio de la vacunación de los niños contra el COVID-19]. www.sib.fm (en ruso). 29 de noviembre de 2021. Consultado el 12 de diciembre de 2021.
- ↑ «Sputnik M: La nueva versión de la vacuna rusa contra Covid, ¿qué la distingue de la primera?». www.elimparcial.com. 22 de febrero de 2022. Consultado el 3 de junio de 2022.
- ↑ «Вакцинация детей 6-11 лет от ковида в рамках исследований начнется 9-10 июня» [La vacunación de niños de 6 a 11 años contra covid como parte de la investigación comenzará el 9 y 10 de junio]. www.tass.ru (en ruso). 31 de mayo de 2022. Consultado el 3 de junio de 2022.
- ↑ «Гинцбург рассказал, когда появится вакцина от COVID для детей от 6 до 11 лет» [Gunzburg contó cuándo habrá una vacuna contra el COVID para niños de 6 a 11 años]. www.azned.net (en ruso). 20 de diciembre de 2021. Consultado el 25 de junio de 2022.
- ↑ «Вакцинация детей от 6 до 11 лет от COVID-19 в рамках исследования начнется 3 июня» [La vacunación de niños de 6 a 11 años contra el COVID-19 como parte del estudio comenzará el 3 de junio]. www.rg.ru (en ruso). 13 de mayo de 2022. Consultado el 25 de junio de 2022.
- ↑ «Гинцбург рассказал о подготовке регистрации детской вакцины от COVID-19» [Ginzburg habló sobre los preparativos para registrar una vacuna infantil contra el COVID-19]. www.regnum.ru (en ruso). 20 de junio de 2022. Consultado el 25 de junio de 2022.
- ↑ «Центр Гамалеи подал заявку на регистрацию вакцины от COVID-19 для детей» [El Centro Gamaleya solicitó el registro de una vacuna contra el COVID-19 para niños]. www.ria.ru (en ruso). 31 de enero de 2023. Archivado desde el original el 31 de enero de 2023. Consultado el 15 de febrero de 2023.
- ↑ «La vacuna Sputnik V es eficaz contra las nuevas cepas de los coronavirus». www.sputnikvaccine.com. 12 de julio de 2021. Consultado el 2 de marzo de 2025.
- ↑ «Neutralizing Activity of Sera from Sputnik V-Vaccinated People against Variants of Concern (VOC: B.1.1.7, B.1.351, P.1, B.1.617.2, B.1.617.3) and Moscow Endemic SARS-CoV-2 Variants» [Actividad neutralizante de los sueros de personas vacunadas con Sputnik V contra las variantes preocupantes y las variantes endémicas de Moscú del SARS-CoV-2]. www.mdpi.com (en inglés). 12 de julio de 2021. Consultado el 2 de marzo de 2025.
- ↑ «The Gamaleya Center develops Delta & Omicron-adapted Sputnik V vaccine» [El Centro Gamaleya desarrolla una vacuna Sputnik V adaptada a delta y ómicron]. www.biovoicenews.com (en inglés). 23 de agosto de 2022. Consultado el 23-08-08-2022.
- ↑ «Новая версия "Спутника"» [Nueva versión de "Sputnik"]. www.interfax-russia.ru (en ruso). 25 de agosto de 2022. Consultado el 26 de agosto de 2022.
- ↑ «Эффективность нового «Спутника V» проверят клиническим исследованием» [La eficacia de la nueva "Sputnik V" será probada por un estudio clínico]. www.iz.ru (en ruso). 28 de septiembre de 2022. Consultado el 10 de octubre de 2022.
- ↑ «Центр Гамалеи получил патент на вакцину от штаммов коронавируса "дельта" и "омикрон"» [El Centro Gamaleya recibió una patente para una vacuna contra las cepas de coronavirus delta y ómicron]. www.tass.ru (en ruso). 30 de noviembre de 2022. Consultado el 15 de diciembre de 2022.
- ↑ «В Центре имени Гамалеи начали разработку вакцины от кракен-штамма COVID-19» [El Centro Gamaleya ha empezado a desarrollar una vacuna contra la cepa COVID-19 del kraken]. www.radiosputnik.ria.ru (en ruso). 13 de enero de 2023. Archivado desde el original el 13 de enero de 2023. Consultado el 23 de enero de 2023.
- ↑ «Гинцбург заявил о необходимости обновлять антигены вакцин от ковида каждые 9-10 месяцев» [Ginzburg afirma que los antígenos de la vacuna COVID-19 deben actualizarse cada 9-10 meses]. www.tass.ru (en ruso). 13 de enero de 2023. Consultado el 23 de enero de 2023.
- ↑ «List of safety-related articles on human adenovirus» [Lista de artículos relacionados con seguridad en adenovirus humano]. www.sputnikvaccine.com (en inglés). 2021. Consultado el 27 de junio de 2021.
- ↑ «List of clinical trials on human adenovirus-based vector vaccines» [Lista de ensayos clínicos sobre vacunas de vectores basadas en adenovirus humanos]. www.sputnikvaccine.com (en inglés). 2021. Consultado el 15 de julio de 2021.
- ↑ a b «¿Cómo funciona la vacuna rusa ‘Sputnik V’?». www.consalud.es. 5 de febrero de 2021. Consultado el 10 de septiembre de 2025.
- ↑ «Aumenta la lista de sospechosos tras los trombos asociados a la vacuna de AstraZeneca». www.elDiario.es. 21 de abril de 2021. Consultado el 27 de junio de 2021.
- ↑ «Towards Understanding ChAdOx1 nCov-19 Vaccine-induced Immune Thrombotic Thrombocytopenia» [Hacia la comprensión de la trombocitopenia inmune trombótica inducida por la vacuna ChAdOx1 nCov-19]. www.researchsquare.com (en inglés). 20 de abril de 2021. Consultado el 27 de junio de 2021.
- ↑ «Удачный запуск: «Спутник V признан самой безопасной вакциной»» [Lanzamiento exitoso: "Sputnik V es reconocida como la vacuna más segura"]. www.iz.ru (en ruso). 3 de febrero de 2021. Consultado el 27 de junio de 2021.
- ↑ «Acogida positiva de Gobierno español a la vacuna rusa Sputnik V despierta gran expectación». www.baenegocios.com. 4 de febrero de 2021. Consultado el 27 de junio de 2021.
- ↑ «Publican las instrucciones de uso de la vacuna rusa Sputnik V: posibles efectos secundarios y contraindicaciones». www.actualidad.rt.com. 20 de agosto de 2020. Archivado desde el original el 22 de agosto de 2020. Consultado el 27 de junio de 2021.
- ↑ a b c «Actualización del Manual del vacunador Sputnik V» (pdf). www.argentina.gov.ar. 10 de febrero de 2021. Consultado el 27 de junio de 2021.
- ↑ «La vacuna Sputnik V causa efectos secundarios menores en el 14% de los voluntarios». www.actualidad-rt.com. 15 de septiembre de 2020. Consultado el 27 de junio de 2021.
- ↑ «Eficacia de más del 91 % y sin efectos adversos graves: The Lancet publica los datos del ensayo de fase III de la vacuna rusa Sputnik V». www.actualidad-rt.com. 2 de febrero de 2021. Consultado el 27 de junio de 2021.
- ↑ «Creadores de Sputnik V aseguran que no hubo muertes ni casos graves de covid-19 entre los vacunados con su producto». www.actualidad-rt.com. 16 de marzo de 2021. Consultado el 27 de junio de 2021.
- ↑ «Revista Nature: Evidencias obtenidas en Rusia y otros países sugieren que la vacuna Sputnik V es "segura y eficaz"». www.actualidad-rt.com. 6 de julio de 2021. Consultado el 14 de julio de 2021.
- ↑ «Mounting evidence suggests Sputnik COVID vaccine is safe and effective» [La evidencia creciente sugiere que la vacuna Sputnik COVID es segura y efectiva]. www.pharmiweb.com (en inglés). 13 de julio de 2021. Consultado el 14 de julio de 2021.
- ↑ «EMA afirma que aún no se reportan coágulos tras vacunación con Sputnik V». www.larepublica.pe. 20 de abril de 2021. Consultado el 27 de junio de 2021.
- ↑ «COVID-19 MÉXICO Comunicado Técnico Diario». www.gob.mx. 20 de marzo de 2021. Consultado el 27 de junio de 2021.
- ↑ «COVID-19 MÉXICO Comunicado Técnico Diario». www.gov.mx. 15 de mayo de 2021. Consultado el 27 de junio de 2021.
- ↑ «Около тысячи москвичей заболели коронавирусом после вакцинации» [Cerca de mil moscovitas enfermaron de coronavirus tras la vacunación]. www.interfax.ru (en ruso). 31 de marzo de 2021. Consultado el 15 de julio de 2021.
- ↑ «Las autoridades sanitarias rusas no registran ningún caso de trombosis después de la vacunación con Sputnik V». www.actualidad-rt.com. 14 de abril de 2021. Consultado el 27 de junio de 2021.
- ↑ «India says its safety study of Sputnik V vaccine comparable to Russian trial» [India afirma que su estudio de seguridad de la vacuna Sputnik V es comparable al ensayo ruso]. www.reuters.com (en inglés). 13 de abril de 2021. Consultado el 27 de junio de 2021.
- ↑ «Estudio bonaerense confirma la seguridad de la vacuna Sputnik V». www.gba.gob.ar. 24 de junio de 2021. Consultado el 27 de junio de 2021.
- ↑ «Active surveillance of the sputnik v vaccine in health workers» [Vigilancia activa de la vacuna Sputnik V en trabajadores sanitarios]. www.medrxiv.org (en inglés). 5 de febrero de 2021. Consultado el 15 de julio de 2021.
- ↑ «Informe oficial: qué vacuna reportó más efectos adversos en la Argentina». www.lanacion.com.ar. 4 de septiembre de 2021. Consultado el 14 de septiembre de 2023.
- ↑ «Por qué la Sputnik es la vacuna con más efectos adversos informados». www.mdzol.com. 4 de septiembre de 2021. Consultado el 14 de septiembre de 2023.
- ↑ «21º Boletín Nacional de Seguridad en vacunas». www.argentina.gob.ar. 2024-08-00. Consultado el 26 de febrero de 2025.
- ↑ «Vaccine-Induced Immune Thrombocytopenia and Thrombosis after the Sputnik V Vaccine» [Trombocitopenia y trombosis inmunitarias inducidas por la vacuna Sputnik V]. pmc.ncbi.nlm.nih.gov (en inglés). 13 de octubre de 2022. Consultado el 202-02-26.
- ↑ «RDIF publishes official vaccination data from Hungary’s Health Ministry on Sputnik V’s Twitter account» [RDIF publica datos oficiales de vacunación del Ministerio de Salud de Hungría en la cuenta de 'Twitter' del Sputnik V]. www.pharmiweb.com (en inglés). 28 de abril de 2021. Consultado el 27 de junio de 2021.
- ↑ «Nyilvánosságra hozta a kormány, hány beoltott magyar fertőződött és halt meg eddig» [El gobierno ha hecho público cuántos húngaros vacunados han resultado infectados y han muerto hasta el momento]. www.szeretlekmagyarorszag.hu (en húngaro). 28 de abril de 2021. Archivado desde el original el 27 de junio de 2021. Consultado el 27 de junio de 2021.
- ↑ «Sputnik v demonstrates highest safety profile during the vaccination campaign in serbia» [Sputnik v demuestra el perfil de seguridad más alto durante la campaña de vacunación en serbia]. www.sputnikvaccine.com (en inglés). 28 de mayo de 2021. Consultado el 27 de junio de 2021.
- ↑ «No serious adverse effects observed among Sputnik V recipients — DOH» [No se observaron efectos adversos graves entre los receptores de Sputnik V - DOH]. www.mb.com.ph (en inglés). 29 de mayo de 2021. Consultado el 27 de junio de 2021.
- ↑ «ROCCA observational study: Early results on safety of Sputnik V vaccine (Gam-COVID-Vac) in the Republic of San Marino using active surveillance» [Estudio observacional ROCCA: primeros resultados sobre la seguridad de la vacuna Sputnik V (Gam-COVID-Vac) en la República de San Marino mediante vigilancia activa]. www.thelancet.com (en inglés). 8 de julio de 2021. Consultado el 14 de julio de 2021.
- ↑ «The Lancet: Sputnik V demostró una alta seguridad durante la vacunación en San Marino». www.actualidad-rt.com. 11 de julio de 2021. Consultado el 14 de julio de 2021.
- ↑ «ROCCA cohort study: Nationwide results on safety of Gam-COVID-Vac vaccine (Sputnik V) in the Republic of San Marino using active surveillance» [Estudio de cohorte ROCCA: resultados a nivel nacional sobre la seguridad de la vacuna Gam-COVID-Vac (Sputnik V) en la República de San Marino mediante vigilancia activa]. www.thelancet.com (en inglés). 20 de mayo de 2022. Consultado el 3 de junio de 2022.
- ↑ «Director del centro que creó la Sputnik V: «Hombres y mujeres responden a la vacuna de la misma forma»». www.cubasi.cu. 11 de octubre de 2020. Archivado desde el original el 12 de octubre de 2020. Consultado el 12 de enero de 2023.
- ↑ «Creadores de la Sputnik V aclaran 7 hechos sobre la vacuna rusa tras la publicación de "artículos engañosos"». www.actualidad.rt.com. 8 de diciembre de 2020. Consultado el 3 de julio de 2021.
- ↑ «Coronavirus: why combining the Oxford vaccine with Russia's Sputnik V vaccine could make it more effective» [Coronavirus: por qué la combinación de la vacuna Oxford con la vacuna Sputnik V de Rusia podría hacerla más efectiva]. www.gavi.org (en inglés). 24 de enero de 2021. Consultado el 3 de julio de 2021.
- ↑ «Director del centro ruso que creó la vacuna Sputnik V: "Hemos engañado a todos, al virus, al sistema inmune"». www.actualidad-rt.com. 21 de diciembre de 2020. Consultado el 3 de julio de 2021.
- ↑ «Testimonios de expertos». www.sputnikvaccine.com. 11 de agosto de 2020. Consultado el 3 de julio de 2021.
- ↑ «Eficacia de más del 91 % y sin efectos adversos graves: The Lancet publica los datos del ensayo de fase III de la vacuna rusa Sputnik V». www.actualidad.rt.com. 2 de febrero de 2021. Consultado el 3 de julio de 2021.
- ↑ «Neutralizing antibody levels are highly predictive of immune protection from symptomatic SARS-CoV-2 infection» [Los niveles de anticuerpos neutralizantes son altamente predictivos de la protección inmunitaria frente a la infección sintomática por SARS-CoV-2]. www.nature.com (en inglés). 17 de mayo de 2021. Consultado el 3 de julio de 2021.
- ↑ «Segunda dosis de Sputnik se puede inocular 3 meses después de primera». www.forbescentroamerica.com. 26 de abril de 2021. Consultado el 3 de julio de 2021.
- ↑ «Creadores de Sputnik V aseguran que no hubo muertes ni casos graves de covid-19 entre los vacunados con su producto». www.actualidad.rt.com. 16 de marzo de 2021. Consultado el 3 de julio de 2021.
- ↑ «Se detectan anticuerpos en los científicos rusos que han probado la vacuna que están desarrollando». es.rbth.com. 28 de mayo de 2020. Consultado el 3 de julio de 2021.
- ↑ «Científicos rusos determinan que la respuesta inmune de Sputnik V es suficiente contra cualquier concentración de coronavirus». www.actualidad-rt.com. 4 de septiembre de 2020. Consultado el 3 de julio de 2021.
- ↑ «The first interim data analysis of the Sputnik V vaccine against COVID-19 phase III clinical trials in the Russian Federation demonstrated 92% efficacy» [El primer análisis provisional de datos de los ensayos clínicos de fase III de la vacuna Sputnik V contra COVID-19 en la Federación Rusa demostró una eficacia del 92%]. prnewswire.co.uk (en inglés). 11 de noviembre de 2020. Consultado el 10 de febrero de 2023.
- ↑ «Second interim analysis of clinical trial data showed a 91.4% efficacy» [El segundo análisis intermedio de los datos de los ensayos clínicos mostró una eficacia del 91,4 %]. www.sputnikvaccine.com (en inglés). 24 de noviembre de 2020. Consultado el 3 de julio de 2021.
- ↑ «No hay casos de Covid-19 en los 2,000 voluntarios que recibieron la vacuna Sputnik V». www.forbes.com.mx. 12 de octubre de 2020. Consultado el 15 de julio de 2021.
- ↑ a b «Creadores de Sputnik V dicen que la vacuna demostró la misma eficacia en todas las edades y esperan que proporcione inmunidad por más de 2 años». www.actualidad-rt.com. 13 de marzo de 2021. Consultado el 3 de julio de 2021.
- ↑ «Dissection of Antibody Responses of Gam-COVID-Vac-Vaccinated Subjects Suggests Involvement of Epitopes Outside RBD in SARS-CoV-2 Neutralization» [Análisis de las respuestas de anticuerpos de los sujetos vacunados con Gam-COVID-Vac sugiere la participación de epítopos fuera de RBD en la neutralización del SARS-CoV-2]. www.mdpi.com (en inglés). 7 de marzo de 2023. Consultado el 12 de septiembre de 2024.
- ↑ «Минздрав: более чем у 90% онкопациентов вырабатываются антитела к ковиду после вакцинации» [Ministerio de Salud: más del 90% de los pacientes con cáncer desarrollan anticuerpos contra el covid después de la vacunación]. www.tass.ru (en ruso). 21 de junio de 2022. Consultado el 24 de junio de 2022.
- ↑ «Russia's Sputnik V Covid vaccine works well against UK and South African variants of the virus, researchers say» [La vacuna rusa Sputnik V Covid funciona bien contra las variantes del virus del Reino Unido y Sudáfrica, dicen los investigadores]. www.dailymail.co.uk (en inglés). 28 de febrero de 2021. Consultado el 3 de julio de 2021.
- ↑ «Evaluación de respuesta humoral frente a la vacunación» (pdf). www.argentina.gob.ar. 13 de abril de 2021. Consultado el 3 de julio de 2021.
- ↑ «La Sputnik V produce una alta respuesta inmune aún con una sola dosis». www.conicet.gov.ar. 13 de abril de 2021. Consultado el 3 de julio de 2021.
- ↑ «Creadores de la vacuna Sputnik V anuncian que su eficacia es del 97,6%». www.globovision.com. 19 de abril de 2021. Archivado desde el original el 19 de abril de 2021. Consultado el 10 de febrero de 2023.
- ↑ «Rusia: La vacuna Sputnik V garantiza una inmunidad frente al covid-19 de al menos 10-12 meses». www.actualidad.rt.com. 30 de abril de 2021. Consultado el 3 de julio de 2021.
- ↑ «Sputnik V: el infectólogo Hugo Pizzi afirmó que es la vacuna líder en el mundo». www.cronica.com.ar. 20 de mayo de 2021. Consultado el 3 de julio de 2021.
- ↑ «Sputnik stars with a bang, Bahrain data shows 94,3 % efficacy» [El Sputnik brilla con fuerza, los datos de Bahrein muestran una eficacia del 94,3 %]. www.newsofbahrain (en inglés). 10 de junio de 2021. Consultado el 3 de julio de 2021.
- ↑ «Sputnik V tem eficácia de 94,3% e segurança no Bahrein, diz fundo russo» [Sputnik V tiene un 94,3 % de eficacia y seguridad en Baréin, dice el fondo ruso]. www.uol.com.br (en portugués). 10 de junio de 2021. Consultado el 3 de julio de 2021.
- ↑ «Anti-Ad26 humoral immunity does not compromise SARS-COV-2 neutralizing antibody responses following Gam-COVID-Vac booster vaccination» [La inmunidad humoral anti-Ad26 no compromete las respuestas de anticuerpos neutralizantes del SARS-COV-2 tras la vacunación de refuerzo con Gam-COVID-Vac]. www.aninews.in (en inglés). 29 de junio de 2021. Consultado el 3 de julio de 2021.
- ↑ «Effectiveness of a nation-wide COVID-19 vaccination program in Mexico» [Efectividad de un programa nacional de vacunación contra el COVID-19 en México]. www.medrxiv.org (en inglés). 5 de abril de 2022. Consultado el 6 de diciembre de 2022.
- ↑ «COVID-19 vaccines breakthrough infection and adverse reactions in medical students: A nationwide survey in Iran» [Las vacunas COVID-19 avanzan en la infección y las reacciones adversas en estudiantes de medicina: una encuesta nacional en Irán]. www.resarchsquare.com (en inglés). 5 de julio de 2022. Consultado el 12 de julio de 2022.
- ↑ «"Спутник V" обеспечивает лучшую защиту от COVID-19 по результатам исследования пяти вакцин в Иране» [Sputnik V proporciona la mejor protección contra COVID-19 en estudio de Irán de cinco vacunas]. www.interfax-russia.ru (en ruso). 7 de julio de 2022. Consultado el 12 de julio de 2022.
- ↑ «Evaluation of response to different COVID-19 vaccines in vaccinated healthcare workers in a single center in Iran» [Evaluación de la respuesta a diferentes vacunas contra la COVID-19 en trabajadores sanitarios vacunados en un único centro de Irán]. www.onlinelibrary.wiley.com (en inglés). 26 de julio de 2022. Consultado el 30 de julio de 2022.
- ↑ «Hospitalization among vaccines for SARS-CoV-2 breakthrough infection after dose sparing strategies in Libya: A cohort study» [Hospitalización entre las vacunas para la infección avanzada por SARS-CoV-2 después de estrategias de ahorro de dosis en Libia: un estudio de cohorte]. www.journals.plos.org (en inglés). 3 de noviembre de 2022. Consultado el 6 de diciembre de 2022.
- ↑ «Assessing the long-stand antibody response induced by COVID-19 vaccines: A study in an educational cohort in San Luis, Argentina» [Evaluación de la respuesta de anticuerpos a largo plazo inducida por las vacunas COVID-19: un estudio en una cohorte educativa en San Luis, Argentina]. www.sciencedirect.com (en inglés). 21 de noviembre de 2022. Consultado el 6 de diciembre de 2022.
- ↑ «Revaccination in Age-Risk Groups with Sputnik V Is Immunologically Effective and Depends on the Initial Neutralizing SARS-CoV-2 IgG Antibodies Level» [La revacunación con Sputnik V en grupos de riesgo por edad es inmunológicamente eficaz y depende del nivel inicial de anticuerpos IgG neutralizantes contra el SARS-CoV-2]. www.mdpi.com (en inglés). 30 de diciembre de 2022. Consultado el 24 de enero de 2023.
- ↑ «Гинцбург заявил об эффективности "Спутника V" против индийского штамма» [Gíntzburg anunció la efectividad del "Sputnik V" contra la cepa india]. www.interfax.ru (en ruso). 16 de junio de 2021. Consultado el 3 de julio de 2021.
- ↑ «Sputnik covid vaccine more efficient against Delta variant: Study» [La vacuna Sputnik covid es más eficaz contra la variante Delta: estudio]. www.hindustantimes.com (en inglés). 15 de junio de 2021. Consultado el 3 de julio de 2021.
- ↑ «Rusia asegura que su vacuna Sputnik V es “la más eficaz” contra la agresiva variante Delta del coronavirus». www.clarin.com. 15 de junio de 2021. Consultado el 3 de julio de 2021.
- ↑ «Neutralizing activity of Sputnik V vaccine sera against SARS-CoV-2 variants» [Actividad neutralizante de los sueros de la vacuna Sputnik V contra las variantes del SARS-CoV-2]. www.medrxiv.org (en inglés). 14 de abril de 2022. Consultado el 10 de junio de 2022.
- ↑ «Sputnik V, a host of coronavirus mutations» [Sputnik V, una gran cantidad de mutaciones de coronavirus]. www.nature.com (en inglés). 14 de abril de 2021. Archivado desde el original el 2 de febrero de 2022. Consultado el 10 de junio de 2022.
- ↑ «Sputnik Light booster after Sputnik V vaccination induces robust neutralizing antibody response to B.1.1.529 (ómicron) SARS-CoV-2 variant» [El refuerzo de Sputnik Light después de la vacunación con Sputnik V induce una respuesta sólida de anticuerpos neutralizantes contra la variante B.1.1.529 (ómicron) del SARS-CoV-2]. www.medrxiv.org (en inglés). 17 de diciembre de 2021. Consultado el 20 de junio de 2022.
- ↑ «Broadly neutralizing antibodies overcome SARS-CoV-2 Omicron antigenic shift» [Los anticuerpos ampliamente neutralizantes superan el cambio antigénico de SARS-CoV-2 ómicron]. www.biorxiv.org (en inglés). 20 de diciembre de 2021. Consultado el 30 de julio de 2022.
- ↑ «Retention of Neutralizing response against SARS-CoV-2 Omicron variant in Sputnik V vaccinated individuals» [Retención de la respuesta neutralizante contra la variante ómicron del SARS-CoV-2 en individuos vacunados con Sputnik V]. www.medrxiv.org (en inglés). 15 de enero de 2022. Consultado el 20 de junio de 2022.
- ↑ «Spallanzani Institute in Italy: Sputnik V shows higher Omicron-antibody levels than Pfizer in preliminary study» [Instituto Spallanzani en Italia: Sputnik V muestra niveles de anticuerpos ómicron más altos que Pfizer en un estudio preliminar]. www.pharmprom.net (en inglés). 21 de enero de 2022. Consultado el 20 de junio de 2022.
- ↑ «Sputnik Light and Sputnik V Vaccination Is Effective at Protecting Medical Personnel from COVID-19 during the Period of Delta Variant Dominance» [La vacunación Sputnik Light y Sputnik V es eficaz para proteger al personal médico de la COVID-19 durante el período de dominio de la variante delta]. www.mdpi.com (en inglés). 26 de octubre de 2022. Consultado el 3 de octubre de 2022.
- ↑ «Peer-Review Record» [Registro de revisión por pares]. www.mdpi.com (en inglés). 26 de octubre de 2022. Consultado el 3 de octubre de 2022.
- ↑ «Sputnik V Effectiveness against Hospitalization with COVID-19 during Omicron Dominance» [Eficacia del Sputnik V contra la hospitalización por COVID-19 durante el dominio de ómicron]. www.mdpi.com (en inglés). 13 de junio de 2022. Consultado el 20 de junio de 2022.
- ↑ «Sputnik V demonstrates 97 percent efficacy against hospitalisation caused by Omicron variant following revaccination: Study» [Sputnik V demuestra una eficacia del 97 % contra la hospitalización causada por la variante ómicron después de la revacunación: estudio]. www.financialexpress.com (en inglés). 15 de junio de 2022. Consultado el 20 de junio de 2022.
- ↑ «Интраназальный "Спутник V" может быть рекомендован от нового "омикрон"-штамма» [Sputnik V intranasal puede recomendarse contra la nueva cepa ómicron]. www.interfax.ru (en ruso). 15 de junio de 2022. Consultado el 25 de junio de 2022.
- ↑ «Antibody and Memory B-Cell Immunity in a Heterogeneously SARS-CoV-2-Infected and -Vaccinated Population» [Inmunidad de anticuerpos y células B de memoria en una población heterogéneamente infectada y vacunada por SARS-CoV-2]. www.journals.asm.org (en inglés). 23 de junio de 2022. Consultado el 29 de junio de 2022.
- ↑ «Ученые оценили эффект российских вакцин от COVID-19» [Científicos evaluaron el efecto de las vacunas rusas contra el COVID-19]. www.aif.ru (en ruso). 18 de julio de 2022. Consultado el 17 de julio de 2022.
- ↑ «вакцина "Спутник" будет эффективно защищать от подвида омикрона "кентавр» [La vacuna "Sputnik" protegerá eficazmente contra las subespecies de omicron "centauro"]. www.tass.ru (en ruso). 25 de julio de 2022. Consultado el 30 de julio de 2022.
- ↑ «Anti-Ad26 humoral immunity does not compromise SARS-COV-2 neutralizing antibody responses following Gam-COVID-Vac booster vaccination» [La inmunidad humoral anti-Ad26 no compromete las respuestas de anticuerpos neutralizantes del SARS-COV-2 después de la vacunación de refuerzo con Gam-COVID-Vac]. www.nature.com (en inglés). 15 de noviembre de 2022. Consultado el 6 de diciembre de 2022.
- ↑ «Международный журнал NPJ Vaccines опубликовал исследование об эффективности "Спутника V"» [La revista internacional NPJ Vaccines ha publicado un estudio sobre la eficacia de Sputnik V]. www.tass.ru (en ruso). 17 de noviembre de 2022. Consultado el 6 de diciembre de 2022.
- ↑ «Sputnik V shows 80% long-term efficacy against COVID in San Marino from 6th through 8th month after administering the second dose» [Sputnik V muestra una eficacia a largo plazo del 80 % contra la COVID en San Marino del sexto al octavo mes después de administrar la segunda dosis]. www.pharmiweb.jobs (en inglés). 25 de noviembre de 2021. Consultado el 3 de junio de 2022.
- ↑ «La vacunación con Sputnik V muestra anticuerpos neutralizantes duraderos contra el SARS-CoV-2 y una reducción del escape de variantes virales a la neutralización con el tiempo». www.fundacion feneba.org.ar. 25 de enero de 2022. Consultado el 3 de junio de 2022.
- ↑ «Nuevas investigaciones comprueban que el nivel de anticuerpos de la Sputnik V se mantiene después de 6 meses de la vacuna». www,elciudadano web. 26 de enero de 2022. Archivado desde el original el 26 de enero de 2022. Consultado el 3 de junio de 2022.
- ↑ «Vacunados con Sputnik V mantienen altos niveles de anticuerpos un año después, según estudio». www.lapatilla,com. 17 de febrero de 2022. Consultado el 3 de junio de 2022.
- ↑ «Lasting SARS-CoV-2 specific IgG Antibody response in health care workers from Venezuela, 6 months after vaccination with Sputnik V» [Respuesta duradera de anticuerpos IgG específicos del SARS-CoV-2 en trabajadores de la salud de Venezuela, 6 meses después de la vacunación con Sputnik V]. www.sciencedirect.com (en inglés). 8 de junio de 2022. Consultado el 25 de junio de 2022.
- ↑ «Persistence of the SARS-CoV-2-Specific IgG at Six Months after Vaccination with BNT162b2, BBIBP-Corv, and Gam-Covid-Vac Vaccines: A Longitudinal Prospective Study from Novi Sad, Serbia» [Persistencia de la IgG específica del SARS-CoV-2 a los seis meses después de la vacunación con las vacunas BNT162b2, BBIBP-CorV y Gam-Covid-Vac: Un estudio prospectivo longitudinal de Novi Sad, Serbia]. www.papers.ssrn.com (en inglés). 19 de octubre de 2022. Consultado el 23 de octubre de 2022.
- ↑ «Sputnik V protection from COVID-19 in people living with HIV under antiretroviral therapy» [Protección del Sputnik V frente a la COVID-19 en personas que viven con el VIH bajo tratamiento antirretroviral]. www.thelancet.com (en inglés). 23 de marzo de 2022. Consultado el 10 de junio de 2022.
- ↑ «Sputnik V effective against COVID-19 in HIV positive patients: Lancet study» [Sputnik V efectivo contra COVID-19 en pacientes VIH positivo: estudio de The Lancet]. www.businesstoday.in (en inglés). 28 de marzo de 2022. Archivado desde el original el 28 de marzo de 2022. Consultado el 10 de junio de 2022.
- ↑ «Sputnik V’s effectiveness for HIV-positives revealed» [Revelada la eficacia del Sputnik V para los seropositivos]. www,jamniiforums.com (en inglés). 28 de marzo de 2022. Consultado el 10 de junio de 2022.
- ↑ «Un estudio demostró que la vacuna Sputnik V no produce casos de trombosis». www.telam.com.ar. 14 de abril de 2021. Archivado desde el original el 17 de mayo de 2021. Consultado el 5 de noviembre de 2022.
- ↑ «Опыт масштабирования и интенсификации промышленного производства векторной аденовирусной вакцины Гам-КОВИД-Вак в лимитирующих условиях пандемии» [Experiencia de escalamiento e intensificación de la producción industrial de la vacuna de adenovirus vectorial Gam-COVID-Vac en las condiciones limitantes de una pandemia]. www.biopreparations.ru (en ruso). 7 de diciembre de 2022. Consultado el 16 de junio de 2025.
- ↑ «Director del centro que desarrolló la primera vacuna rusa contra el covid-19: «La Sputnik V no se creó desde cero»». www.elperiodico-digital.com. 14 de agosto de 2020. Consultado el 5 de noviembre de 2022.
- ↑ «Sputnik V Announces Key International Production Partners» [Sputnik V anuncia socios de producción internacionales clave]. twitter.com (en inglés). 4 de junio de 2021. Consultado el 5 de noviembre de 2022.
- ↑ a b c d Sinelschikova, Yekaterina (21 de julio de 2021). «Which countries does Russia supply Sputnik V to?» [¿A qué países suministra Rusia el Sputnik V?]. www.rbth.com (en inglés). Consultado el 3 de noviembre de 2022.
- ↑ «Центр Гамалеи: в мире произведено более 150 млн доз вакцины "Спутник V"» [Centro Gamaleya: Se han producido más de 150 millones de dosis de la vacuna Sputnik V en todo el mundo]. ww.tass.ru (en ruso). 28 de septiembre de 2021. Consultado el 5 de noviembre de 2022.
- ↑ «RDIF brings together the best Russian and international technologies in the fight against COVID-19» [RDIF reúne las mejores tecnologías rusas e internacionales en la lucha contra el COVID-19]. www.rdif.ru (en inglés). 1 de noviembre de 2021. Archivado desde el original el 1 de noviembre de 2021. Consultado el 5 de noviembre de 2022.
- ↑ «Sputnik V vaccine became the most exported drug in Russia» [La vacuna Sputnik V se convirtió en el fármaco más exportado en Rusia]. www,tellerreport.com (en inglés). 11 de agosto de 2022. Consultado el 5 de noviembre de 2022.
- ↑ «Rusia eliminará patente de vacunas contra Covid-19, para que las use todo el mundo». www.heraldodemexico.com.mx. 6 de mayo de 2021. Consultado el 5 de noviembre de 2022.
- ↑ ««Спутник V» — на экспорт. Почему это прорыв для России?» ["Sputnik V" - para exportación. ¿Por qué es esto un gran avance para Rusia?]. www.bfm.ru (en ruso). 24 de marzo de 2021. Consultado el 5 de noviembre de 2022.
- ↑ a b c d e «Number of doses of the COVID-19 vaccine Sputnik V ordered from Russia or agreed to be produced abroad as of January 2022, by country(in millions)» [Número de dosis de la vacuna contra la COVID-19 Sputnik V ordenadas a Rusia o acordadas para ser producidas en el extranjero a partir de enero de 2022, por país (en millones)]. www.statista.com (en inglés). 21 de julio de 2022. Consultado el 5 de noviembre de 2022.
- ↑ «Richmond anuncia fin de producción local de la vacuna Sputnik V». www.msn.com. 26 de septiembre de 2022. Consultado el 10 de noviembre de 2022.
- ↑ «Alberto Fernández y Vladímir Putin anunciaron el inicio de la producción de la vacuna Sputnik V en Argentina». www.abchoy.cmo.ar. 4 de junio de 2021. Archivado desde el original el 16 de noviembre de 2022. Consultado el 10 de noviembre de 2022.
- ↑ «El laboratorio argentino Richmond fabricó 21.000 dosis de la vacuna Sputnik V y comenzará en junio la producción masiva». www,infobae.com. 20 de abril de 2021. Consultado el 10 de noviembre de 2022.
- ↑ «Fernández y Putin dieron inicio a la producción local de la Sputnik V». www.conclusion.com.ar. 4 de junio de 2021. Consultado el 28 de noviembre de 2022.
- ↑ «Belarus to start full-cycle production of Sputnik V by year-end» [Bielorrusia comenzará la producción de ciclo completo del Sputnik V a finales de año]. www.eng.belta.by (en inglés). 13 de octubre de 2021. Consultado el 24 de noviembre de 2022.
- ↑ «Belarus launches mass production of Russia's Sputnik V vaccine, Russia launches production of CoviVac» [Bielorrusia lanza la producción en masa de la vacuna Sputnik V de Rusia, Rusia lanza la producción de CoviVac]. www.intellinews.com (en inglés). 25 de marzo de 2021. Consultado el 24 de noviembre de 2022.
- ↑ «Brasil produce el primer lote piloto de los componentes de la vacuna Sputnik V contra el Covid-19». www.eju.tv. 31 de marzo de 2021. Consultado el 24 de noviembre de 2022.
- ↑ «Sputnik V: un laboratorio brasileño producirá ocho millones de vacunas». www.pagina12.com.ar. 10 de enero de 2021. Consultado el 24 de noviembre de 2022.
- ↑ «Brasil produce el primer lote de la vacuna Sputnik V contra el coronavirus». www.canaln.pe. 20 de mayo de 2021. Consultado el 24 de noviembre de 2022.
- ↑ «Dos laboratorios coreanos producirán la vacuna rusa Sputnik V». www.lanacion.com.py. 15 de abril de 2021. Consultado el 5 de noviembre de 2022.
- ↑ «Jetema joins GL Rapha’s consortium to make Russia’s Sputnik V vaccine» [Jetema se une al consorcio de GL Rapha para fabricar la vacuna rusa Sputnik V]. www.koreabiomed.com (en inglés). 22 de julio de 2021. Consultado el 5 de noviembre de 2022.
- ↑ «Huons acquires marketing rights for Sputnik Light in S. Korea» [Huons adquiere los derechos de comercialización de Sputnik Light en Corea del Sur]. www.koreaherald.com (en inglés). 7 de julio de 2021. Consultado el 8 de noviembre de 2022.
- ↑ «Быстрее, больше, безопасней: как в южной корее производят «спутник v»» [Más rápido, más grande, más seguro: cómo se produce Sputnik v en Corea del Sur]. www.worldcrisis.ru (en ruso). 7 de mayo de 2021. Consultado el 5 de diciembre de 2022.
- ↑ «La producción de la vacuna Sputnik V en Corea del Sur comenzará en mayo». www.sp.yna.co.kr. 2021-04-2020. Consultado el 5 de diciembre de 2022.
- ↑ «Sputnik V production in India expected to begin by August» [Se espera que la producción del Sputnik V en India comience en agosto]. www.livemint.com (en inglés). 22 de mayo de 2021. Consultado el 25 de julio de 2022.
- ↑ «Russia Agrees To Produce Sputnik V Vaccine In India» [Rusia acuerda producir la vacuna Sputnik V en India]. www.businessworld.in (en inglés). 27 de noviembre de 2020. Consultado el 25 de julio de 2022.
- ↑ a b c «Sputnik M, the latest vaccine for adolescents» [Sputnik M, la última vacuna para adolescentes]. www.thehindubusinessline.com (en inglés). 7 de diciembre de 2021. Consultado el 25 de julio de 2022.
- ↑ «Laboratorio indio Panacea Biotec producirá 100 million de dosis de Sputnik V anuales: RDIF». www.infobae.com. 5 de abril de 2021. Consultado el 24 de noviembre de 2022.
- ↑ «Russian fund: India's top vaccine maker to produce Sputnik V» [Fondo ruso: el principal fabricante de vacunas de India producirá Sputnik V]. www.abcnews.go.com (en inglés). 14 de julio de 2021. Archivado desde el original el 14 de julio de 2021. Consultado el 13 de febrero de 2023.
- ↑ a b «RDIF and Morepen Laboratories announce test batch manufacturing of Sputnik V in India» [RDIF y Morepen Laboratories anuncian la fabricación de lotes de prueba del Sputnik V en India]. www.expresspharma.in (en inglés). 6 de julio de 2021. Consultado el 24 de noviembre de 2022.
- ↑ «Shilpa Medicare arm to make Sputnik V vaccine» [Shilpa brazo de Medicare para hacer la vacuna Sputnik V]. www.thehindu.com (en inglés). 17 de mayo de 2021. Consultado el 24 de noviembre de 2022.
- ↑ «Made in India' Sputnik V COVID-19 vaccine doses to be available from September-October» [Las dosis de la vacuna Sputnik V COVID-19 'Made in India' estarán disponibles a partir de septiembre-octubre]. www.aninews.in (en inglés). 2 de agosto de 2021. Consultado el 24 de noviembre de 2022.
- ↑ «Rusia e Irán acuerdan la distribución y producción de la vacuna Sputnik V en la república islámica». www.europapress.es. 30 de enero de 2021. Consultado el 24 de noviembre de 2022.
- ↑ a b «Iran produces test batch of Russian Covid-19 vaccine Sputnik» [Irán produce lote de prueba de la vacuna rusa contra el covid-19 Sputnik]. www.aninews.in (en inglés). 26 de junio de 2021. Consultado el 24 de noviembre de 2022.
- ↑ a b c «Covid-19 vaccine production, to january 31st 2022» [Producción de vacuna COVID-19, al 31 de enero de 2022]. www.globalcommisionforpostpandemicpolicy.org (en inglés). 31 de enero de 2022. Consultado el 5 de noviembre de 2022.
- ↑ a b «Kazakhstan’s pharmaceutical facility gets registration certificate for Sputnik V vaccine» [La planta farmacéutica de Kazajstán obtiene el certificado de registro de la vacuna Sputnik V]. www.tass.com (en inglés). 16 de febrero de 2021. Consultado el 15 de octubre de 2020.
- ↑ «Kazakhstan launches Sputnik V vaccination campaign» [Kazajstán lanza una campaña de vacunación contra la Sputnik V]. www.tass.com (en inglés). 1 de febrero de 2021. Consultado el 15 de octubre de 2020.
- ↑ «Филиал «Медгамал» ФГБУ «НИЦЭМ им. Н.Ф.Гамалеи» Минздрава России начал маркировку вакцины для профилактики коронавирусной инфекции «Спутник V»» [Sucursal del Centro Gamaleya, Medgamal, del Ministerio de Salud de Rusia comenzó a etiquetar la vacuna para la prevención de la infección por coronavirus Sputnik V]. www.minzdrav.gov.ru (en ruso). 9 de septiembre de 2020. Consultado el 2 de diciembre de 2022.
- ↑ a b «Центр Гамалеи расширяет число партнеров по производству «Спутник V»» [Centro Gamaleya amplía el número de socios en la producción del Sputnik V]. www.vedomosti.ru (en ruso). 6 de noviembre de 2020. Consultado el 5 de diciembre de 2022.
- ↑ «Sputnik V». www.generium.ru (en inglés). 5 de diciembre de 2022. Consultado el 5 de diciembre de 2022.
- ↑ «BIOCAD: La empresa detrás de Sputnik V, vacuna rusa contra el Covid-19». www.liderempresarial.com. 11 de agosto de 2020. Consultado el 5 de diciembre de 2022.
- ↑ «Запущено производство российской антикоронавирусной вакцины» [Lanzan producción de vacuna rusa contra el coronavirus]. www.vesti.ru (en ruso). 15 de octubre de 2020. Consultado el 2 de diciembre de 2022.
- ↑ «Do kraja godine iz "Torlaka" 2,5 miliona vakcina “sputnjik ve”, biće i za region» [A fin de año, 2,5 millones de vacunas Sputnik V de Torlak también estarán disponibles para la región]. www.srpskainfo.com (en bosnio). 17 de noviembre de 2022. Consultado el 27 de noviembre de 2021.
- ↑ «RDIF, Torlak Institute agree to produce Sputnik V vaccine in Serbia» [RDIF y el Instituto Torlak acuerdan producir la vacuna Sputnik V en Serbia]. www.srbija.gov.rs (en inglés). 25 de marzo de 2021. Consultado el 17 de noviembre de 2022.
- ↑ «Serbia planea empezar a fabricar vacunas rusa y china en menos de un año». www.sputniknews.lat. 15 de abril de 2021. Consultado el 17 de noviembre de 2022.
- ↑ Tanjug (4 de junio de 2021). «Production of Sputnik V vaccine starts in Serbia» [Comienza la producción de la vacuna Sputnik V en Serbia]. www.srbija.gov.rs (en inglés). Consultado el 17 de noviembre de 2022.
- ↑ «Uzbekistan approves registration of locally produced Chinese, Russian COVID-19 vaccines» [Uzbekistán aprueba registro de vacunas chinas y rusas contra COVID-19 producidas localmente]. www.chinadaily.com.cn (en inglés). 23 de agosto de 2021. Consultado el 24 de noviembre de 2022.
- ↑ a b «First batch of Sputnik V vaccine produced in Uzbekistan» [Primer lote de vacuna Sputnik V producido en Uzbekistán]. www.24.kg (en inglés). 13 de julio de 2021. Consultado el 29 de octubre de 2022.
- ↑ «Uzbekistan starts producing Russian Sputnik V vaccine» [Uzbekistán comienza a producir la vacuna rusa Sputnik V]. www.reuters.com (en inglés). 7 de octubre de 2021. Consultado el 24 de noviembre de 2022.
- ↑ «Việt Nam receives first shipment of Sputnik V vaccines in procurement deal» [Vietnam recibe el primer envío de vacunas Sputnik V en un acuerdo de adquisición]. www.vietnamnews.vn (en inglés). 30 de septiembre de 2021. Consultado el 20 de julio de 2022.
- ↑ «Sputnik V vaccine production factory to be built in Việt Nam in one year» [Fábrica de producción de vacunas Sputnik V se construirá en Vietnam en un año]. www.vietnamnews.vn (en inglés). 12 de diciembre de 2021. Consultado el 24 de noviembre de 2022.
- ↑ a b «Vietnam produce primer lote de prueba de la vacuna rusa Sputnik V». www.es.vietnamplus.vn. 21 de julio de 2021. Consultado el 24 de noviembre de 2022.
- ↑ «La demanda global por la Sputnik V impulsa la producción de la vacuna en varios países». www.telam.com.ar. 26 de febrero de 2021. Archivado desde el original el 10 de noviembre de 2022. Consultado el 5 de noviembre de 2022.
- ↑ «Las negociaciones ruso-angoleñas para producir la vacuna Sputnik V están en fase avanzada». www.cronica.com.ar. 15 de noviembre de 2021. Consultado el 5 de agosto de 2022.
- ↑ a b «IDT Biologika, en negociaciones para producir Sputnik V en Alemania». www.sdpnoticias.com. 3 de febrero de 2021. Consultado el 8 de noviembre de 2022.
- ↑ a b «La Russie annonce des accords de production de Spoutnik V en Europe, notamment en France» [Rusia anuncia acuerdos de producción del Sputnik V en Europa, en particular en Francia]. www.lefigaro.fr (en francés). 15 de marzo de 2021. Consultado el 15 de noviembre de 2022.
- ↑ a b Izambard, Antoine (10 de marzo de 2021). «Malgré le forcing de la Russie, la France ne produira pas le Spoutnik V» [A pesar de la presión de Rusia, Francia no va a producir el Sputnik V]. www.challenges.fr (en francés). Consultado el 15 de noviembre de 2022.
- ↑ «Sputnik, Sinovac vaccines: Saidal to produce 2.5 million/month as from September» [Vacunas Sputnik, Sinovac: Saidal producirá 2,5 millones/mes a partir de septiembre]. www.algerianembasy (en inglés). 13 de julio de 2021. Consultado el 24 de noviembre de 2022.
- ↑ «Lancement de la commercialisation du vaccin CoronaVac» [Lanzamiento de la comercialización de la vacuna CoronaVac]. www.saidalgroup.dz (en francés). 30 de diciembre de 2021. Consultado el 24 de noviembre de 2022.
- ↑ «Armenia negotiates with Russian side over joint production of Sputnik V - Anahit Avanesy» [Armenia negocia con la parte rusa la producción conjunta del Sputnik V - Anahit Avanesy]. www.aysor.am (en inglés). 12 de abril de 2021. Consultado el 15 de noviembre de 2022.
- ↑ ««ԼԻԿՎՈՐ» դեղագործական ընկերությունը Հայաստանում սկսել է «Սպուտնիկ Լայթ» պատվաստանյութի արտադրությունը» [La compañía farmacéutica LIQVOR ha comenzado la producción de la vacuna Sputnik Light en Armenia]. www.liqvor.com (en armenio). 19 de septiembre de 2021. Consultado el 15 de noviembre de 2022.
- ↑ «Austria open to producing Russian, Chinese vaccines if EU approves them» [Austria abierta a producir vacunas rusas y chinas si la UE las aprueba]. www.brusselstimes.com (en inglés). 7 de febrero de 2021. Consultado el 15 de noviembre de 2022.
- ↑ «El fondo ruso RDIF acuerda la producción de la vacuna Sputnik V en Baréin». www.baenegocios.com. 3 de junio de 2021. Consultado el 24 de noviembre de 2022.
- ↑ a b c «Russia to cooperate with China on production of Sputnik V vaccine» [Rusia cooperará con China en producción de vacuna Sputnik V]. www.global.chinadaily.com.cn (en inglés). 8 de mayo de 2021. Consultado el 24 de noviembre de 2022.
- ↑ «Russia turns to China to make Sputnik shots to meet demand» [Rusia recurre a China para producir vacunas de Sputnik para satisfacer la demanda]. www.apnews.com (en inglés). x2021-05-03. Consultado el 24 de noviembre de 2022.
- ↑ «Ecuador y Rusia analizan crear fábrica de vacuna Sputnik contra el covid-19». www.24-horas.mx. 5 de agosto de 2021. Consultado el 24 de noviembre de 2022.
- ↑ «Ecuador estudia la producción de la vacuna Sputnik V en su territorio». www.confirmado.net. 29 de diciembre de 2021. Archivado desde el original el 27 de noviembre de 2022. Consultado el 24 de noviembre de 2022.
- ↑ «Egypt to produce Russia’s Sputnik V, rollout expected in Q3» [Egipto producirá el Sputnik V de Rusia, lanzamiento esperado en el tercer trimestre]. www.egyptindependent.com (en inglés). 22 de abril de 2021. Consultado el 15 de julio de 2022.
- ↑ a b «Spain’s Zendal interested in producing Sputnik V vaccine, government says» [Zendal de España está interesada en producir la vacuna Sputnik V, dice el gobierno]. www.euractiv.com (en inglés). 11 de marzo de 2021. Consultado el 8 de noviembre de 2022.
- ↑ Hanif, Rayyan (27 de noviembre de 2020). «RDIF CEO Kirill Dmitriev Holds Talks With France's Scientific Committee For COVID Vaccines» [El CEO de RDIF, Kirill Dmítriev, mantiene conversaciones con el Comité Científico de Francia para las vacunas contra el COVID]. www.pakistanpoint.com (en inglés). Consultado el 15 de noviembre de 2022.
- ↑ «Russia expects Sputnik V production to start in Hungary in late 2022» [Rusia espera que la producción del Sputnik V comience en Hungría a fines de 2022]. www.tass.com (en inglés). 8 de diciembre de 2021. Consultado el 16 de noviembre de 2022.
- ↑ a b Piumatti, Martina (16 de junio de 2021). «Parte la produzione del vaccino Sputnik V in Italia» [Parte de la producción de la vacuna Sputnik V en Italia]. www.lantidiplomatico.com (en italiano). Consultado el 20 de noviembre de 2022.
- ↑ «La vacuna rusa Sputnik V se producirá en territorio de la UE». www.es.rbth.com. 11 de marzo de 2021. Consultado el 20 de noviembre de 2022.
- ↑ «Sputnik, la produzione del vaccino russo in Italia fermata dalla guerra» [Sputnik, la producción de la vacuna rusa en Italia detenida por la guerra]. www.isole24ore.com (en italiano). 26 de marzo de 2022. Consultado el 20 de noviembre de 2022.
- ↑ «Indonesia, Russia to Jointly Produce Sputnik V Vaccine» [Indonesia y Rusia producirán conjuntamente la vacuna Sputnik V]. www.en.tempo.con (en inglés). 6 de julio de 2021. Consultado el 10 de octubre de 2022.
- ↑ «Lebanon signs agreement to produce Sputnik v vaccine» [Líbano firma un acuerdo para producir la vacuna Sputnik V]. www.english.aawsat.com (en inglés). 1 de junio de 2021. Consultado el 19 de octubre de 2022.
- ↑ «What's New» [Qué hay de nuevo]. www.arwanlb.com (en inglés). 23 de octubre de 2022. Consultado el 19 de octubre de 2022.
- ↑ «México produce primer lote de prueba de vacuna rusa Sputnik V». www.eleconomista.com.mx. 5 de julio de 2021. Consultado el 24 de noviembre de 2022.
- ↑ Valadez, Blanca (18 de octubre de 2021). «En noviembre comenzará la producción de la vacuna Sputnik V en México: Birmex». www.milenio.com. Consultado el 28 de noviembre de 2022.
- ↑ del Campo, Michelle (17 de marzo de 2022). «Sputnik V en México: dosis faltantes y un proyecto de envasado pendiente». www.bloomberglinea.com. Consultado el 28 de noviembre de 2022.
- ↑ a b «Sputnik V hecha en Perú: ¿Es viable contar con una planta de producción de vacunas?». www.peruweek.pe. 7 de septiembre de 2021. Consultado el 1 de noviembre de 2022.
- ↑ «Türkiye’de Sputnik V aşısını CinnaGen İlaç üretecek» [CinnaGen İlaç producirá la vacuna Sputnik V en Turquía]. www.bursahakimiyet.com.tr (en turco). 30 de abril de 2021. Consultado el 24 de noviembre de 2022.
- ↑ Times, The Moscow (13 de noviembre de 2020). «More Countries Line Up for Russia’s Sputnik V Coronavirus Vaccine» [Más países se apuntan a la vacuna rusa contra el coronavirus Sputnik V]. The Moscow Times (en inglés). Consultado el 4 de febrero de 2021.
- ↑ «El centro ruso Gamaleya ya suministró 400 millones de vacunas Sputnik en todo el mundo». www.telam.com.ar. 31 de enero de 2022. Archivado desde el original el 2 de marzo de 2024. Consultado el 20 de junio de 2022.
- ↑ «Los detalles de la producción nacional de la segunda dosis de la vacuna Sputnik V». www.infobae.com. 24 de junio de 2021. Consultado el 10 de noviembre de 2022.
- ↑ «Segunda dosis de la Sputnik V: cuál es el secreto de la escasez de la vacuna contra el Covid más difícil de traer». www.clarin.com. 13 de mayo de 2021. Archivado desde el original el 13 de mayo de 2021. Consultado el 13 de febrero de 2023.
- ↑ «Llegó el decimoséptimo vuelo de Aerolíneas con más de 470 mil dosis de Sputnik V». www.telam.com.ar. 26 de mayo de 2021. Archivado desde el original el 26 de mayo de 2021. Consultado el 10 de noviembre de 2022.
- ↑ «The next generation of coronavirus vaccines: a graphical guide» [La próxima generación de vacunas contra el coronavirus: una guía gráfica]. www.nature.com (en inglés). 1 de febrero de 2023. Archivado desde el original el 8 de febrero de 2023. Consultado el 15 de febrero de 2023.
- ↑ «Sputnik V entra en la lista de vacunas más suministradas contra la COVID-19». www.vtv.gov.ve. 3 de febrero de 2023. Archivado desde 19/ el original el 20 de febrero de 2023. Consultado el 15 de febrero de 2023.
- ↑ «Sputnik V: confirmaron cuánto costará la vacuna rusa y cuándo estará disponible». www.minutouno.com. 24 de noviembre de 2020. Consultado el 5 de noviembre de 2022.
- ↑ «Infographic: The Cost Per Jab Of Covid-19 Vaccine Candidates» [Infografía: El costo por inyección de los candidatos a la vacuna contra el covid-19]. Statista Infographics (en inglés). Consultado el 22 de abril de 2021.
- ↑ «Отпускная цена на "Спутник V" снижена в два раза» [El precio de venta de la Sputnik V se ha reducido a la mitad]. www.vesti.ru (en ruso). 25 de febrero de 2021. Consultado el 17 de junio de 2025.
- ↑ «Angola compra vacinas Sputnik V quase ao dobro do preço de mercado» [Angola compra vacunas Sputnik V a casi el doble del precio de mercado]. www.expansao.co.ao (en portugués). 3 de abril de 2021. Consultado el 5 de agosto de 2022.
- ↑ «Egypt's coronavirus vaccination campaign: A timeline» [Campaña de vacunación contra el coronavirus de Egipto: una cronología]. www.englishnew.ahram.org.eg (en inglés). 27 de febrero de 2021. Consultado el 15 de julio de 2022.
- ↑ «Coronavirus update in Ghana: Why Ghana govment buy unit cost of Sputnik V vaccine for $19 instead $10 global factory price» [Actualización de coronavirus en Ghana: por qué el gobierno de Ghana compra el costo unitario de la vacuna Sputnik V por $ 19 en lugar de $ 10, el precio de fábrica global]. www.bbc.com (en inglés). 10 de junio de 2021. Consultado el 5 de agosto de 2022.
- ↑ «Russian coronavirus vaccine Sputnik V arrives in Pakistan» [La vacuna rusa contra el coronavirus Sputnik V llega a Pakistán]. www.thenews.com.pk (en inglés). 17 de marzo de 2021. Consultado el 25 de octubre de 2022.
- ↑ «The Sputnik-V vaccine controversy: AGP pharma explains the price breakup» [La controversia de la vacuna Sputnik-V: AGP pharma explica la ruptura de precios]. www.profit.pakistantoday.com.pk (en inglés). 6 de abril de 2021. Consultado el 25 de octubre de 2022.
- ↑ «Глубокий минус «Спутника». Чего стоит доставить российскую вакцину до прививочных кабинетов» [El gran inconveniente de Sputnik: cuánto cuesta entregar la vacuna rusa en las salas de vacunación]. www.fontanka.ru (en ruso). 13 de enero de 2021. Consultado el 12 de agosto de 2025.
- ↑ «Vacuna rusa. Cómo se mantiene la cadena de frío de la Sputnik V para su conservación». www.tn.com.ar. 28 de diciembre de 2020. Consultado el 5 de noviembre de 2022.
- ↑ «Guía técnica para la aplicación de la vacuna Gam-COVID-Vac» (pdf). www.gob.mx. 29 de septiembre de 2023. Consultado el 12 de agosto de 2025.
- ↑ «COVID-19 Vaccination Updated Sputnik V Vaccine Guidelines» [Vacunación contra la COVID-19. Directrices actualizadas para la vacuna Sputnik V] (pdf). www.nih.org.pk (en inglés). 20 de octubre de 2021. Consultado el 12 de agosto de 2025.
- ↑ «Минздрав изменил требования к хранению вакцины от коронавируса «Спутник V»» [El Ministerio de Salud ha modificado los requisitos de almacenamiento de la vacuna Sputnik V contra el coronavirus]. www.versia.ru (en ruso). 21 de enero de 2021. Consultado el 12 de agosto de 2025.
- ↑ «Quizá "le dejaron colgado": Videa advierte sobre mala aplicación de Sputnik V». www.tiempo.hn. 16 de mayo de 2021. Consultado el 2 de agosto de 2022.
- ↑ «Vacuna Sputnik V: Nueva presentación del Componente 1». www.cime.fcqunc.edu.ar (en inglés). 15 de febrero de 2021. Consultado el 2 de agosto de 2022.
- ↑ «En Rusia comienza la producción de la vacuna Sputnik V en forma de polvo». www.eluniverso.com. 24 de noviembre de 2020. Consultado el 5 de noviembre de 2022.
- ↑ «Empieza la producción de Sputnik V en forma de polvo». www.teleamazonas.com. 25 de noviembre de 2020. Consultado el 13 de agosto de 2025.
- ↑ «Sputnik V: actualización de las condiciones para la conservación y uso de la vacuna». www.cime.fcq.unc.edu.ar. 3 de febrero de 2021. Consultado el 5 de noviembre de 2022.
- ↑ «Регистрационное удостоверение» [Certificado de registro]. www.grls.rosminzdrav.ru (en ruso). 11 de agosto de 2020. Consultado el 12 de agosto de 2025.
- ↑ «Минздрав сообщил о продлении срока годности «Спутника V»» [El Ministerio de Sanidad anunció la ampliación de la fecha de caducidad del Sputnik V]. www.rbc.ru (en ruso). 10 de agosto de 2021. Consultado el 5 de noviembre de 2022.
- ↑ «Регистрационное удостоверение» [Certificado de registro]. www.grls.rosminzdrav.ru (en ruso). 1 de julio de 2025. Consultado el 12 de agosto de 2025.
- ↑ «OMS busca más información sobre Sputnik V, la vacuna rusa contra la COVID-19». www.vanguardia.com.mx. 20 de agosto de 2020. Consultado el 17 de julio de 2021.
- ↑ «WHO Thanks Russia for Developing 'Safe and Effective Sputnik V Vaccine', Regional Head Says» [La OMS agradece a Rusia por desarrollar una 'vacuna Sputnik V segura y eficaz', dice el director regional]. www.sputniknews.com (en inglés). 22 de septiembre de 2020. Archivado desde el original el 22 de septiembre de 2020. Consultado el 13 de febrero de 2023.
- ↑ «Utilización del procedimiento de inclusión en la lista de uso en emergencias para las vacunas contra la COVID-19». www.who.int/es. 30 de septiembre de 2020. Consultado el 17 de julio de 2021.
- ↑ «¿Por qué Occidente sigue pasando por alto las vacunas rusas contra el COVID-19?». www.mundo.sputniknews.com. 20 de enero de 2021. Consultado el 17 de julio de 2021.
- ↑ «¿Se está politizando la elección de la vacuna? Científicos internacionales analizan la Sputnik V». www.mundo.sputniknews.com. 1 de febrero de 2021. Consultado el 17 de julio de 2021.
- ↑ «La OMS espera que la vacuna Sputnik V entre en la cartera de COVAX después de autorización». www.mundo.sputniknews.com. 9 de febrero de 2021. Consultado el 17 de julio de 2021.
- ↑ «WHO still in talks on Russia's Sputnik vaccine but no date for review» [La OMS sigue en conversaciones sobre la vacuna Sputnik de Rusia, pero no hay fecha para su revisión]. www.reuters.com (en inglés). 27 de abril de 2021. Consultado el 17 de julio de 2021.
- ↑ «RDIF and UNICEF sign Sputnik V vaccine supply agreement» [RDIF y UNICEF firman acuerdo de suministro de vacuna Sputnik V]. www.rdif.ru (en inglés). 27 de mayo de 2021. Archivado desde el original el 17 de julio de 2021. Consultado el 13 de febrero de 2023.
- ↑ «Russia to supply UNICEF with Sputnik V doses for 110m people, says RDIF» [Rusia suministrará a UNICEF dosis de Sputnik V para 110 millones de personas, dice RDIF]. www.reuters.com (en inglés). 27 de mayo de 2021. Consultado el 17 de julio de 2021.
- ↑ «‘Health is beyond politics’: WHO’s top official in Europe ‘optimistic’ about Russia’s Sputnik V vaccine emergency authorization» [El máximo funcionario de la OMS en Europa "optimista" sobre la autorización de emergencia de la vacuna Sputnik V rusa]. www.rt.com (en inglés). 4 de junio de 2021. Archivado desde el original el 4 de junio de 2021. Consultado el 13 de febrero de 2023.
- ↑ «Russia expects WHO to approve Sputnik V vaccine within two months -RDIF» ["La salud está más allá de la política": el máximo funcionario de la OMS en Europa "optimista" sobre la autorización de emergencia de la vacuna Sputnik V de Rusia]. www.reuters.com (en inglés). 4 de junio de 2021. Consultado el 17 de julio de 2021.
- ↑ «WHO Finds Production Infringements at Sputnik V Manufacturer» [La OMS encuentra infracciones de producción en el fabricante Sputnik V]. themoscowtimes.com (en inglés). 28 de junio de 2021. Consultado el 17 de julio de 2021.
- ↑ «OJSC Pharmstandard-UfaVITA Statement on Preliminary Questions of WHO Inspection» [Declaración de OJSC Pharmstandard-UfaVITA sobre las cuestiones preliminares de la inspección de la OMS]. www.pharmstd.com (en inglés). 23 de junio de 2021. Consultado el 17 de julio de 2021.
- ↑ «¿Qué vacunas ha aprobado la OMS y cuáles ha aprobado México?». www.politica.expansion.mx. 26 de junio de 2021. Consultado el 17 de julio de 2021.
- ↑ «Mounting evidence suggests Sputnik COVID vaccine is safe and effective» [Una creciente evidencia sugiere que la vacuna Sputnik COVID es segura y efectiva]. www.nature.com. 7 de julio de 2021. Archivado desde el original el 21 de julio de 2021. Consultado el 17 de julio de 2021.
- ↑ «Rusia espera que la OMS apruebe la vacuna Sputnik V en septiembre u octubre». www.baenegocios.com. 13 de julio de 2021. Consultado el 17 de julio de 2021.
- ↑ «Аргентина по просьбе ВОЗ передаст данные об эффективности "Спутника V"» [Argentina, a pedido de la OMS, transmitirá datos sobre la efectividad del "Sputnik V"]. www.tass.ru (en ruso). 25 de enero de 2022. Consultado el 1 de junio de 2022.
- ↑ «Carla Vizzotti pidió a la OMS la aprobación de la vacuna Sputnik V». www.lanacion.com.ar. 24 de enero de 2022. Consultado el 1 de junio de 2022.
- ↑ «La OMS retrasa la aprobación de la Sputnik V por el conflicto Rusia - Ucrania». www.pagina12.com.ar. 18 de marzo de 2022. Consultado el 6 de junio de 2022.
- ↑ «Sputnik V: relegada en el mundo por la guerra con Ucrania, la vacuna rusa sigue fabricándose en el país». lanacion.com.ar. 19 de marzo de 2022. Consultado el 1 de junio de 2022.
- ↑ «ВОЗ все еще планирует провести инспекцию производства вакцины "Спутник V"» [La OMS todavía planea llevar a cabo una inspección de la producción de la vacuna "Sputnik V"]. www.interfax.ru (en ruso). 27 de abril de 2022. Consultado el 1 de junio de 2022.
- ↑ «Status of COVID-19 Vaccines within WHO EUL/PQ evaluation process» [Estado de las vacunas COVID-19 dentro del proceso de evaluación EUL/PQ de la OMS]. www.studentdocs.ucr.edu (en inglés). 26 de mayo de 2022. Consultado el 6 de junio de 2022.
- ↑ «¿Cuáles son las vacunas vs. el COVID aprobadas por la OMS?». www.elfinanciero.com. 19 de mayo de 2022. Archivado desde el original el 19 de mayo de 2022. Consultado el 5 de junio de 2022.
- ↑ «Status of COVID-19 Vaccines within WHO EUL/PQ evaluation process» [Estado de las vacunas COVID-19 dentro del proceso de evaluación EUL/PQ de la OMS]. extranet.whi.int (en inglés). 8 de agosto de 2023. Consultado el 14 de julio de 2025.
- ↑ «La Agencia Europea del Medicamento comienza a evaluar la Sputnik V». www.mundo.sputniknews.com. 11 de febrero de 2021. Consultado el 21 de julio de 2021.
- ↑ «РФПИ подал заявку на регистрацию "Спутника V" в ЕС 29 января» [RDIF solicitó el registro del Sputnik V en la UE el 29 de enero]. www.tass.ru (en ruso). 9 de febrero de 2021. Consultado el 21 de julio de 2021.
- ↑ «Por qué la Unión Europea no usará la vacuna rusa Sputnik». www.elespanol.com. 2 de febrero de 2021. Consultado el 21 de julio de 2021.
- ↑ «Clarification on Sputnik V vaccine in the EU approval process» [Aclaración sobre la vacuna Sputnik V en el proceso de aprobación de la UE]. www.ema.europa.eu (en inglés). 10 de febrero de 2021. Consultado el 21 de julio de 2021.
- ↑ «Confusion over Russia’s EU vaccine approval bid could be result of misdirected application» [La confusión sobre la oferta de aprobación de la vacuna de la UE de Rusia podría ser el resultado de una solicitud mal dirigida]. www.kfgo.com (en inglés). 19 de febrero de 2021. Consultado el 21 de julio de 2021.
- ↑ «EMA few days ago appointed Rapporteurs for Sputnik V dossier» [La EMA nombró hace unos días ponentes para el expediente Sputnik V]. www.twitter.com (en inglés). 19 de febrero de 2021. Consultado el 21 de julio de 2021.
- ↑ «Russia-Ue, il giallo del vaccino Sputnik V» [Rusia-UE, el amarillo de la vacuna Sputnik V]. www.ansa.it (en italiano). 28 de febrero de 2021. Consultado el 21 de julio de 2021.
- ↑ «EMA starts rolling review of the Sputnik V COVID-19 vaccine» [La EMA comienza la revisión continua de la vacuna Sputnik V COVID-19]. www.ema.europa.eu (en inglés). 4 de marzo de 2021. Consultado el 21 de julio de 2021.
- ↑ «Евросоюз начал экспертизу вакцины "Спутник V» [La Unión Europea ha comenzado el examen de la vacuna Sputnik V]. www.ria.ru (en ruso). 4 de marzo de 2021. Archivado desde el original el 4 de marzo de 2021. Consultado el 13 de febrero de 2023.
- ↑ «Agencia Europea de Medicamentos (EMA)». www.europa.eu. 1 de julio de 2021. Consultado el 21 de julio de 2021.
- ↑ «Committee for Medicinal Products for Human Use (CHMP)» [Comité de Medicamentos de Uso Humano (CHMP)]. www.em.europa.eu (en inglés). 26 de julio de 2021. Archivado desde el original el 26 de julio de 2021. Consultado el 21 de julio de 2021.
- ↑ «Developers of Sputnik V demand apology from European Medicines Agency chief after she calls approval of vaccine ‘Russian Roulette’» [Los desarrolladores de Sputnik V exigen disculpas al director de la Agencia Europea de Medicamentos después de que llamara a la aprobación de la vacuna 'ruleta rusa']. www.rt.com (en inglés). 9 de marzo de 2021. Archivado desde el original el 9 de marzo de 2021. Consultado el 13 de febrero de 2023.
- ↑ «Despite months-long EU approval process, bloc members already lining up to produce Sputnik V, makers of Russian Covid-19 jab say» [A pesar del proceso de aprobación de la UE que duró meses, los miembros del bloque ya están haciendo cola para producir el Sputnik V, dicen los fabricantes de la vacuna rusa Covid-19]. www.rt.com (en inglés). 15 de marzo de 2021. Archivado desde el original el 15 de marzo de 2021. Consultado el 13 de febrero de 2023.
- ↑ «¿Impensable? La UE estudia la posibilidad de comprar la vacuna rusa Sputnik V». www.mundo.sputniknews.com. 15 de marzo de 2021. Consultado el 21 de julio de 2021.
- ↑ «Sputnik V alcanza acuerdos con España, Italia, Francia y Alemania para vacuna». www.kwcontinente.com. 15 de marzo de 2021. Consultado el 21 de julio de 2021.
- ↑ «Europe has 'absolutely no need' of Sputnik vaccine - Thierry Breton» [Europa "no necesita en absoluto" la vacuna Sputnik, afirma Thierry Breton]. www.lse.co.uk (en inglés). 22 de marzo de 2021. Consultado el 17 de julio de 2025.
- ↑ «EU regulator to probe ethical standards of Sputnik vaccine trials» [El regulador de la UE investigará los estándares éticos de los ensayos de la vacuna Sputnik]. www.reuters.com (en inglés). 7 de abril de 2021. Consultado el 21 de julio de 2021.
- ↑ «La vacuna rusa Sputnik V podría homologarse en breve en la UE». www.hoy.es. 5 de abril de 2021. Archivado desde el original el 5 de abril de 2021. Consultado el 13 de febrero de 2023.
- ↑ «Sputnik V no ha solicitado aún a la EMA estudiar licencia de uso en la UE». www.forbescentroamerica.com. 13 de abril de 2021. Consultado el 21 de julio de 2021.
- ↑ «EU Regulators Complete Special Ethics Probe Into Sputnik V Clinical Trials» [Los reguladores de la UE completan la investigación de ética especial en los ensayos clínicos del Sputnik V]. www.themoscowtimes.com (en inglés). 29 de abril de 2021. Consultado el 21 de julio de 2021.
- ↑ «La EMA completa la inspección de buenas practicas clínicas de Sputnik V en Rusia». www.lavanguardia.com. 12 de mayo de 2021. Consultado el 21 de julio de 2021.
- ↑ «Sputnik V’s review by EMA, WHO ‘going ahead as planned’, assures health minister» [La revisión de la Sputnik V por la EMA y la OMS 'sigue adelante según lo planeado', asegura el ministro de Salud]. www.tass.com (en inglés). 4 de junio de 2021. Consultado el 21 de julio de 2021.
- ↑ «EU approval of Russia's Sputnik V vaccine delayed» [Se retrasa la aprobación de la UE de la vacuna rusa Sputnik V]. www.reuters.com (en inglés). 16 de junio de 2021. Consultado el 21 de julio de 2021.
- ↑ «European efforts to assess Russia’s Sputnik V vaccine stymied by data gaps» [Los esfuerzos europeos para evaluar la vacuna Sputnik V de Rusia se ven obstaculizados por la falta de datos]. www.reuters.com (en inglés). 13 de julio de 2021. Consultado el 24 de julio de 2021.
- ↑ «Reuters узнал причину задержки одобрения «Спутника V» в Европе» [Reuters averigua el motivo del retraso en la aprobación del "Sputnik V" en Europa]. www.forbes.ru (en ruso). 13 de julio de 2021. Consultado el 14 de julio de 2021.
- ↑ «Update on approved and candidate COVID-19 vaccines in the EU» [Actualización sobre las vacunas contra la COVID-19 aprobadas y candidatas en la UE]. www.ema.eu (en inglés). 29 de marzo de 2021. Consultado el 17 de julio de 2025.
- ↑ «Missing Russian data undermines EU approval of Sputnik V» [La falta de datos rusos socava la aprobación de la UE del Sputnik V]. www.euobserver.com (en inglés). 14 de julio de 2021. Archivado desde el original el 14 de julio de 2021. Consultado el 22-07-02.
- ↑ «Hungría rompe filas con la UE y aprueba la vacuna rusa Sputnik V contra el coronavirus». www.elpais.com. 22 de enero de 2021. Consultado el 21 de julio de 2021.
- ↑ «Eslovaquia aprueba la vacuna rusa Sputnik V». www.mundosputniknews.com. 26 de mayo de 2021. Consultado el 21 de julio de 2021.
- ↑ «Serbia prevé exportar las vacunas Sputnik V que produzca en cuanto cubra su demanda». www.baenegocios.com. 7 de junio de 2021. Consultado el 21 de julio de 2021.
- ↑ «El distribuidor de Sputnik V: El proceso de aprobación por la Agencia Europea de Medicamentos "avanza de manera positiva y profesional"». www.actualidad-rt.com. 4 de agosto de 2021. Consultado el 1 de junio de 2022.
- ↑ «COVID-19 vaccines under marketing authorisation evaluation» [Vacunas contra la COVID-19 en evaluación de autorización de comercialización]. www.ema.europa.eu (en inglés). 17 de julio de 2025. Consultado el 17 de julio de 2025.
- ↑ «Authorised COVID-19 vaccines» [Vacunas autorizadas contra la COVID-19]. www.ema.europa.eu (en inglés). 17 de julio de 2025. Consultado el 17 de julio de 2025.
- ↑ Cohen, Jon (11 de agosto de 2020). «Russia’s approval of a COVID-19 vaccine is less than meets the press release» [La aprobación rusa de una vacuna contra el COVID-19 es menos de lo que dice la prensa]. www.sciencemag.org (en inglés). Consultado el 13 de agosto de 2020.
- ↑ «Skepticism Greets Putin's Announcement Of Russian Coronavirus Vaccine» [Escepticismo ante el anuncio de Putin de una vacuna rusa contra el coronavirus]. www.npr.org (en inglés). Radio Pública Nacional de los Estados Unidos. 11 de agosto de 2020. Consultado el 17 de marzo de 2021.
- ↑ «Expert views: Russia says its Sputnik V COVID-19 vaccine is 92% effective» [Opinión de expertos: Rusia afirma que su vacuna Sputnik V contra la COVID-19 tiene una eficacia del 92%]. www.reuters.com (en inglés). 11 de noviembre de 2020. Archivado desde el original el 20 de noviembre de 2021. Consultado el 30 de diciembre de 2022.
- ↑ «SARS-CoV-2 vaccines in development» [Vacunas contra el SARS-CoV-2 en desarrollo]. www.nature.com (en inglés). 23 de septiembre de 2020. Consultado el 30 de diciembre de 2022.
- ↑ «Russia’s fast-track coronavirus vaccine draws outrage over safety» [La vacuna rusa contra el coronavirus, de rápida administración, genera indignación por su seguridad]. www.nature.com (en inglés). 12 de agosto de 2020. Archivado desde el original el 12 de agosto de 2020. Consultado el 1 de julio de 2022.
- ↑ Jr, Berkeley Lovelace (11 de agosto de 2020). «Scientists worry whether Russia's 'Sputnik V' coronavirus vaccine is safe and effective» [Los científicos se preguntan si la vacuna rusa contra el coronavirus Sputnik V es segura y eficaz]. www.cnbc.com (en inglés). Consultado el 13 de agosto de 2020.
- ↑ Walters, Joanna (11 de agosto de 2020). «Coronavirus: health secretary Alex Azar expects US vaccine by December» [Coronavirus: el secretario de Sanidad, Alex Azar, espera una vacuna estadounidense para diciembre]. www.theguardian.com (en inglés). Consultado el 13 de agosto de 2020.
- ↑ «The Russian vaccine for COVID-19» [La vacuna rusa para el COVID-19]. www.thelancet (en inglés). 4 de septiembre de 2020. Consultado el 3 de agosto de 2021.
- ↑ «“Todo suena muy alentador”: los últimos datos sobre la vacuna rusa Sputnik V “causan gran impresión” en cien médicos de EE. UU.». www.revistapuntual.net. 30 de agosto de 2020. Consultado el 2 de julio de 2022.
- ↑ Brown C. (28 de noviembre de 2020). «Russia says its COVID vaccine is 95% effective. So why is there still Western resistance to it?» [Rusia afirma que su vacuna COVID tiene una eficacia del 95%. Entonces, ¿por qué sigue habiendo resistencia occidental a ella?]. www.cbc.ca (en inglés). Consultado el 3 de diciembre de 2020.
- ↑ «El principal epidemiólogo de EE. UU. evalúa la vacuna rusa Sputnik V contra el covid-19». www.quintafuerza.mx. 6 de marzo de 2021. Consultado el 2 de julio de 2022.
- ↑ «La máxima autoridad sanitaria de EEUU elogió la vacuna rusa». telam. 22 de marzo de 2021. Archivado desde el original el 7 de abril de 2023. Consultado el 29 de abril de 2021.
- ↑ «Presidente de la Comisión de Vacunación alemana: «Sputnik V es una vacuna buena y está diseñada inteligentemente»». wwwreddenoticias. 11 de febrero de 2021. Consultado el 2 de julio de 2022.
- ↑ «U.S. Sanctions Russian Research Institute That Developed Covid-19 Vaccine» [EE. UU. sanciona al instituto de investigación ruso que desarrolló la vacuna contra el COVID-19]. www.strategic-culture.org (en inglés). 29 de agosto de 2020. Archivado desde el original el 29 de agosto de 2020. Consultado el 6 de diciembre de 2022.
- ↑ «Addition of Entities to the Entity List, and Revision of Entries on the Entity List» [Adición de entidades a la lista de entidades y revisión de entradas en la lista de entidades]. www.federalregister.gov (en inglés). 28 de agosto de 2020. Consultado el 6 de diciembre de 2022.
- ↑ «Военные медики против коронавируса» [Médicos militares contra el coronavirus]. www.odkb-info.org (en ruso). 2 de junio de 2020. Archivado desde el original el 13 de diciembre de 2022. Consultado el 10 de diciembre de 2022.
- ↑ «Adenovirus types 5 and 35 seroprevalence in AIDS risk groups supports type 35 as a vaccine vector» [La seroprevalencia de adenovirus tipos 5 y 35 en grupos de riesgo de sida apoya el tipo 35 como vector de vacuna]. www.journals.lww.com (en inglés). 21 de mayo de 2004. Consultado el 27 de julio de 2021.
- ↑ «Fracasa una prometedora vacuna contra el VIH». www.elmundo.es. 25 de septiembre de 2007. Consultado el 27 de julio de 2021.
- ↑ «Merck's Ad5 is AIDS vaccine most likely to test concept» [El Ad5 de Merck es la vacuna contra el sida con más probabilidades de probar el concepto]. www.aidsmap.com (en inglés). 2 de septiembre de 2004. Consultado el 27 de julio de 2021.
- ↑ «Fast Track to Vaccines: How Systems Biology Speeds Drug Development» [Vía rápida hacia las vacunas: cómo la biología de sistemas acelera el desarrollo de fármacos]. www.scientificamerican.com (en inglés). 2011-05. Consultado el 27 de julio de 2021.
- ↑ «Adenovirus Vaccine Vectors and HIV Acquisition Risk: The View from the Summit» [Vectores de la vacuna contra el adenovirus y riesgo de adquisición del VIH: la visión desde la cumbre]. www.treatmentactiongroup.org (en inglés). 19 de septiembre de 2013. Consultado el 26 de julio de 2021.
- ↑ «Vacunas de adenovirus». sputnikvaccine.com. 2021. Consultado el 26 de julio de 2021.
- ↑ «Use of adenovirus type-5 vectored vaccines: a cautionary tale» [Uso de vacunas vectorizadas de adenovirus tipo 5: una advertencia]. www.thelancet (en inglés). 31 de octubre de 2020. Consultado el 26 de julio de 2021.
- ↑ «ImmunityBio Announces Phase I Trial of COVID-19 Vaccine Candidate in South Africa as New Variants of SARS-CoV-2 Spread» [ImmunityBio anuncia el ensayo de fase I de la vacuna candidata a la vacuna COVID-19 en Sudáfrica como nuevas variantes de la propagación del SARS-CoV-2]. www.businesswire.com (en inglés). 20 de octubre de 2020. Consultado el 26 de julio de 2021.
- ↑ «Some COVID-19 vaccines could increase risk of HIV, researchers warn» [Algunas vacunas COVID-19 podrían aumentar el riesgo de contraer el VIH, advierten los investigadores]. www.nypost.com (en inglés). 20 de octubre de 2020. Consultado el 26 de julio de 2021.
- ↑ «Could certain COVID-19 vaccines leave people more vulnerable to the AIDS virus?» [¿Podrían ciertas vacunas COVID-19 dejar a las personas más vulnerables al virus del SIDA?]. www.sciencemag.org (en inglés). 19 de octubre de 2020. Consultado el 26 de julio de 2021.
- ↑ «Four deaths after taking Russian Sputnik V vaccine» [Cuatro muertes tras recibir la vacuna rusa Sputnik V]. www.euobserver.com (en inglés). 9 de abril de 2021. Archivado desde el original el 20 de abril de 2021. Consultado el 3 de junio de 2022.
- ↑ «Russia reassures EU on Sputnik V after EUobserver report» [Rusia tranquiliza a la UE sobre el Sputnik V tras informe de EUobserver]. www.euobserver.com (en inglés). 9 de abril de 2021. Archivado desde el original el 12 de abril de 2021. Consultado el 2 de julio de 2022.
- ↑ «Supplementary appendix The Lancet Phase III» [Anexo complementario The Lancet Fase III]. www.thelancetr.com (en inglés). 2 de febrero de 2021. Consultado el 3 de noviembre de 2022.
- ↑ «EUobserver: у 10 человек в России были осложнения после вакцинации «Спутником V», четверо из них умерли Росздравнадзор заявил, что не было ни одной смерти из-за самой вакцины» [EUobserver: 10 personas en Rusia tuvieron complicaciones después de ser vacunadas con Sputnik V, cuatro de ellas murieron Roszdravnadzor dijo que no hubo muertes debido a la vacuna en sí]. www.meduza.io (en ruso). 9 de abril de 2021. Consultado el 3 de junio de 2022.
- ↑ «Scientists question ‘strange’ data in Russian coronavirus vaccine trial after ‘unlikely’ patterns» [Los científicos cuestionan los datos «extraños» en el ensayo de la vacuna rusa contra el coronavirus después de patrones «poco probables»]. www.cnbc.com (en inglés). 10 de septiembre de 2020. Consultado el 10 de junio de 2022.
- ↑ «Data discrepancies and substandard reporting of interim data of Sputnik V phase 3 trial» [Discrepancias de datos y informes deficientes de datos intermedios de Prueba de fase III del Sputnik V] (pdf). www.thelancet.com (en inglés). 12 de mayo de 2021. Consultado el 10 de junio de 2022.
- ↑ «Sputnik V controversy: still no raw data» [Controversia del Sputnik V: todavía no hay datos sin procesar]. www.clinicaltrialsarena.com (en inglés). 2 de junio de 2021. Archivado desde el original el 2 de junio de 2021. Consultado el 10 de junio de 2022.
- ↑ «Cuestionan el estudio que publicó el Ministerio de Salud en The Lancet sobre la efectividad de Sputnik V». www.lanacion.com.ar. 7 de abril de 2022. Consultado el 2 de julio de 2022.
- ↑ «Safety and efficacy of the Russian COVID-19 vaccine: more information needed – Authors’ reply» [Seguridad y eficacia de la vacuna rusa contra el COVID-19: se necesita más información - Respuesta de los autores]. www.thelancet.com (en inglés). 3 de octubre de 2020. Consultado el 10 de junio de 2022.
- ↑ «Note of concern» [Nota de preocupación]. www.cattiviscienziati.com (en inglés). 7 de septiembre de 2020. Consultado el 10 de junio de 2022.
- ↑ «Tricky data ‘Sputnik V’ developers respond to Western critics, but the debate might overlook the vaccine’s biggest problem» [Los desarrolladores de 'Sputnik V' de datos engañosos responden a los críticos occidentales, pero el debate podría pasar por alto el mayor problema de la vacuna]. www.meduza.io (en inglés). 24 de septiembre de 2020. Consultado el 10 de junio de 2022.
- ↑ «Plausibility of Claimed Covid-19 Vaccine Efficacies by Age: A Simulation Study» [Plausibilidad de las supuestas eficacias de la vacuna contra el covid-19 por edad: un estudio de simulación]. www.journals.lww.com (en inglés). 20 de junio de 2022. Consultado el 30 de junio de 2022.
- ↑ «Científicos dicen que "es muy poco probable" que los resultados de la vacuna Sputnik V sean "genuinos"». www.perfil.com. 22 de junio de 2022. Consultado el 30 de junio de 2022.
Enlaces externos
- «Sputnik V. La primera vacuna registrada contra el COVID-19». Web oficial. En español. Todo sobre la vacuna Sputnik V. The Gamaleya National Center y RDIF.
- «The Gamaleya National Center of Epidemiology and Microbiology». Web oficial. En inglés y ruso. The Gamaleya National Center.
- ¿Cómo funciona la vacuna? Artículo del The New York Times en español.
_(3%252C_cropped).jpg)