Sulfonación aromática
La sulfonación aromática es una reacción orgánica en la que un átomo de hidrógeno en un anillo aromático es reemplazado por un grupo funcional de ácido sulfónico en una sustitución aromática electrófila.[1] El caso más sencillo sería la sulfonación del benceno, el cual reacciona lentamente con el ácido sulfúrico a temperaturas elevadas, dando lugar al ácido bencenosulfónico.[2] En la industria química se utilizan habitualmente para la fabricación de detergentes, tintes y medicamentos.

Estequiometría y mecanismo

Las condiciones típicas implican calentar durante varias horas, a reflujo, el compuesto aromático con ácido sulfúrico.[3] El mecanismo de la reacción implica la formación de trióxido de azufre, SO3, por lo que habitualmente se emplea ácido sulfúrico fumante, ya que la concentración de SO3 es mayor, con lo que el proceso de sulfonación es algo más rápido.[2]
En esta sustitución aromática electrofílica, el trióxido de azufre o su derivado protonado es el electrófilo.
Para estabilizar la reacción, se pueden agregar agentes deshidratantes como cloruro de tionilo:
El ácido clorosulfúrico (ácido clorosulfónico) también es un agente sulfonante efectivo:
A diferencia de la nitración aromática y la mayoría de las otras sustituciones aromáticas electrofílicas, esta reacción es reversible. La sulfonación tiene lugar en condiciones ácidas concentradas y la desulfonación es el modo de acción en un ácido acuoso caliente diluido. Si se trata ácido bencenosulfónico con vapor de agua sobrecalentada, se convierte en benceno y ácidos sulfúrico.
El mecanismo de esta reacción es el mismo que el de la sulfonación del benceno indicado anteriormente; es decir, también es una sustitución aromática, con la diferencia de que las etapas se suceden en orden inverso.[2]
Esta reacción es de gran utilidad en la protección del sistema aromático gracias a su reversibilidad: debido a los efectos de la captación de electrones, los grupos protectores de los sulfonatos se pueden utilizar para prevenir la sustitución aromática electrófila.[4] También se pueden instalar como grupos activantes para afectar la posición en la que puede tener lugar la sustitución.
Métodos especializados de sulfonación
Además de la tratada anteriormente, la ingeniería química ha desarrollado varios métodos especializados para introducir grupos sulfonados.
Reacción de Piria
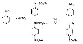
Una reacción clásica es la Reacción de Piria (Raffaele Piria, 1851) en la cual un nitrobenceno en la que el nitrobenceno reacciona con un bisulfito metálico formando un ácido aminosulfónico como resultado de la reducción combinada del grupo nitro y la sulfonación.[5]

Proceso de sulfonación de Tyrer
En el proceso de sulfonación de Tyrer (1917)[6] el vapor de benceno es conducido a través de un recipiente que contiene 90% de ácido sulfúrico, cuya temperatura se aumenta de 100 a 180°. El agua y el benceno se eliminan continuamente en un condensador y la capa de benceno se devuelve al recipiente. De esta forma se obtiene un rendimiento del 80%.[7]

Reacciones de los ácidos arilsulfónicos
Como grupo funcional, los ácidos arilsulfónicos sufren desulfonación cuando se calientan en agua:
Cuando se tratan con una base fuerte, los derivados del ácido bencenosulfónico se convierten en fenoles (a través de los fenóxidos):[8]
La reacción se lleva a cabo mediante fusión alcalina, consistente en tratar el ácido sulfónico aromático con hidróxido sódico fundido y una vez terminada la reacción, neutralizar con un ácido. Ello hace que los ácidos sulfónicos aromáticos sean particularmente útiles como compuestos intermedios en muchos procesos de síntesis orgánica, pues en la práctica estos ácidos no se preparan ni se manejan como tales, ya que son muy corrosivos y difíciles de manejar. Cuando es necesario aislarlos se les convierte en sus sales o en cloruros de arenosulfonilo. la mayoría de los cloruros de arenosulfonilo son fáciles de purificar por cristalización, son mucho menos reactivos que el correspondiente ácido y son mucho más fáciles de manejar.[2]
Véase también
Referencias
- ↑ Universidad de Zaragoza (ed.). Reacciones de compuestos aromáticos. Química orgánica para ingenieros.
- ↑ a b c d Allinger, N L. y otros (1978). «Cap. 16.4 Sufonación». Química orgánica. Barcelona: Reverté. ISBN 9788429170153.
- ↑ Otto Lindner, Lars Rodefeld (2005). «Benzenesulfonic Acids and Their Derivatives». Ullmann's Encyclopedia of Industrial Chemistry. doi:10.1002/14356007.a03_507.
- ↑ Graham Solomons (2013). Wiley, ed. Química Orgánica. p. 676. ISBN 978-1-118-13357-6.
- ↑ Piria, Raffaele (1851). «Über einige Produkte der Einwirkung des schwefligsäuren Ammoniaks auf Nitronaphtalin». Annalen der Chemie und Pharmacie 78: 31-68. ISSN 0075-4617. doi:10.1002/jlac.18510780103.
- ↑ Patente USPTO n.º 1,210,725
- ↑ Siegfried Hauptmann: (1985). VEB Deutscher Verlag für Grundstoffindustrie, ed. Organische Chemie. p. 511. ISBN 3-342-00280-8.
- ↑ W. W. Hartman (1923). «p-Cresol». Organic Syntheses 3: 37. doi:10.15227/orgsyn.003.0037.