Times Beach
| Times Beach | ||
|---|---|---|
| Entidad subnacional | ||
![]() Times Beach Localización de Times Beach en Misuri | ||
| Coordenadas | 38°30′31″N 90°36′09″O / 38.508611111111, -90.6025 | |
| Entidad | Ciudad fantasma, Despoblado y Pueblo | |
| • País |
| |
Times Beach es una ciudad fantasma en el condado de St. Louis, Misuri, Estados Unidos, 17 millas (27 km) al suroeste de San Luis y 2 millas (3 km) al este de Eureka. Una vez hogar de más de dos mil personas, la ciudad fue completamente evacuada a principios de 1983 debido a la contaminación por TCDD, también conocida como dioxina. Fue la mayor exposición civil al complejo en la historia de los Estados Unidos.
En 1985, el estado de Misuri desincorporó oficialmente la ciudad de Times Beach. El sitio de Times Beach ahora alberga un parque estatal de 419 acres (170 ha) que conmemora la Ruta 66, la famosa carretera que se extendió desde Chicago, Illinois, hasta Santa Mónica, California, y pasó por la comunidad, así como la historia del área de Times Beach.[1] El parque abrió sus puertas en 1999.[2] En 2001, la EPA eliminó Times Beach de su lista de Superfund.[3]
Historia
Times Beach fue fundada en 1925 en la llanura inundada del río Meramec en una promoción del ahora desaparecido periódico St. Louis Star-Times. Una compra de un lote de 20 × 100 pies (6 por 30 m) por $67.50 incluyó una suscripción de periódico de seis meses.[1][4]
En sus primeros años, la ciudad fue principalmente un complejo de verano, pero la Gran Depresión combinada con el racionamiento de gasolina durante la Segunda Guerra Mundial redujo la viabilidad de las casas de verano.[4] La ciudad se convirtió en una comunidad de viviendas en su mayoría de bajos ingresos, y una pequeña población (1.240) vivía en Times Beach en 1970.[4] En los años inmediatamente anteriores a su evacuación, Times Beach se había convertido en una ciudad de clase media-baja.[4] Históricamente, siempre había habido una pequeña tienda de comestibles y una gasolinera en la ruta 66 para servir a los residentes.[cita requerida]
Propensa a inundaciones a lo largo de su historia — sus primeros edificios fueron construidos sobre pilotes[4] — la ciudad experimentó una devastadora inundación en diciembre de 1982. Sucedió justo cuando la Agencia de Protección Ambiental (EPA) estaba confirmando que la dioxina contaminó el suelo,[5] lo que llevó a la evacuación de la ciudad en 1985[2] y a la demolición completa en 1992.[6] La ciudad fue des-incorporada por orden ejecutiva del gobernador de Misuri John Ashcroft en 1985.[7]
La historia de Times Beach apareció en las Maravillas Modernas de History Channel, en el episodio "Engineering Disasters 20".
Contaminación por dioxinas
Acontecimientos previos a la crisis
Eliminación de residuos químicos NEPACCO
A finales de la década de 1960, la Northeastern Pharmaceutical and Chemical Company, Inc. (NEPACCO) comenzó a operar desde una instalación ubicada cerca de Verona, en el suroeste de Misuri. Esta instalación era propiedad de Hoffman-Taff, una empresa que produjo el herbicida Agente Naranja para su uso durante la Guerra de Vietnam.[8] En el momento en que NEPACCO cesó sus operaciones en 1972, Hoffman-Taff había sido tomado por Syntex Agribusiness.[9]
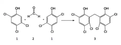
De 1970 a 1972, NEPACCO participó principalmente en la producción de hexaclorofeno (3), un agente antibacteriano utilizado en jabón, pasta de dientes y desinfectantes domésticos comunes, de 2,4,5-trichlorophenol (1) y formaldehído (2).[8][9]

2,4,5-trichlorophenol se sintetiza a partir de 1,2,4,5-tetrachlorobenzene por la reacción de Sustitución nucleófila aromática con hidróxido de sodio (NaOH). Desafortunadamente, la dimerización instantánea del fenol resultante produce cantidades traza de 2,3,7,8-tetrachlorodibenzo-p-dioxina (TCDD), un compuesto extremadamente tóxico conocido por tener efectos adversos agudos y crónicos.[9]

Comenzando el proceso de producción con 2,4,5-trichlorophenol que contenía 3-5 partes por millón (ppm) de dioxina, NEPACCO fue capaz de reducir la concentración de dioxina en hexaclorofeno a 0,1 ppm.[10] El resultado de este proceso de purificación condujo al almacenamiento y acumulación de fondos de dioxina fuertemente concentrados, o residuos gruesos y aceitosos, en un tanque de almacenamiento ubicado cerca de la instalación en Verona. Cuando NEPACCO comenzó a operar, los fondos quietos fueron enviados a una planta de desechos en Luisiana para su incineración.[8] Aunque la incineración era el mejor método para destruir dioxinas en ese momento, también era muy costosa. En busca de alternativas menos costosas, NEPACCO contrató los servicios de la Corporación Petroquímica Independiente (IPC).[10] Sin embargo, IPC, una empresa proveedora de productos químicos, sabía muy poco sobre la eliminación de residuos, y subcontrató el trabajo de NEPACCO a Russell Martin Bliss, el propietario de un pequeño negocio local de aceite de desecho. Cobrando NEPACCO $3000 por carga, IPC pagó a Bliss $125 por carga.
Entre febrero y octubre de 1971, Bliss recogió seis camiones cargados (casi 18.500 galones) de residuos químicos fuertemente contaminados con dioxina. Bliss llevó la mayor parte de los fondos quietos a su instalación de almacenamiento cerca de Frontenac, Misuri, donde los desechos contaminados de NEPACCO fueron descargados y mezclados en tanques que contenían aceites de motor usados. Posteriormente, parte del petróleo contaminado fue vendido a MT Richards, una compañía de combustible en Illinois, y a la Midwest Oil Refining Company en Overland, Misuri.[8]
Primeros casos de contaminación
Además de su negocio de aceite de desecho, Bliss era dueño de una arena de caballos y una granja, donde rociaba aceites usados para controlar el problema del polvo. Una aplicación mantuvo el polvo abajo durante varios meses. Aquellos que visitaron la propiedad de Bliss quedaron impresionados por lo bien que funcionaba la técnica. No pasaron mucho tiempo antes de que la gente comenzara a contratarlo para sus servicios supresores de polvo.[10]
El 26 de mayo de 1971, los propietarios de Shenandoah Stable, ubicado cerca de Moscow Mills, Misuri, Judy Piatt y Frank Hampel, pagaron a Bliss $150 para rociar el suelo de su arena cubierta.[8][11] El aceite usado rociado, que totalizaba un volumen de 2.000 galones, era inusualmente grueso, y dejó un olor penetrante y ardiente.[10][12] A los pocos días de la fumigación, las aves comenzaron a caer muertas de las vigas de los graneros, y los caballos comenzaron a desarrollar llagas y a perder el cabello. Piatt y Hampel culparon de estos hechos a Bliss, quien negó su responsabilidad, alegando que el material que roció no era más que aceite de motor viejo.[8]
Actuando sobre sus sospechas, Piatt y Hampel retiraron la parte superior de seis pulgadas de tierra de toda la arena y se deshicieron de ella en un vertedero. A pesar de la eliminación de otras 12 pulgadas de tierra unos meses más tarde, los caballos que llegaron a la arena todavía se enfermaron.[10] Después de varios meses, 62 caballos murieron o se volvieron tan demacrados que tuvieron que ser eutanasiados. Las dos hijas pequeñas de Hampel, Piatt y Piatt también enfermaron, desarrollando dolores de cabeza, hemorragias nasales, dolor abdominal y diarrea.[12]
Un mes después de la fumigación en Shenandoah, Bliss fue contratado para rociar la arena en Timberline Stables, cerca de Jefferson City, Misuri. Doce caballos murieron y los niños expuestos a la arena fueron diagnosticados con cloraccina, una condición de la piel asociada con la intoxicación por dioxinas.[10][13] Sospechando que el aceite de Bliss era la fuente de sus problemas, los propietarios de Timberline retiraron la capa superior de suelo de su propiedad.[10]
Una tercera arena, en Bubbling Springs Ranch, cerca de St. Louis, también fue rociada casi al mismo tiempo que Timberline y enfrentó problemas similares. Al igual que en Shenandoah y Timberline, los propietarios decidieron eliminar la capa superior de tierra de su arena. Vernon Stout, un contratista de calificación de carreteras, completó la remoción en marzo de 1973. Sin embargo, en lugar de llevar el suelo a un vertedero, Stout descargó el suelo en una de sus propiedades y en la casa cercana de Harold Minker.[10]
Investigaciones de los CDC
Las muertes y enfermedades inexplicables en Shenandoah llamaron inmediatamente la atención de los Centros para el Control y Prevención de Enfermedades (CDC). En agosto de 1971, los CDC completaron una inspección de Shenandoah Stable, y recogieron muestras de sangre humana y animal, así como muestras de suelo.[8] Aunque los resultados iniciales revelaron que el suelo en Shenandoah Stable contenía PCB e insecticidas clorados, los CDC no pudieron identificar a un culpable químico específico. No fue hasta 1973 que las pruebas revelaron la presencia de triclorofenol.[12] Cuando se administraron trazas del contaminante del triclorofenol crudo a las superficies internas de las orejas de conejo, se desarrollaron ampollas, lo que fue un resultado característico de la intoxicación por triclorofenol.[8] Sin embargo, la inesperada muerte de algunos de los conejos afectados llevó a los CDC a realizar pruebas más complejas.
El 30 de julio de 1974, los CDC encontraron que, además de 5.000 ppm de triclorofenol y 1.590 ppm de PCB, las muestras de suelo recogidas de Shenandoah contenían más de 30 ppm de dioxina.[12] Aunque poco se sabía sobre los efectos de la dioxina en los seres humanos, la letalidad de pequeñas dosis en animales era alarmante. Como resultado, los CDC se dispusieron inmediatamente a localizar otros posibles sitios de contaminación. Cuando se enfrentó a los CDC, Bliss declaró que no sabía de dónde podía haber salido la dioxina.
Debido a que la dioxina era un subproducto de sólo un puñado de productos químicos, siendo el triclorofenol el más común, los CDC redujeron su búsqueda a empresas en Misuri usando o produciendo triclorofenol. NEPACCO era la única empresa en la lista de búsqueda que había entrado en contacto con Bliss.[10]
NEPACCO salió del negocio en 1972, después de que la Administración de Alimentos y Medicamentos (FDA) había emitido una prohibición que limitaba el uso de hexaclorofeno. La prohibición estuvo motivada por la muerte de treinta y dos bebés en Francia que estuvieron expuestos a altos niveles de hexaclorofeno en polvo para bebés.[8] Durante una inspección de la antigua instalación de NEPACCO en Verona, que ahora era propiedad en su totalidad de Syntex Agribusiness, los CDC descubrieron un viejo tanque lleno de 4.300 galones de nepacco todavía fondos a una concentración de dioxinas de más de 340 ppm. Debido a la falta de incineradores cerca de la planta de Verona, la eliminación adecuada de los restos de los fondos quietos no se completaría hasta 1979.[10]
Con una investigación adicional de los lugares contaminados, los CDC aconsejaron a los residentes de las propiedades minker y stout minimizar el contacto con el suelo. Las muestras de suelo habían revelado una concentración de dioxina de 0,85 ppm en la propiedad de Minker, y una concentración de 0,44 ppm en la propiedad de Stout. En un informe confidencial de 1975 a la Agencia de Protección Ambiental (EPA), los CDC también aconsejaron además la remoción y el entierro de suelo contaminado de ambas propiedades. En el mismo documento, sin embargo, los CDC informaron que la vida media de la dioxina era de un año.[14] Basándose en esta estimación, que más tarde se encontró incorrecta, los funcionarios de Misuri decidieron renunciar a la limpieza recomendada.[10] Hoy en día, se estima que la vida media de la dioxina es de siete a once años.[15]
Participación de la EPA
La EPA no se involucró en gran medida con las contaminaciones de dioxinas de Misuri hasta 1979, cuando un ex empleado de NEPACCO informó del entierro de residuos tóxicos en una granja ubicada a unos siete kilómetros de Verona. NEPACCO había pagado a James Denney, el dueño de la granja, $150 por el uso de su propiedad. Según las investigaciones de la EPA, un total de 90 tambores, todos corroídos y con fugas, fueron desenterrados. Once de estos tambores contenían todavía fondos con concentraciones de dioxinas de hasta 2.000 ppm.[14]
En mayo y junio de 1982, la EPA decidió revisar los establos Shenandoah, Timberline y Bubbling Springs, así como las propiedades Minker y Stout. Nuevas muestras de suelo revelaron que las concentraciones de dioxina no habían disminuido desde los últimos resultados de las pruebas obtenidas por los CDC varios años antes. Aunque habían pasado más de diez años desde la fumigación, las áreas en el estadio Shenandoah todavía contenían hasta 1,8 ppm de dioxina. Funcionarios regionales de la EPA aconsejaron a los propietarios de los establos contaminados que cerraran temporalmente e instaron a la oficina nacional de la EPA a comenzar las operaciones de limpieza en cada uno de los lugares contaminados. Estas solicitudes de limpieza se retrasaron cuando Rita Lavelle, administradora adjunta de la sede de la EPA en Washington, anunció que la EPA recogería y probaría 600 muestras adicionales de suelo para comprender mejor el alcance de la contaminación. [cita requerida]
El manejo de los eventos por parte de la EPA en Misuri llamó la atención nacional a finales de 1982 cuando el Fondo de Defensa Ambiental, un grupo de interés público, publicó un documento filtrado de la EPA que enumeraba un total de 14 sitios confirmados y 41 posiblemente contaminados en el estado de Misuri. La ciudad de Times Beach fue uno de los lugares enumerados. El Fondo de Defensa Ambiental también afirmó que la EPA había decidido reducir los estándares de protocolo de limpieza de dioxinas. Aunque los CDC aconsejaron limpiezas en lugares donde los niveles de dioxinas eran tan bajos como 0,001 ppm, el informe del Fondo de Defensa Ambiental sugirió que los nuevos protocolos de la EPA sólo requerirían limpieza en lugares donde las concentraciones de dioxinas estaban por encima de 0,1 ppm.[8]
Crisis en Times Beach
Doble desastre
En 1972, Times Beach contrató a Bliss para engrasar sus 23 millas de caminos de tierra (debido a la falta de financiación, Times Beach no pudo pavimentar sus carreteras). Por $2,400, Bliss roció aproximadamente 160,000 galones de aceite usado en Times Beach durante un período de cuatro años.[14] La publicación del documento filtrado de la EPA en 1982 fue la primera vez que Times Beach se enteró de su contaminación.[12] Los residentes se sintieron traicionados y criticaron públicamente a la EPA por no informarles de los peligros tóxicos alrededor de sus hogares.[14] Dado que Times Beach tenía la mayor población de los sitios listados, Times Beach se convirtió en el tema de los medios de comunicación nacionales y la atención.[cita requerida]
Con la presión del público, la EPA pronto comenzó la investigación en Times Beach. El muestreo de suelo se completó fortuitamente el 3 de diciembre de 1982, un día antes de que Times Beach sufriera su peor inundación de la historia cuando el río Meramec rompió sus orillas y se elevó más de 14 pies por encima de la etapa de inundación.[11][14] Los residentes de Times Beach fueron evacuados, y para cuando las aguas comenzaron a retroceder, la EPA había concluido su análisis. Los resultados revelaron concentraciones de dioxinas de hasta 0,3 ppm a lo largo de toda la red de carreteras de la ciudad.[10]
Esfuerzos de compra y limpieza
El 23 de diciembre de 1982, los CDC recomendaron públicamente que Times Beach no fuera habitada de nuevo. Los funcionarios no estaban seguros de los efectos sobre la salud de la exposición extensa a las dioxinas y aún más inciertos sobre cómo librar a toda una ciudad de dioxinas. Debido a que la ciudad estaba situada en una llanura de inundación, los funcionarios estaban más preocupados de que las inundaciones posteriores propagaran la contaminación fuera de control.[8]
Las discusiones sobre una compra federal comenzaron el 7 de enero de 1983, cuando el presidente Ronald Reagan creó el Times Beach Dioxin Task Force, que estaba formado por representantes de la EPA, los CDC, la Agencia Federal para el Manejo de Emergencias (FEMA) y el Cuerpo de Ingenieros del Ejército. Durante una conferencia de prensa el 22 de febrero de 1983, la EPA anunció que el gobierno federal pagaría $33.0 millones del costo estimado de $36.7 millones para comprar las 800 propiedades residenciales y 30 negocios de Times Beach. Los $3.7 millones restantes serían responsabilidad del Estado.[14]
En 1985, toda la población de Times Beach de más de 2.000 residentes había sido reubicada, y el gobernador John Ashcroft había emitido una orden ejecutiva para la des-incorporación de la ciudad.[16]
Dado que contenía más del 50 por ciento de la dioxina en el estado de Misuri y debido a que ya no estaba habitada, Times Beach era la opción lógica para la colocación de un nuevo incinerador. La construcción de la incineradora comenzó en junio de 1995. Una vez construido, quemó más de 265.000 toneladas de materiales contaminados con dioxinas de todo el estado. La limpieza de Misuri se completó en 1997 y había costado cerca de $200 millones.[8][12]
Acción legal y responsabilidad
En respuesta a los acontecimientos ocurridos en Misuri durante la década de 1970, se aprobaron una serie de leyes para regular la generación y eliminación de productos potencialmente peligrosos. En 1976, el Congreso aprobó la Ley de Control de Sustancias Tóxicas, que exigía la prueba de sustancias químicas que pudieran representar un riesgo irrazonable para el medio ambiente. En 1976, el Congreso también aprobó la Ley de Conservación y Recuperación de Recursos (RCRA, por sus días), que regulaba el transporte y la eliminación de residuos peligrosos.[14] En 1980, la aprobación de la Ley integral de respuesta ambiental, compensación y responsabilidad (CERCLA) estableció un superfondo multimillonario para investigar y limpiar sitios antiguos y abandonados de desechos peligrosos.
El paso del CERCLA también definió la responsabilidad de una empresa y aseguró que las partes responsables de la liberación de sustancias tóxicas son consideradas responsables en caso de daños o perjuicios ambientales. En 1983, el gobierno federal demandó a NEPACCO y sus oficiales, Edwin Michaels y John W. Lee, en Estados Unidos contra Northeastern Pharmaceutical and Chemical Co.. Bajo las disposiciones del CERCLA, NEPACCO se vio obligado a pagar al gobierno federal por sus esfuerzos de limpieza en la granja de James Denney, el sitio donde NEPACCO había enterrado noventa tambores de sus desechos químicos más de una década antes.[10][17][18][19]
Debido a que el RCRA no se implementó hasta 1976, Bliss no estaba legalmente obligado a llevar registros de los desechos químicos que había recogido de NEPACCO. Durante las investigaciones en torno a la contaminación por dioxinas en Misuri, Bliss sostuvo que no tenía conocimiento de la presencia de dioxina en los desechos químicos que recogía de NEPACCO.[11] Aun así, Bliss fue objeto de muchas persecuciones legales. Más de 14.000 demandas ciudadanas fueron presentadas contra NEPACCO y sus funcionarios, Syntex Agribusiness, IPC y Bliss.[10] Entre ellos estaban los casos de Piatt y Hample, quienes en 1976 resolvieron su demanda contra Bliss por $10,000 y contra IPC por $100,000. En 1981, Piatt y Hample también se conformaron con $65,000 de NEPACCO. IPC pagó $1 millón a cada una de las hijas de Piatt en 1983.[14]
Consecuencias de la contaminación
Aunque la decisión de reubicación en 1982 se tomó en el mejor interés y la seguridad de los residentes de Times Beach, la evacuación no fue una transición fácil. Ochocientas familias tuvieron que dejar sus vidas completamente atrás. Inicialmente, los padres estaban preocupados por qué hacer y dónde ir en busca de ayuda financiera. A medida que comenzaban a establecerse en sus nuevas vidas, sus preocupaciones logísticas y financieras pronto fueron reemplazadas por el temor de que sus hijos se vieran afectados por enfermedades crónicas repentinas. El trauma psicológico causado por la reubicación era inconmensurable.[8]

Varios meses después de la evacuación, la Asociación Médica Estadounidense (AMA) criticó públicamente a los medios de comunicación por difundir información no científica sobre la dioxina y los riesgos para la salud asociados con ella. La AMA declaró que no había pruebas de consecuencias adversas por la exposición a dioxinas de bajo nivel. Estudios posteriores de personas potencialmente expuestas de Times Beach y algunos otros lugares contaminados en Misuri no han revelado resultados adversos para la salud que puedan estar directamente relacionados con la dioxina.[14] En un estudio realizado por los CDC y la División de Salud de Misuri, no se observaron casos de cloracne, un síntoma común de intoxicación aguda por dioxinas, en los residentes de Times Beach.[13]
En mayo de 1991, el Dr. Vernon Houk, director del Centro de Salud Ambiental de los CDC, había llegado a la misma conclusión que la AMA. Aunque había hecho la recomendación oficial de reubicar permanentemente a los residentes de Times Beach en 1982, en 1991, ya no creía que la evacuación hubiera sido necesaria.[20]
La tierra que una vez fue Times Beach es ahora Route 66 State Park. Un edificio de la ciudad todavía existe: el centro de visitantes del parque fue una vez una casa de carretera de los días de gloria de Times Beach y fue la sede de la EPA para el área. Hay un gran montículo de hierba debajo del cual están los escombros de los edificios demolidos de la antigua ciudad.[21] La EPA revisó y probó el suelo en el Parque Estatal Route 66 en junio de 2012. El 19 de noviembre de 2012, se informó que "las muestras de suelo del Parque Estatal de la Ruta 66 no muestran riesgos significativos para la salud de los visitantes o trabajadores del parque".[22]
Véase también
Referencias
- ↑ a b Powell, William (3 de diciembre de 2012). «Remember Times Beach: The Dioxin Disaster, 30 Years Later». www.stlmag.com (en inglés estadounidense). Consultado el 30 de abril de 2021.
- ↑ a b Hinckley, Jim (2012). The Route 66 Encyclopedia. Minneapolis: Voyageur Press. p. 253–254. ISBN 9780760340417.
- ↑ «Times Beach Deleted from National Priorities List». nepis.epa.gov (en inglés). 2001. Consultado el 4 de mayo de 2021.
- ↑ a b c d e «S/R 7-8: The Times Beach Story (Marilyn Leistner)». www.greens.org. Consultado el 30 de abril de 2021.
- ↑ Post-Dispatch, Tim O'Neil St Louis. «A Look Back • How a December flood wiped Times Beach off the map in 1982». STLtoday.com (en inglés). Consultado el 30 de abril de 2021.
- ↑ Tribune, Casey Bukro, Chicago. «AS TOWN IS RAZED, SOME THINK DANGER WASN`T REAL». chicagotribune.com (en inglés estadounidense). Consultado el 30 de abril de 2021.
- ↑ Ashcroft, John (1985). «Executive Order 85-9» (PDF). Jefferson City, Misuri. Consultado el 4 de mayo de 2021.
- ↑ a b c d e f g h i j k l m Hernan, Robert (2010). This Borrowed Earth: Lessons from the 15 Worst Environmental Disasters around the World. Nueva York: Palgrave Macmillan. ISBN 9780230619838.
- ↑ a b c «Dioxins: An Overview and History». Environmental Science and Technology 45 (1): 16-20. 2011. PMID 20815379. doi:10.1021/es1013664.
- ↑ a b c d e f g h i j k l m n Gough, Michael (1986). Dioxin, agent orange : the facts. New York : Plenum Press. ISBN 978-0-306-42247-8. Consultado el 4 de mayo de 2021.
- ↑ a b c Sun, Marjorie (1983). «Missouri's Costly Dioxin Lesson». Science 219 (4583): 367-369. Bibcode:1983Sci...219..367S. PMID 6849139. doi:10.1126/science.6849139.
- ↑ a b c d e f Allen, Robert (2004). Dioxin War: Truth and Lies About a Perfect Poison. Londres: Pluto Press.
- ↑ a b Suskind, Raymond. «Chloracne, "the hallmark of dioxin intoxication"». Scandinavian Journal of Work, Environment & Health 11 (3): 165-171. PMID 2930898. doi:10.5271/sjweh.2240.
- ↑ a b c d e f g h i Aaron B. Wildavsky (1995). But Is It True? A Citizen's Guide to Environmental Health and Safety Issues. Harvard University Press. ISBN 978-0-674-08922-8. Consultado el 4 de mayo de 2021.
- ↑ «Dioxins and their effects on human health». www.who.int (en inglés). Consultado el 4 de mayo de 2021.
- ↑ «Ill-Fated Times Beach, Missouri – Legends of America». www.legendsofamerica.com. Consultado el 4 de mayo de 2021.
- ↑ Dubuc, Carroll; Evans, William (1988). «United States v. Northeastern Pharmaceutical and Chemical Co., Inc.: The Eighth Circuit unleashes a CERCLA Dragnet on Corporate Officials». Tort and Insurance Law Journal 24 (1): 168-178.
- ↑ Moore, Kenneth; Kowalski, Kathiann (1984). «When is One Generator Liable for Another's Waste». Cleveland State Law Reviews 33 (1).
- ↑ McMahon, Tom; Moertl, Katie (1988). «The Erosion of Traditional Corporate Law Doctrines in Environmental Cases». Natural Resources & Environment 3 (3).
- ↑ Lieberman, Adam; Kwon, Simona (2004). «Facts versus Fears: A Review of the Greatest Unfounded Health Scares of Recent Times». American Council on Science and Health.
- ↑ Hernan,Robert Emmet This Borrowed Earth, Chapter "Times Beach", Palgrave 2010, ISBN 978-0-230-61983-8
- ↑ Route 66 State Park in Eureka Cleared by EPA Officials by Julie Brown Patton Eureka-Wildwood Patch 20 Nov 2012
Enlaces externos
- Imagen satelital de Google Maps (Las antiguas carreteras de Times Beach son vagamente visibles.)
- "Times Beach, Mo., Board Moves to Seal Off Town", The New York Times, 27 de abril de 1983.
- "Times Beach, Mo., Votes Itself Out of Existence", New York Times, 3 de abril de 1985.
- El comunicado de prensa del Departamento de Justicia de los Estados Unidos anunciado que la limpieza de Times Beach está completa.
- Resumen de una página de la Agencia de Protección Ambiental de EE.UU. sobre Times Beach
- El documento de la Lista Nacional de Prioridades de la EPA de EE.UU. con respecto al Sitio de Times Beach.
