Tratamiento (química)
En química, el tratamiento o work-up se refiere a la serie de manipulaciones necesarias para aislar y purificar el producto o productos de una reacción química.[1]
Normalmente, estas manipulaciones pueden incluir:
- apagar una reacción para desactivar cualquier reactivo que no haya reaccionado
- enfriar la mezcla de reacción o agregar un antidisolvente para inducir la precipitación y recolectar o eliminar los sólidos mediante filtración, decantación o centrifugación
- eliminación de disolventes por evaporación
- separar la mezcla de reacción en capas orgánica y acuosa mediante extracción líquido-líquido.
- purificación por cromatografía, destilación o recristalización
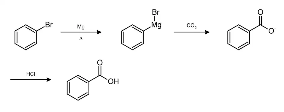
Por ejemplo, la reacción de Grignard entre el bromuro de fenilmagnesio y el dióxido de carbono en forma de hielo seco da la base conjugada de ácido benzoico. El producto deseado, ácido benzoico, se obtiene mediante el siguiente tratamiento:[2]
- La mezcla de reacción que contiene el reactivo de Grignard se deja calentar a temperatura ambiente en un baño de agua para permitir que se evapore el exceso de hielo seco.
- Cualquier reactivo de Grignard restante se apaga mediante la adición de agua.
- Se añade ácido clorhídrico diluido a la mezcla de reacción para protonar las sales de benzoato, así como para disolver las sales de magnesio. Se obtienen sólidos blancos de ácido benzoico impuro.
- El ácido benzoico se decanta para eliminar la solución acuosa de impurezas, se agrega más agua y la mezcla se lleva a ebullición con más agua agregada para dar una solución homogénea.
- La solución se deja enfriar lentamente a temperatura ambiente, luego en un baño de hielo para recristalizar el ácido benzoico.
- Los cristales de ácido benzoico recristalizados se recogen en un embudo Buchner y se dejan secar al aire para dar ácido benzoico puro.
Véase también
Referencias
- ↑ Stevenson, Angus; Lindberg, Christine A., eds. (2010). «Workup». New Oxford American Dictionary (3rd edición). Oxford University Press. ISBN 9780199891535.
- ↑ Donald L. Pavia (2004). Introduction to Organic Laboratory Techniques: A Small Scale Approach. Thomson Brooks/Cole. pp. 312-314. ISBN 0-534-40833-8.